ГОСТ 26570-95 КОРМА, КОМБИКОРМА, КОМБИКОРМОВОЕ СЫРЬЕ. МЕТОДЫ ОПРЕДЕЛЕНИЯ КАЛЬЦИЯ
Fodder, mixed fodder and mixed fodder raw materials. Methods for determination of calcium
Дата введения - 1 января 1997 г.
Взамен ГОСТ 26570-85
Настоящий стандарт распространяется на все виды растительных кормов, комбикормов и комбикормового сырья (за исключением кормовых фосфатов) и устанавливает комплексонометрический, пламенно-фотометрический, атомно-абсорбционный и титриметрический методы определения кальция.
1.1 Отбор проб - по ГОСТ 7631, ГОСТ 13496.0, ГОСТ 13586.3, ГОСТ 13979.0, ГОСТ 17681, ГОСТ 21769, ГОСТ 27262, ГОСТ 27668.
Сущность метода заключается в образовании в щелочной среде малодиссоциированного комплексного соединения кальция с динатриевой солью этилендиамин - N', N', N', N' - тетрауксусной кислоты (трилон Б) и определении эквивалентной точки при титровании с использованием металл-индикаторов. Минерализацию проб проводят способом мокрого или сухого озоления.
2.1 Определение кальция в пробах, подготовленных способом мокрого озоления
Метод не распространяется на отходы рыбного и мясного производства.
2.1.1 Аппаратура, реактивы и материалы
Измельчитель проб растений марки ИПР-2 или других аналогичных марок.
Сушилка кормов СК-1 или шкаф сушильный лабораторный с погрешностью поддержания температуры не более 5°С.
Мельница лабораторная марки МРП-2 или других аналогичных марок.
Сито с отверстиями диаметром 1 мм.
Ножницы.
Ступка фарфоровая с пестиком.
Весы лабораторные 2-го класса точности с наибольшим пределом взвешивания 200 г по ГОСТ 24104.
Весы лабораторные 3-го класса точности с наибольшим пределом взвешивания 500 г по ГОСТ 24104.
Нагревательное устройство для пробирок/ нагреватели для колб Кьельдаля, обеспечивающие нагрев 340 - 380°С.
Пробирки из термостойкого стекла или колбы Кьельдаля вместимостью 50 - 100 см3.
Колбы конические с широким горлом вместимостью 100 и 250 см3 по ГОСТ 25336.
Колбы мерные 1(2)-2-100(1000) по ГОСТ 1770.
Цилиндр мерный 1(2,3,4) - 2 - 100 по ГОСТ 1770.
Пипетки 1(2, 3)-1(2)-1(2, 5, 10) по ГОСТ 29228 и 5-2-1(2, 5, 10) по ГОСТ 29230.
Бюретки 1(2) - 1(2) - 5 по ГОСТ 29252 и 2-1,5 по ГОСТ 29253.
Воронки стеклянные диаметром 36 - 56 мм по ГОСТ 25336.
Стакан фарфоровый вместимостью 1000 см3 по ГОСТ 9147.
Пробки стеклянные или резиновые.
Кислота серная по ГОСТ 4204, х.ч., ч.д.а.
Селен.
Перекись водорода по ГОСТ 10929, х.ч., ч.д.а.
Хромоген черный.
Хром темно-синий кислотный.
Эриохром сине-черный P(R).
Трилон Б [Этилендиамин-N', N', N', N'-тетрауксусной кислоты динатриевая соль, 2-водная по ГОСТ 10652, х.ч., ч.д.а. или стандарт-титр трилона Б, раствор концентрации 0,01 моль/дм3 (0,02 н.)].
Калия гидроокись по ГОСТ 24363, х.ч., ч.д.а.
Аммоний хлористый по ГОСТ 3773, х.ч., ч,д.а.
Кальцеин (флуорексон).
Натрий лимонно-кислый трехзамещенный, 5,5-водный, по ГОСТ 22280, ч.д.а.
Гидроксиламин гидрохлорид по ГОСТ 5456, ч.д.а.
Триэтаноламин гидрохлорид.
Триэтаноламин.
Кальций углекислый по ГОСТ 4530, х.ч., ч.д.а.
Кальций хлористый по ГОСТ 4234, х.ч., ч.д.а.
Вода дистиллированная по ГОСТ 6709.
Соляная кислота по ГОСТ 3118, х.ч., ч.д.а., концентрированная и разбавленная дистиллированной водой в два раза (1+1).
Примечание - Допускается применение импортной лабораторной посуды по классу точности и реактивов по качеству не ниже отечественных.
2.1.2 Подготовка к испытанию
2.1.2.1 Подготовка проб.
Среднюю пробу сена, силоса, сенажа или зеленых кормов измельчают на отрезки длиной 1 - 3 см, корнеплоды и клубнеплоды разрезают на пластинки (ломтики) толщиной до 0,8 см. Методом квартования выделяют часть пробы, масса которой после высушивания должна быть не менее 100 г. Высушивание проб проводят при температуре 60 - 65°С до постоянной массы (воздушно-сухое состояние). Затем пробу размалывают на лабораторной мельнице и просеивают через сито. Остаток на сите измельчают ножницами или в ступке, добавляют к просеянной части и тщательно перемешивают.
Из средней пробы комбикормов или комбикормового сырья методом квартования выделяют около 100 г материала, размалывают без предварительного подсушивания и просеивают через сито. Остаток на сите измельчают и добавляют к пробе, затем перемешивают.
Подготовленные пробы хранят в стеклянной или пластмассовой банке в сухом месте. Пробы жидких кормов анализируют без предварительной подготовки.
2.1.2.2 Приготовление растворов и реактивов.
Проверка качества воды: к 100 см3 дистиллированной воды приливают 1 см3 аммиачного буферного раствора и 5 - 6 капель индикатора хромогена черного. Голубая с сиреневым оттенком окраска раствора указывает на чистоту воды.
Приготовление селенсодержащей серной кислоты
К 1000 см3 концентрированной серной кислоты добавляют 5 г селена и нагревают в колбе из термостойкого стекла до полного обесцвечивания раствора.
Приготовление индикаторов
1 г индикатора кальцеина (флуорексона) или эриохрома сине-черного, или хрома темно-синего кислотного смешивают со 100 г хлористого калия и растирают в ступке до однородного состояния. Хранят в сухом месте и в темной посуде с притертой пробкой.
Приготовление раствора триэтаноламина гидрохлорида с массовой долей 25%
22,3 см3 триэтаноламина гидрохлорида растворяют в небольшом объеме дистиллированной воды и доводят объем до 100 см3.
Раствор триэтаноламина готовят путем разбавления его дистиллированной водой в четыре раза (1+3).
Приготовление раствора углекислого кальция концентрации кальция 0,01 моль/дм3
1,001 г углекислого кальция, высушенного при температуре 105 - 110°С до постоянной массы, растворяют в 20 см3 разбавленной (1+1) соляной кислоты в мерной колбе вместимостью 1000 см3. Объем в колбе доводят до метки дистиллированной водой, тщательно перемешивают.
Приготовление раствора гидроокиси калия с массовой долей 20%
200 г гидроокиси калия растворяют в 800 см3 дистиллированной воды. Вначале растворение проводят небольшими порциями при перемешивании в 300 см3 дистиллированной воды в фарфоровом стакане. После растворения щелочи и остывания раствора приливают оставшееся количество воды, перемешивают. Работу проводят в вытяжном шкафу.
Приготовление буферного раствора
20 г хлористого аммония смешивают со 100 см3 25%-ного водного раствора аммиака, после чего объем раствора доводят дистиллированной водой до 1000 см3, перемешивают.
Приготовление раствора трилона Б концентрации 0,01 моль/дм3
Раствор трилона Б готовят из стандарт-титра путем разбавления полученного 0,1 н. раствора дистиллированной водой в пять раз (1+4).
При отсутствии стандарт-титра навеску массой 3,722 г растворяют в небольшом объеме дистиллированной воды в мерной колбе вместимостью 1000 см3 и доводят объем до метки дистиллированной водой. Если раствор мутный, его фильтруют. Раствор хранят в полиэтиленовых или стеклянных сосудах в темном месте в течение 6 мес.
Проверка молярной концентрации раствора трилона Б
К 5 см3 раствора углекислого кальция добавляют 50 см3 дистиллированной воды, 5 см3 раствора гидроокиси калия, около 30 мг (на кончике скальпеля) одного из индикаторов. После добавления каждого реагента раствор перемешивают. Титруют раствором трилона Б до изменения окраски по п. 2.1.3. Титрование проводят дважды. За результат испытания принимают среднее арифметическое Двух определений.
Концентрацию (С) трилона Б, моль/дм3, рассчитывают по формуле
,
где C1 - концентрация раствора углекислого кальция, моль/дм3;
V1 - объем раствора углекислого кальция, взятый для титрования, см3,
V - объем раствора трилона Б, израсходованный на титрование, см3.
2.1.3 Проведение испытания
В колбу или пробирку для сжигания отвешивают 0,2 - 0,3 г исследуемой пробы, добавляют 2 см3 перекиси водорода и через 1,5 - 2 мин 3 см3 селенсодержащей серной кислоты и слегка встряхивают. Затем колбы (пробирки) нагревают при температуре 340 - 380°С до полного обесцвечивания растворов. Если через 30 мин в колбах и через 1,5 ч в пробирках не происходит обесцвечивания растворов, их охлаждают до 60 - 80°С, добавляют 1 см3 перекиси водорода и снова озоляют в течение 30 мин. После обесцвечивания растворы охлаждают, количественно переносят в мерные колбы (или пробирки), доводят объем дистиллированной водой до метки 100 см3 и тщательно перемешивают.
Одновременно проводят контрольный опыт через все стадии анализа, кроме взятия навески анализируемого материала.
В коническую колбу вместимостью 250 см3 вносят в зависимости от содержания кальция от 5 до 50 см3 исследуемого раствора. Объем раствора доводят дистиллированной водой до 100 см3 (на колбах можно сделать метки и в дальнейшем доливать воду, не измеряя цилиндром). Затем в указанном порядке добавляют на кончике скальпеля (ножа) (около 30 мг) лимонно-кислый натрий, гидроксиламин и 10 см3 20%-ного раствора гидроокиси калия (рН исследуемого раствора должен быть не ниже 12,5 - 13,5), а также около 30 мг одного из индикаторов. После добавления каждого реагента раствор перемешивают. Титруют не позднее чем через 10 мин раствором трилона Б концентрации 0,01 моль/дм3 в присутствии "свидетеля" до перехода окраски от красно-розовой в голубую при использовании эриохрома сине-черного P(R), желто-зеленой в розовую при использовании кальцеина, фиолетовой в синюю при использовании хрома кислотного темно-синего.
В качестве "свидетеля" используют 100 см3 дистиллированной воды, в которую добавляют в тех же количествах вышеуказанные реактивы и несколько капель трилона Б.
Допускается замена сухих солей лимонно-кислого натрия и гидроксиламина гидрохлорида на триэтаноламин, который вносят в количестве 3 см3.
Параллельно проводят титрование контрольного опыта.
2.1.4 Обработка результатов
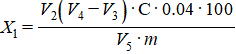
2.1.4.1 Массовую долю кальция в исследуемой пробе (X1) в процентах рассчитывают по формуле
,
где V2 - исходный объем исследуемого раствора, см3;
V3 - объем раствора трилона Б, израсходованный на титрование контрольного опыта, см3;
V4 - объем раствора трилона Б, израсходованный на титрование исследуемого раствора, см3;
С - концентрация раствора трилона Б;
0,040 - масса кальция, соответствующая 1 см3 раствора трилона Б с молярной концентрацией эквивалента 1 моль/дм3, г;
V5 - объем исследуемого раствора, взятый для титрования, см3;
m - масса навески, г;
100 - коэффициент пересчета в проценты.
Массовую долю кальция в сухом веществе (X2) в процентах рассчитывают по формуле
,
где X1 - массовая доля кальция в исследуемой пробе, %;
W - массовая доля воды в исследуемой пробе.
За окончательный результат испытания принимают среднее арифметическое двух параллельных определений.
Результаты рассчитывают до третьего десятичного знака и округляют до второго десятичного знака.
2.1.4.2 Допускаемые расхождения между результатами двух параллельных определений (dабс) и между двумя результатами, полученными в разных условиях (Dабс), при доверительной вероятности Р = 0,95 не должны превышать следующих значений:
dабс=0.03+0.044X̅;
;
где X̅ - среднее арифметическое результатов двух параллельных определений,%;
- среднее арифметическое результатов двух определений, выполненных в разных условиях,%.
Предельную погрешность результата анализа (Δ∑абс) при односторонней доверительной вероятности Р = 0,95 рассчитываемую по формуле
.
Предельная погрешность результата анализа используется при оценке качества кормов.
Допускается проведение анализа без параллельных определений при наличии в партии исследуемых проб стандартных образцов (СО). В этом случае (при обязательном проведении выборочного статистического контроля сходимости параллельных определений) за результат испытания принимают результат единичного определения, если разница между воспроизведенной и аттестованной в СО массовой долей кальция не превышает D̅, рассчитанного по формуле
D̅=0.042+0.098Xатт,
где D̅ - допускаемое отклонение среднего результата анализа от аттестованного значения компонента, %;
Xатт - аттестованное значение анализируемого компонента, взятое из свидетельства на СО.
2.2 Определение кальция в пробах, подготовленных способом сухого озоления
2.2.1 Аппаратура, реактивы и материалы
Для проведения испытания применяют аппаратуру, реактивы и материалы по п. 2.1.1 со следующим дополнением.
Перекись водорода по ГОСТ 10929, х.ч., ч.д.а. и разбавленная дистиллированной водой в десять раз (1+9).
Печь муфельная с регулируемым нагревом.
Тигли фарфоровые N 3 или N 4 по ГОСТ 9147.
Щипцы для тиглей муфельные.
Водяная баня.
Азотная кислота по ГОСТ 4461, х.ч., ч.д.а.
Соляная кислота по ГОСТ 3118, х.ч., ч.д.а., разбавленная дистиллированной водой в два раза (1 + 1).
2.2.2 Подготовка к испытанию
2.2.2.1 Подготовка проб - по п. 2.1.2.1.
2.2.2.2 Приготовление реактивов и растворов - по п. 2.1.2.2.
2.2.3 Проведение испытания
Навеску исследуемой пробы массой 0,5 - 2,0 г (в зависимости от ожидаемого содержания кальция), взвешенную с точностью до 0,001 г, помещают в предварительно прокаленный и охлажденный тигель. Тигли помещают в холодную муфельную печь и повышают температуру до 200 - 250°С. После прекращения выделения дыма температуру повышают до (525±25)°С и ведут прокаливание в течение 4 - 5 ч при указанной температуре. Равномерный серый цвет золы указывает на хорошее озоление. При наличии несгоревших частиц угля тигель с золой охлаждают на воздухе, прибавляют несколько капель дистиллированной воды и 1 - 2 см3 раствора перекиси водорода, разбавленной (1+9). Содержимое тигля выпаривают (в сушильном шкафу, на электроплитке или другим способом), тигель снова помещают в муфельную печь и прокаливают при температуре (525±25)°С в течение одного часа. Тигель охлаждают и золу смачивают несколькими каплями дистиллированной воды, добавляют 2 см3 раствора соляной кислоты, разбавленной (1+1), и 5 - 10 см3 дистиллированной воды, перемешивают стеклянной палочкой и переносят раствор через воронку в мерную колбу вместимостью 100 см3.
Для кормов с высоким содержанием золы добавляют 5 см3 раствора соляной кислоты и нагревают до кипения.
При анализе проб костной, мясокостной, рыбной муки золу смачивают несколькими каплями дистиллированной воды, приливают 1 см3 азотной кислоты и 5 см3 соляной кислоты и доводят до кипения на водяной бане.
Тигель и воронку тщательно обмывают дистиллированной водой и доводят раствор в колбе водой до метки, тщательно перемешивают, осадку дают отстояться. При анализе проб костной, мясокостной, рыбной муки, а также комбикормов с высоким содержанием кальция исходный раствор золы разбавляют дистиллированной водой в зависимости от ожидаемого содержания кальция в 5 - 10 раз.
Одновременно проводят контрольный опыт через все стадии анализа, кроме взятия навески анализируемого материала. В зависимости от предполагаемого содержания кальция от 5 до 20 см3 исходного раствора золы переносят пипеткой или шприцем-дозатором в широкогорлые колбы вместимостью 250 см3, доводят объем раствора дистиллированной водой до 100 см3 (на колбах можно сделать метки и в дальнейшем доливать воду, не измеряя цилиндром). Сюда же добавляют на кончике ножа (около 30 мг) лимонно-кислый натрий, гидроксиламин и 10 см3 20%-ного раствора гидроокиси калия, а также около 30 мг одного из индикаторов. После добавления каждого реагента раствор перемешивают. Титрование проводят раствором трилона Б концентрации 0,01 моль/дм3. В качестве "свидетеля" используют 100 см3 дистиллированной воды, в которую добавляют те же реактивы и несколько капель трилона Б.
Допускается замена сухих солей лимонно-кислого натрия, гидроксиламина на раствор триэтаноламина, который приливают в количестве 3 см3.
2.2.4 Обработка результатов
Обработку результатов, расчет сходимости, воспроизводимости и других точностных нормативов проводят по пп. 2.1.4.1, 2.1.4.2.
При вычислении массовой доли кальция учитывают разбавление раствора золы.
Сущность метода заключается в сравнении интенсивности излучения кальция в пламени газ - воздух при введении в него испытуемых растворов и растворов сравнения. Устранение влияния мешающих элементов при определении кальция в соляно-кислых растворах достигается добавлением в фотометрируемые растворы солей стронция при использовании воздушно-пропан-бутановой смеси газов или солей магния при использовании воздушно-ацетиленовой смеси газов.
3.1 Определение кальция в пробах, подготовленных способом сухого озоления
3.1.1 Аппаратура, реактивы и материалы
Весы лабораторные 2-го класса точности с наибольшим пределом взвешивания 200 г по ГОСТ 24104.
Весы лабораторные 3-го и 4-го классов точности с наибольшим пределом взвешивания 500 г по ГОСТ 24104.
Фотометр пламенный.
Колбы мерные 1(2)-2-50(100)1000 по ГОСТ 1770.
Пипетки - по 2.1.1.
Бюретки - по 2.1.1.
Печь муфельная с регулированием нагрева до 550°С.
Пропан-бутан (бытовой в баллоне или газ городской сети).
Ацетилен растворенный технический по ГОСТ 5457.
Соляная кислота по ГОСТ 3118, х.ч., ч.д.а., концентрированная и разбавленная дистиллированной водой в два раза (1+1) и в сто раз (1+99).
Стронций хлористый 6-водный по ГОСТ 4140, ч.д.а.
Магний хлористый 6-водный по ГОСТ 4209, х.ч., ч.д.а.
Кальций углекислый по ГОСТ 4530, х.ч., ч.д.а.
Вода дистиллированная по ГОСТ 6709.
3.1.2 Подготовка к испытанию
3.1.2.1 Подготовка проб по п. 2.1.2.1.
3.1.2.2 Приготовление растворов и реактивов.
Приготовление раствора хлористого стронция концентрации 20 мг/см3
60,86 г хлористого стронция растворяют в дистиллированной воде, переносят в мерную колбу вместимостью 1000 см3 и доводят до метки дистиллированной водой, перемешивают. Раствор используют при работе на воздушно-пропановой смеси газов.
Рабочие растворы хлористого стронция готовят следующим образом: для работы на приборах с дифракционной решеткой готовят раствор с концентрацией стронция 10 мг/см3 разбавлением исходного раствора дистиллированной водой (1+1). Для работы на приборах со светофильтрами готовят раствор с концентрацией стронция 2 мг/см3 разбавлением исходного раствора водой (1+9).
Приготовление раствора хлористого магния с концентрацией магния 22 мг/см3
184 г хлористого магния растворяют в дистиллированной воде, переносят в мерную колбу вместимостью 1000 см3 и доводят водой до метки, тщательно перемешивают. Раствор используют при работе на воздушно-ацетиленовой смеси газов. Рабочие растворы с концентрацией 2,2 мг/см3 магния готовят разбавлением исходного раствора водой (1+9).
Приготовление основного раствора углекислого кальция с концентрацией кальция 1 мг/см3
2,497 г углекислого кальция (реактив предварительно высушивают при температуре 105 - 110°С до постоянной массы) переносят в мерную колбу вместимостью 1000 см3, приливают 20 см3 разбавленного (1+1) раствора соляной кислоты и перемешивают до полного растворения соли. Затем доливают дистиллированной водой до метки и тщательно перемешивают.
Приготовление растворов сравнения
В мерные колбы вместимостью 100 см3 отбирают пипеткой или бюреткой объем основного раствора, указанный в табл.1, доводят до метки дистиллированной водой и тщательно перемешивают. Растворы сравнения хранят в течение 1 мес.
Таблица 1
|
Номер раствора сравнения |
1 |
2 |
3 |
4 |
5 |
6 |
7 |
|
Объем основного раствора, см3 |
0 |
2 |
5 |
10 |
20 |
30 |
50 |
|
Масса кальция в 100 см3 раствора сравнения, мг |
0 |
2 |
5 |
10 |
20 |
30 |
50 |
3.1.3 Проведение испытания
Сухое озоление и приготовление исследуемых растворов проводят по п. 2.2.3.
При фотометрировании в пламени пропан-бутан-воздух пипеткой или дозатором отбирают по 10 см3 испытуемых растворов золы и растворов сравнения в химические стаканы вместимостью 50 см3, приливают дозатором 10 см3 рабочего раствора хлористого стронция и хорошо перемешивают стеклянной палочкой. Фотометрирование проводят на аналитической линии 554 нм при использовании монохроматора или на аналитической линии 623,7 нм при использовании интерференционного светофильтра.
При фотометрировании в пламени ацетилен - воздух шприцем-дозатором или пипеткой отбирают по 5 см3 испытуемых растворов золы и растворов сравнения в химические стаканы вместимостью 100 см3, приливают дозатором 45 см3 рабочего раствора хлористого магния, хорошо перемешивают стеклянной палочкой и проводят фотометрирование аналогично вышеуказанному на тех же аналитических линиях.
Фотометрирование растворов сравнения проводят дважды в порядке возрастания концентрации кальция до и после фотометрирования испытуемых растворов. Проверку нулевого отсчета шкалы прибора проводят по нулевому раствору сравнения.
По окончании фотометрирования строят градуировочный график, откладывая на оси абсцисс значения массы кальция в 100 см3 в миллиграммах, по оси ординат - показания шкалы прибора.
Для построения каждой точки градуировочного графика вычисляют среднее арифметическое значение оптической плотности из двух отсчетов по шкале прибора.
Если концентрация кальция в анализируемом растворе выходит за пределы градуировочного графика, определение повторяют, разбавив предварительно исходный раствор золы раствором соляной кислоты (1+99). Затем при фотометрировании в пламени ацетилен - воздух к 5 см3 разбавленного раствора приливают 45 см3 раствора хлористого магния, а при фотометрировании в пламени пропан - бутан - воздух к 10 см3 разбавленного раствора приливают 10 см3 раствора хлористого стронция и повторяют измерение. При таком же разбавлении проводят и контрольный опыт.
3.1.4 Обработка результатов
Массовую долю кальция в исследуемой пробе (X3) в процентах рассчитывают по формуле
,
где C1 - масса кальция, найденная по градуировочному графику, мг в 100 см3;
К - коэффициент разбавления исследуемого раствора золы;
m - масса навески, мг;
100 - коэффициент пересчета в проценты.
Массовую долю кальция в сухом веществе (X4) в процентах рассчитывают по формуле
,
где X3 - массовая доля кальция в исследуемой пробе, %;
W - массовая доля воды в исследуемой пробе, %.
Нормативы точности находят по п. 2.1.4.2.
3.2 Определение кальция в пробах, подготовленных способом мокрого озоления
3.2.1 Аппаратура, реактивы и материалы
Для проведения испытания применяют аппаратуру, реактивы и материалы по п. 2.1.1.
3.2.2 Подготовка к испытанию
3.2.2.2 Подготовка проб - по, п. 2.1.2.1.
Приготовление растворов и реактивов.
Основной раствор углекислого кальция с концентрацией кальция 1 мг/см3 готовят по п. 3.1.2.2. Из основного раствора готовят рабочий раствор с концентрацией кальция 0,1 мг/см3 путем разбавления основного раствора в 10 раз дистиллированной водой (1+9). В мерные колбы вместимостью 100 см3 отбирают объемы рабочего раствора, указанные в табл. 2, доливают до половины объема водой, добавляют 3 см3 селенсодержащей серной кислоты, перемешивают, охлаждают, доводят объем раствора дистиллированной водой до метки и снова перемешивают.
Если концентрация кальция в анализируемом растворе выходит за пределы градуировочного графика, определение повторяют, разбавив предварительно исходный раствор золы раствором соляной кислоты (1+99).
Таблица 2
|
Номера растворов сравнения |
1 |
2 |
3 |
4 |
5 |
6 |
7 |
8 |
|
Объем рабочего раствора, см3 |
0 |
0,5 |
1 |
2 |
5 |
10 |
20 |
30 |
|
Масса кальция в 100 см3 раствора сравнения, мг |
0 |
0,05 |
0,1 |
0,2 |
0,5 |
1,0 |
2,0 |
3,0 |
Мокрое озоление и приготовление зольных растворов проводят по п. 2.1.3.
3.2.3 Проведение испытания
Зольные растворы и растворы сравнения вводят в пламя ацетилен - воздух и проводят фотометрирование.
Фотометрирование растворов сравнения проводят дважды в порядке возрастания концентрации кальция. После каждого измерения проводят промывку системы подачи растворов водой. По результатам фотометрирования строят фадуировочный график, как указано в п. 3.1.3.
3.2.4 Обработка результатов
Массовую долю кальция в воздушно-сухой пробе и сухом веществе находят по формулам, указанным в п. 3.1.4.
Точностные нормативы рассчитывают по п. 2.1.4.2.
Метод основан на сравнении поглощения резонансного излучения свободными атомами кальция, образующимися в пламени при введении в него анализируемых растворов золы (минерализата) и растворов сравнения с известной концентрацией данного элемента.
4.1 Определение кальция в пробах, подготовленных способом сухого озоления
4.1.1 Аппаратура, реактивы и материалы
Для проведения испытания применяют аппаратуру, реактивы и материалы по п. 2.1.1 со следующим дополнением.
Печь муфельная, обеспечивающая поддержание температуры (550±25)"С.
Плитка электрическая.
Щипцы муфельные.
Атомно-абсорбционный спектрофотометр марки С-115 или аналогичных марок.
Лампы с полым катодом ЛСП-1.
Компрессор воздушный мембранный типа СО-45.
Тигли фарфоровые N 3 - 4 по ГОСТ 9147.
Пробирки вместимостью 20 - 25 см3 по ГОСТ 25336.
Штатив для пробирок.
Шприц-дозатор для дозирования растворов в объемах 1 см3, 5 см3 или 10 см3 с погрешностью не более 1%.
Бюретки - по п. 2.1.1.
Ацетилен растворенный технический по ГОСТ 5457 или пропан-бутан бытовой в баллоне.
Кислота соляная по ГОСТ 3118, х.ч., ч.д.а., концентрированная и разбавленная дистиллированной водой в два раза (1 + 1) и в сто раз (1+99).
Стронций хлористый 6-водный по ГОСТ 4140, ч.д.а.
Перекись водорода 30%-ный водный раствор по ГОСТ 10929, х.ч., ч.д.а. и разбавленный дистиллированной водой в десять раз (1+9).
Допускается применение импортной лабораторной посуды по классу точности и реактивов по качеству не ниже отечественных.
4.1.2 Подготовка к испытанию
4.1.2.1 Подготовка проб - по п. 2.1.2.1.
4.1.2.2 Приготовление растворов и реактивов.
Приготовление раствора хлористого стронция с концентрацией стронция 10 мг/см3
30,43 г 6-водного хлористого стронция растворяют примерно в 600 см3 дистиллированной воды, приливают 82 см3 концентрированной соляной кислоты, доводят до метки дистиллированной водой в мерной колбе вместимостью 1000 см3 и тщательно перемешивают.
Приготовление раствора хлористого стронция с концентрацией стронция 5,5 мг/см3
16,73 г 6-водного хлористого стронция растворяют примерно в 300 см3 дистиллированной воды, приливают 45 см3 концентрированной соляной кислоты, доводят до метки дистиллированной водой в мерной колбе вместимостью 1000 см3 и тщательно перемешивают.
Приготовление основного раствора углекислого кальция с концентрацией кальция 0,2 мг/см3
0,499 г углекислого кальция (реактив предварительно высушивают при температуре 105 - 110°С до постоянной массы) растворяют в 12,5 см3 разбавленной соляной кислоты (1+1), переносят в мерную колбу вместимостью 1000 см3, доливают до метки дистиллированной водой и перемешивают. Раствор хранят не более 3 мес.
Приготовление растворов сравнения
В мерные колбы вместимостью 100 см3 из бюреток приливают указанные в табл. 3 объемы основного раствора углекислого кальция, приготовленного по п. 4.1.2.2, доливают до метки соляной кислотой (1+99) и перемешивают. Растворы готовят вдень проведения анализов и используют для градуирования атомно-абсорбционного спектрофотометра.
Таблица 3
|
Номера колб |
1 |
2 |
3 |
4 |
5 |
6 |
7 |
|
Объем основного раствора, см3 |
0 |
5 |
10 |
20 |
30 |
40 |
50 |
|
Масса кальция в 100 см3 раствора сравнения, мг |
0 |
1,0 |
2,0 |
4,0 |
6,0 |
8,0 |
10,0 |
4.1.3 Проведение испытания
Озоление проб проводят по п. 2.2.3.
4.1.3.1 Определение кальция с использованием воздушно-ацетиленового пламени.
Пипеткой или шприцем-дозатором отбирают в пробирки по 1 см3 растворов сравнения и раствора золы (минерализата), затем из бюретки или дозатором приливают по 10 см3 раствора хлористого стронция с концентрацией стронция 5,5 мг/см3 и перемешивают. Определение кальция проводят по аналитической линии 422,7 нм. Ширину щели монохроматора, расход газов, ток, питающий лампу с полым катодом, устанавливают в соответствии с инструкцией, прилагаемой к прибору и лампе.
При использовании пламени ацетилен - воздух в него вводят вначале нулевой раствор сравнения, не содержащий кальция, и устанавливают начало отсчета. Затем вводят в пламя остальные растворы сравнения в порядке возрастания концентрации кальция и регистрируют соответствующие им показания измерительного прибора. Отградуировав прибор по растворам сравнения, в пламя вводят растворы минерализата и регистрируют соответствующие им показания прибора. Одновременно проводят контрольный опыт. Через каждые десять измерений в пламя вводят нулевой и четвертый растворы сравнения для проверки градуировочной характеристики прибора. Если обнаружится отклонение показаний прибора, корректируют его градуировку.
Если показание прибора для раствора минерализата превышает показание седьмого раствора сравнения, определение повторяют, разбавив предварительно данный раствор минерализата соляной кислотой (1+99), при этом полученный результат увеличивают во столько раз, во сколько раз был разбавлен раствор минерализата. При таком же разбавлении проводят и контрольный опыт.
4.1.3.2 Определение кальция с использованием воздушно-пропан-бутанового пламени.
При использовании пламени пропан-бутан-воздух бюреткой или дозатором приливают в пробирки по 5 см3 растворов сравнения и растворов минерализата, затем туда же приливают по 5 см3 раствора хлористого стронция с концентрацией стронция 10 мг/см3 и перемешивают. Анализируемые растворы вводят в окислительное воздушно-пропан-бутановое пламя и измеряют поглощение света по аналитической линии 422 нм.
Градуировку прибора по растворам сравнения, а также разбавление растворов минерализата проводят по п. 4.1.3.1.
4.1.3.3 Обработка результатов
Содержание кальция в исследуемой пробе (X5) в процентах рассчитывают по формуле
,
где M1 - масса кальция в 100 см3 раствора минерализата (золы), мг;
M2 - среднее арифметическое значение массы кальция в 100 см3 раствора контрольного опыта, мг;
К - коэффициент разбавления анализируемых растворов минерализата;
100 - коэффициент пересчета в проценты;
m - масса навески, мг.
Массовую долю кальция в сухом веществе в процентах находят по п. 2.1.4.1.
Результаты рассчитывают до третьего десятичного знака и округляют до второго десятичного знака.
Точностные нормативы находят по п. 2.1.4.2.
Сущность метода заключается в образовании в щелочной среде малодиссоциированного комплексного соединения кальция с динатриевой солью этилендиамин-N', N', N', N'-тетрауксусной кислоты (трилон Б) и определении эквивалентной точки при титровании с использованием растворов арсеназо и 8-оксихинолина.
Метод распространяется на комбикорма.
5.1 Аппаратура, реактивы и материалы
Весы лабораторные 2-го класса точности с наибольшим пределом взвешивания 200 г по ГОСТ 24104.
Печь муфельная с регулируемым нагревом.
Тигли фарфоровые N 3 или N 4 по ГОСТ 9147.
Колбы мерные исполнений 1, 2, вместимостью 100 и 1000 см3 по ГОСТ 1770.
Воронки стеклянные диаметром 6 - 7 см по ГОСТ 25336.
Стаканы или колбы вместимостью 50 см3 по ГОСТ 25336.
Фильтры обеззоленные по ГОСТ 12026.
Пипетки - по п. 2.1.1.
Бюретки - по п. 2.1.1.
Ступка фарфоровая.
Эксикатор по ГОСТ 25336.
Соляная кислота по ГОСТ 3118, х.ч., ч.д.а., концентрированная и разбавленная дистиллированной водой в два раза (1+1).
Аммиак водный по ГОСТ 3760, ч.д.а. (раствор массовой концентрации 250 г/дм3).
Аммоний хлористый по ГОСТ 3773, ч.д.а.
Арсеназо (уранон)-2-(арсенофенилазо)-1,8-диоксинафталин-3,6-дисульфокислота.
Трилон Б по ГОСТ 10652, х.ч., ч.д.а., раствор концентрации 0,01 моль/дм3.
Калий хлористый по ГОСТ 4234, х.ч., ч.д.а.
8-оксихинолин.
Вода дистиллированная по ГОСТ 6709.
5.2 Подготовка к испытанию
5.2.1 Подготовка проб - по п. 2.1.2.1.
5.2.2 Приготовление растворов и реактивов
5.2.2.1 Приготовление индикатора арсеназо.
1 г арсеназо тщательно растирают в ступке с 100 г хлористого калия до однородного состояния. Сухую смесь хранят в темной посуде с притертой пробкой. 10 г смеси растворяют в 1 дм3 дистиллированной воды. Раствор хранят в темной склянке.
5.2.2.2 Приготовление раствора 8-оксихинолина.
2,5 г 8-оксихинолина помещают в мерную колбу вместимостью 1 дм2, добавляют около 200 см3 дистиллированной воды, 10 см3 концентрированной соляной кислоты, доводят водой до метки и перемешивают. Раствор хранят в темной склянке.
5.2.2.3 Приготовление индикаторной смеси
Смешивают растворы арсеназо и 8-оксихинолина в соотношении 3:1. Смесь должна отстояться 15 дней. Хранят в темной посуде. Срок хранения неограничен.
5.2.2.4 Приготовление раствора хлористого аммония концентрации с (NH4Cl) = 1 моль/дм3.
53,5 г хлористого аммония растворяют в дистиллированной воде и объем раствора доводят до 1 дм3 дистиллированной водой.
5.2.2.5 Приготовление аммиака концентрации с (NH4OH) = 3,84 моль/дм3.
75,1 см3 аммиака растворяют в дистиллированной воде и объем раствора доводят до 1 дм3 дистиллированной водой.
5.2.2.6 Приготовление аммиачно-хлоридного буферного раствора с рН = 12.
Растворы, приготовленные по пп.5.2.2.4, 5.2.2.5, смешивают в соотношении 1:1.
5.3 Проведение испытания
В предварительно прокаленный и взвешенный тигель отвешивают навеску исследуемой пробы массой 1 г. Тигли с пробой прокаливают в муфельной печи при температуре (525±25)°С в течение 4 - 5 ч. Затем тигли охлаждают, золу смачивают 1,5 см3 раствора соляной кислоты, разбавленной (1+1), перемешивают и переносят раствор на фильтр через воронку в мерную колбу вместимостью 100 см. Тигель и фильтр многократно обмывают водой, доводят раствор до метки и перемешивают.
В стаканы или колбы отбирают из бюретки последовательно до 5 см3 аммиачно-хлоридного буфера и индикаторной смеси, пипеткой вносят 1 - 2 см3 зольного раствора пробы и титруют раствором трилона Б концентрации 0,01 моль/дм3 до перехода окраски из красно-синей в красно-оранжевую.
5.4 Обработка результатов
5.4 1 Массовую долю кальция (X6) в процентах в испытуемой пробе рассчитывают по формуле
,
где V1 - объем зольного раствора пробы, см3;
V2 - объем раствора трилона Б, пошедший на титрование, см3,
0,04 - масса кальция, соответствующая 1 см3 раствора трилона Б с молярной концентрацией эквивалента 1 моль/дм3, г;
V3 - объем пробы, взятый для титрования, см3;
100 - коэффициент пересчета в проценты;
С - концентрация раствора трилона Б, моль/дм3;
m - масса пробы, г.
5.4.2 За окончательный результат испытания принимают среднее арифметическое результатов двух определений.
Результаты рассчитывают с точностью до третьего десятичного знака и округляют до второго десятичного знака.
Допускаемые расхождения между результатами двух параллельных определений (d) и между двумя результатами, полученными в разных условиях (D), при доверительной вероятности Р = 0,95 не должны превышать следующих значений:
d=0.05+0.025X̅,
,
где X̅ - среднее арифметическое результатов двух параллельных определений, %;
- среднее арифметическое результатов двух определений, выполненных в разных условиях, %.
6.1 Назначение и область применения
Метод применим для всех кормов, в которых содержание кальция превышает 1 г/кг.
6.2 Ссылки
ГОСТ 13496.0 "Комбикорма, сырье. Методы отбора проб".
6.3 Сущность метода заключается в сжигании образца, обработке золы соляной кислотой и осаждении кальция в виде оксалата кальция, растворении осадка в серной кислоте и титровании стандартным титрованным раствором перманганата калия образующейся щавелевой кислоты.
6.4 Реактивы
Все реактивы должны быть аналитического качества, а применяемая вода должна быть дистиллированной.
6.4.1 Соляная кислота, приблизительно 30% (по массе) (d20 = 1,05 г/см3).
6.4.2 Азотная кислота концентрированная (d20= 1,40 г/см3).
6.4.3 Серная кислота, приблизительно 20% (по массе) (d20 = 1,13 г/см3).
6.4.4 Раствор аммиака, приблизительно 33% (по массе) (d20 = 0,89 г/см3).
6.4.5 Оксалат аммония, холодный и насыщенный раствор.
6.4.6 Лимонная кислота, моногидрат, раствор концентрации 300 г/см3.
6.4.7 Хлористый аммоний, раствор концентрации 50 г/дм3.
6.4.8 Бромкрезоловый зеленый, раствор концентрации 0,4 г/дм3.
6.4.9 Перманганат калия, стандартный раствор, концентрации с (1/5KMnO4) = 0,1 моль/дм3.
6.5 Аппаратура
6.5.1 Электрическая муфельная печь с температурой нагрева (550±20)°С.
6.5.2 Тигель для прокаливания из платины, кварца или фарфора.
6.5.3 Стеклянный фильтр, степень пористости Р 16 (размер пор от 10 до 16 мкм).
6.5.4 Кипящая водяная баня.
6.5.5 Химический стакан вместимостью 250 см3.
6.5.6 Мерная колба вместимостью 250 см3
6.5.7 Аналитические весы.
6.6 Отбор образцов
Отбор образцов - по ГОСТ 13496.0.
6.7 Методика определения
6.7.1 Подготовка проб - по ГОСТ 13496.0.
6.7.2 Навеска пробы
Взвешивают около 5 г образца с точностью до 1 мг и помещают в тигель для прокаливания (п. 6.5.2).
6.7.3 Проведение испытания
6.7.3.1 Навеску сжигают в электрической муфельной печи (п. 6.5.1) при температуре (550±20)°С до полного разрушения всего органического вещества (обычно для этого достаточно 4 ч). Если осталось немного органического вещества (черные частицы), то добавляют несколько капель азотной кислоты (п. 6.4.2), выпаривают на горячей плитке и снова сжигают в муфельной печи при температуре (550±20)°С в течение 30 мин. Повторяют сжигание до тех пор, пока не будет разрушено все органическое вещество. Золу переносят в химический стакан вместимостью 250 см3 (п. 6.5.5).
6.7.3.2 Добавляют 40 см3 соляной кислоты (п. 6.4.1), 60 см3 дистиллированной воды и несколько капель азотной кислоты (п. 6.4.2). Доводят до кипения и кипятят в течение 30 мин. Охлаждают и переносят раствор в мерную колбу вместимостью 250 см3 (п. 6.5.6). Доведя водой до метки, перемешивают и фильтруют. При этом получают исследуемый раствор.
6.7.3.3 С помощью пипетки переносят аликвоту исследуемого раствора (п. 6.7.3.2), содержащую от 10 до 40 мг кальция (в соответствии с ожидаемым содержанием), в химический стакан вместимостью 250 см3 (п. 6.5.5). Добавляют 1 см3 раствора лимонной кислоты (п. 6.4.6) и 5 см3 раствора хлористого аммония (п. 6.4.7). Доводят объем водой примерно до 100 см3. Доводят до кипения, добавляют 10 капель бромкрезолового зеленого (п. 6.4.8) и 30 см3 теплого раствора оксалата аммония (п. 6.4.5). Если образуется осадок, его растворяют, добавив несколько капель соляной кислоты (п. 6.4.1).
Нейтрализуют очень медленно раствором аммония (п. 6.4.4) при постоянном перемешивании до достижения рН 4,4 - 4,6 (то есть до изменения цвета индикатора). Помещают стакан на кипящую водяную баню (п. 6.5.4) и оставляют на 30 мин, чтобы осел образовавшийся осадок. Снимают стакан с водяной бани, дают раствору постоять 1 ч и фильтруют через стеклянный фильтр (п. 6.5.3).
Затем промывают стеклянный фильтр и стакан водой до полного удаления избытка оксалата аммония, о чем свидетельствует отсутствие хлора в промывной воде.
Помещают стеклянный фильтр в стакан вместимостью 250 см3. Добавляют 80 см3 серной кислоты (п. 6.4.3) и нагревают до 70 - 80°С для растворения осадка.
6.7.3.4 Титруют горячий раствор стандартным раствором перманганата калия (п. 6.4.9) до появления розового окрашивания, не исчезающего в течение 1 мин.
6.7.4 Число определений
Анализы проводят в двух параллельных определениях.
6.8 Обработка результатов
6.8.1 Формула для расчета
Массовую долю кальция (X7) в граммах на килограмм исследуемого продукта рассчитывают по формуле
,
где V - объем стандартного раствора перманганата калия, использованный на титрование, см3;
С - точная концентрация стандартного титрованного раствора перманганата калия, моль/дм3;
m - масса навески, г;
V1 - объем аликвоты исследуемого раствора, отобранный в соответствии с п. 6.7.3.3.
За результат анализа принимают среднее арифметическое значение двух определений (п. 6.7.4) при достаточной сходимости.
6.8.2 Сходимость
Расхождения между двумя параллельными определениями не должны превышать:
1 г/кг (в абсолютных единицах) - при содержании кальция менее 50 г/кг;
2 % (относительная величина) - при среднем содержании кальция 50 г/кг и более.
6.9 Замечания по проведению испытания
6.9.1 Для определения очень низкого содержания кальция применяют метод по ГОСТ 28901.
6.9.2 Если образец состоит исключительно из минеральных веществ, его растворяют в соляной кислоте без сжигания.
В случае таких продуктов, как алюмокалиевые фосфаты, которые с трудом растворяются в кислотах, смешивают навеску в платиновой чашке с пятикратной массой смеси, содержащей равные части карбоната натрия и карбоната калия. Осторожно нагревают до полного плавления смеси. После охлаждения растворяют в соляной кислоте.
6.9.3 Если содержание магния в образце превышает ожидаемое содержание кальция, проводят повторное осаждение оксалатом кальция.


