ГОСТ 2642.12-2018 ОГНЕУПОРЫ И ОГНЕУПОРНОЕ СЫРЬЕ. МЕТОДЫ ОПРЕДЕЛЕНИЯ ОКСИДА МАРГАНЦА (II)
Refractories and refractory raw materials. Methods for determination of manganese (II) oxide
МКС 81.080
Предисловие
Цели, основные принципы и основной порядок проведения работ по межгосударственной стандартизации установлены в ГОСТ 1.0-2015 "Межгосударственная система стандартизации. Основные положения" и ГОСТ 1.2-2015 "Межгосударственная система стандартизации. Стандарты межгосударственные, правила и рекомендации по межгосударственной стандартизации. Правила разработки, принятия, обновления и отмены"
Сведения о стандарте
1 Разработан Обществом с ограниченной ответственностью "Научно-технический центр "Огнеупоры" (ООО "НТЦ "Огнеупоры")
2 Внесен Федеральным агентством по техническому регулированию и метрологии
3 Принят Межгосударственным советом по стандартизации, метрологии и сертификации (протокол от 28 сентября 2018 г. N 112-П)
За принятие проголосовали
|
Краткое наименование страны по МК (ИСО 3166) 004-97 |
Код страны по МК (ИСО 3166) 004-97 |
Сокращенное наименование национального органа по стандартизации |
|
Армения |
AM |
Минэкономики Республики Армения |
|
Беларусь |
BY |
Госстандарт Республики Беларусь |
|
Киргизия |
KG |
Кыргызстандарт |
|
Россия |
RU |
Росстандарт |
|
Узбекистан |
UZ |
Узстандарт |
4 Приказом Федерального агентства по техническому регулированию и метрологии от 9 ноября 2018 г. N 976-ст межгосударственный стандарт ГОСТ 2642.12-2018 введен в действие в качестве национального стандарта Российской Федерации с 1 апреля 2019 г.
5 Взамен ГОСТ 2642.12-97
Настоящий стандарт распространяется на огнеупоры и огнеупорное сырье и устанавливает методы количественного определения оксида марганца (II):
- фотометрические:
при массовой доле от 0, 05 % до 1, 0 % для высокомагнезиальных и магнезиально-известковых огнеупоров;
при массовой доле от 0, 03 % до 1, 0 % для алюмосиликатных и высокомагнезиальных огнеупоров;
- атомно-абсорбционный - при массовой доле от 0, 1 % до 10 %.
В настоящем стандарте использованы нормативные ссылки на следующие межгосударственные стандарты:
ГОСТ 12.4.253-2013 (EN 166:2002) Система стандартов безопасности труда. Средства индивидуальной защиты глаз. Общие технические требования
ГОСТ OIML R 76-1-2011 Государственная система обеспечения единства измерений. Весы неавтоматического действия. Часть 1. Метрологические и технические требования. Испытания
ГОСТ 83-79 Реактивы. Натрий углекислый. Технические условия
ГОСТ 1277-75 Реактивы. Серебро азотнокислое. Технические условия
ГОСТ 1770-74 (ИСО 1042-83, ИСО 4788-80) Посуда мерная лабораторная стеклянная. Цилиндры, мензурки, колбы, пробирки. Общие технические условия
ГОСТ 2642.0-2014 Огнеупоры и огнеупорное сырье. Общие требования к методам анализа
ГОСТ 2642.3-2014 Огнеупоры и огнеупорное сырье. Методы определения оксида кремния (IV)
ГОСТ 3118-77 Реактивы. Кислота соляная. Технические условия
ГОСТ 4197-74 Реактивы. Натрий азотисто-кислый. Технические условия
ГОСТ 4199-76 Реактивы. Натрий тетраборнокислый 10-водный. Технические условия
ГОСТ 4204-77 Реактивы. Кислота серная. Технические условия
ГОСТ 4461-77 Реактивы. Кислота азотная. Технические условия
ГОСТ 4521-78 Реактивы. Ртуть (I) азотнокислая 2-водная. Технические условия
ГОСТ 6008-90 Марганец металлический и марганец азотированный. Технические условия
ГОСТ 6552-80 Реактивы. Кислота ортофосфорная. Технические условия
ГОСТ 6563-2016 Изделия технические из благородных металлов и сплавов. Технические условия
ГОСТ 6709-72 Вода дистиллированная. Технические условия
ГОСТ 10484-78 Реактивы. Кислота фтористоводородная. Технические условия
ГОСТ 14183-78 Стекло органическое часовое. Технические условия
ГОСТ ИСО/МЭК 17025-2009 Общие требования к компетентности испытательных и калибровочных лабораторий
ГОСТ 20478-75 Реактивы. Аммоний надсернокислый. Технические условия
ГОСТ 20490-75 Реактивы. Калий марганцовокислый. Технические условия
ГОСТ 24104-2001* Весы лабораторные. Общие технические требования
──────────────────────────────
* В Российской Федерации действует ГОСТ Р 53228-2008 "Весы неавтоматического действия. Часть 1. Метрологические и технические требования. Испытания".
ГОСТ 25336-82 Посуда и оборудование лабораторные стеклянные. Типы, основные параметры и размеры
Примечание - При пользовании настоящим стандартом целесообразно проверить действие ссылочных стандартов в информационной системе общего пользования - на официальном сайте Федерального агентства по техническому регулированию и метрологии в сети Интернет или по ежегодному информационному указателю "Национальные стандарты", который опубликован по состоянию на 1 января текущего года, и по выпускам ежемесячного информационного указателя "Национальные стандарты" за текущий год. Если ссылочный стандарт заменен (изменен), то при пользовании настоящим стандартом следует руководствоваться заменяющим (измененным) стандартом. Если ссылочный стандарт отменен без замены, то положение, в котором дана ссылка на него, применяется в части, не затрагивающей эту ссылку.
3.1 Общие требования к методам анализа - по ГОСТ 2642.0 с дополнением по 3.1.1, 3.1.2.
3.1.1 Массовое соотношение компонентов в смесях для сплавления указано в порядке их перечисления.
3.1.2 Параллельно с аналитической пробой через все стадии анализа проводится контрольный опыт на загрязнение реактивов.
4.1 Требования безопасности - по ГОСТ 2642.0 с дополнением по 4.1.1.
4.1.1 При проведении испытания следует применять индивидуальные средства защиты глаз по ГОСТ 12.4.253.
5.1 Сущность метода
Метод основан на измерении оптической плотности окраски перманганат-ионов при длине волны 530 нм или с помощью желто-зеленого светофильтра.
Марганец окисляется в перманганат-ион в азотнокислом или сернокислом растворе периодатом калия в присутствии фосфорной кислоты.
Метод применяют для высокомагнезиальных и магнезиально-известковых огнеупоров.
5.2 Аппаратура, реактивы, растворы и вспомогательные устройства
Спектрофотометр или колориметр фотоэлектрический лабораторный по технической документации.
Электроплитка по технической документации.
Весы по ГОСТ 24104 или ГОСТ OIML R 76-1, класс точности II.
Чашка платиновая N 118-3 по ГОСТ 6563.
Посуда мерная лабораторная стеклянная по ГОСТ 1770.
Посуда лабораторная стеклянная по ГОСТ 25336.
Стекло органическое часовое по ГОСТ 14183.
Вода дистиллированная по ГОСТ 6709.
Кислота азотная по ГОСТ 4461 и разбавленная 1:1.
Кислота серная по ГОСТ 4204.
Кислота фтористоводородная по ГОСТ 10484.
Кислота ортофосфорная по ГОСТ 6552.
Калий йоднокислый (периодат калия) по технической документации.
Марганец металлический по ГОСТ 6008, массовая доля марганца не менее 99, 95 %,
Калий марганцовокислый по ГОСТ 20490.
Стандартный раствор оксида марганца (II) с массовой концентрацией 0, 001 г/см3 (раствор А): 0, 7752 г металлического марганца помещают в стакан вместимостью 250 см3, приливают 30 см3 раствора азотной кислоты 1:1, накрывают часовым стеклом и нагревают до растворения. Раствор охлаждают, переносят в мерную колбу вместимостью 1000 см3, доводят объем раствора до метки дистиллированной водой и перемешивают. Допускается для приготовления стандартного раствора оксида марганца (II) использовать марганцовокислый калий по ГОСТ 20490.
Градуировочный раствор оксида марганца (II) с массовой концентрацией 0, 0001 г/см3 (раствор Б): 50 см3 стандартного раствора оксида марганца (II) (раствор А) помещают в мерную колбу вместимостью 500 см3, доводят объем раствора до метки дистиллированной водой и перемешивают.
5.2.1 Построение градуировочного графика
Для построения градуировочного графика в мерные колбы вместимостью 100 см3 каждая отмеряют аликвотные части градуировочного раствора: 0; 1, 0; 2, 0; 3, 0; 4, 0; 6, 0; 8, 0; 10, 0 см3, что соответствует 0; 0, 0001; 0, 0002; 0, 0003; 0, 0004; 0, 0006; 0, 0008; 0, 001 г оксида марганца (II). Приливают в каждую колбу 10 см3 азотной кислоты и 10 см3 ортофосфорной кислоты. Раствор нагревают до кипения на водяной бане на электроплитке с регулируемым нагревом, добавляют 0, 3-0, 4 г периодата калия, выдерживают 5-10 мин при температуре 90 °С до возникновения устойчивой окраски. Полученный раствор охлаждают, доводят объем раствора до метки дистиллированной водой и перемешивают.
Измеряют оптическую плотность раствора при длине волны 530 нм или при применении желто-зеленого светофильтра.
По измеренным величинам оптических плотностей и соответствующих им массам оксида марганца (II) в граммах строят градуировочный график.
5.2.2 Проверка приемлемости аналитических сигналов фотоэлектроколориметра и спектрофотометра
При построении градуировочного графика, периодическом контроле стабильности градуировочной характеристики, а также при выполнении анализов выполняют проверку приемлемости аналитических сигналов фотоэлектроколориметра и спектрофотометра, полученных в условиях повторяемости.
Результат проверки признается приемлемым при выполнении условия:
,
(1)
где Di1 и Di2 - значения оптической плотности, полученные для i-го градуировочного раствора при двух измерениях, Б;
D̅i - среднее значение результатов двух измерений оптической плотности i-го градуировочного раствора, Б;
Kф - норматив (допускаемое расхождение результатов измерений оптической плотности раствора), при вероятности 0, 95 %;
Кф = 5 %.
5.3 Проведение анализа
5.3.1 Аналитическую пробу массой 0, 5 г помещают в платиновую чашку, смачивают несколькими каплями дистиллированной воды, прибавляют 5-6 капель азотной кислоты или серной кислоты, 5-10 см3 фтористоводородной кислоты, осторожно нагревают до выделения бурых паров оксида азота или белых паров серной кислоты. К остатку приливают 50-60 см3 дистиллированной воды, подкисляют 10 см3 азотной кислоты и нагревают на песчаной бане до растворения. Раствор охлаждают, переносят в мерную колбу вместимостью 100 см3, доводят объем раствора до метки дистиллированной водой и перемешивают.
5.3.2 Аликвотную часть раствора, полученного по 5.3.1, объемом 20-50 см3 переносят в стакан вместимостью 250 см3. Содержание оксида марганца (II) в аликвотной части раствора не должно превышать 0, 001 г. К аликвотной части раствора приливают 10 см3 азотной кислоты и 10 см3 ортофосфорной кислоты, добавляют 0, 3 - 0, 4 г периодата калия, нагревают 5 - 10 мин при температуре 90 °С до возникновения устойчивой окраски. Полученный раствор охлаждают, переносят в мерную колбу вместимостью 100 см3, доводят объем раствора до метки дистиллированной водой и перемешивают.
Измеряют оптическую плотность раствора при длине волны 530 нм или при применении желто-зеленого светофильтра. Раствором сравнения служит раствор контрольного опыта, содержащий все применяемые реактивы.
Массу оксида марганца (II) в граммах находят по градуировочному графику, построенному по 5.2.1.
5.4 Обработка результатов
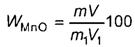
5.4.1 Массовую долю оксида марганца (II) WMnO, %, вычисляют по формуле
,
(2)
где m - масса оксида марганца (II), найденная по градуировочному графику, г;
V - общий объем исходного раствора, см3;
m1 - масса аналитической пробы, г;
V1 - объем аликвотной части раствора, см3.
5.4.2 Нормы точности и нормативы контроля точности определений массовой доли оксида марганца (II) приведены в разделе 8.
6.1 Сущность метода
Метод основан на измерении оптической плотности окраски перманганат-ионов при длине волны 525 нм или 545 нм.
Марганец окисляется в перманганат-ион надсернокислым аммонием в присутствии ионов серебра.
Метод применяют для алюмосиликатных и высокомагнезиальных огнеупоров.
6.2 Аппаратура, реактивы, растворы и вспомогательные устройства
Спектрофотометр или колориметр фотоэлектрический лабораторный по технической документации.
Электроплитка по технической документации.
Весы по ГОСТ 24104 или ГОСТ OIML R 76-1, класс точности II.
Посуда мерная лабораторная стеклянная по ГОСТ 1770.
Посуда лабораторная стеклянная по ГОСТ 25336.
Вода дистиллированная по ГОСТ 6709.
Кислота азотная по ГОСТ 4461 и разбавленная 1:1.
Кислота серная по ГОСТ 4204, разбавленная 1:1
Кислота ортофосфорная по ГОСТ 6552.
Аммоний надсернокислый по ГОСТ 20478, раствор с массовой долей 10 %.
Натрий азотисто-кислый по ГОСТ 4197, раствор с массовой долей 5 %.
Калий марганцовокислый по ГОСТ 20490.
Ртуть азотнокислая 2-водная по ГОСТ 4521.
Серебро азотнокислое по ГОСТ 1277.
Основной раствор: 10 г азотнокислой ртути и 2, 5 г азотнокислого серебра помещают в стакан вместимостью 1000 см3, добавляют 50 см3 азотной кислоты и 200 см3 ортофосфорной кислоты и растворяют в 500 см3 дистиллированной воды. Раствор переносят в мерную колбу вместимостью 1000 см3, доводят объем раствора до метки дистиллированной водой и перемешивают.
Стандартный раствор оксида марганца (II) с массовой концентрацией 0, 001 г/см3 (раствор А): 2, 228 г марганцовокислого калия помещают в стакан вместимостью 600 см3, приливают 200 см3 дистиллированной воды и 25 см3 раствора азотной кислоты 1:1 и растворяют при нагревании. Раствор охлаждают, переносят в мерную колбу вместимостью 1000 см3, доводят объем раствора до метки дистиллированной водой и перемешивают.
Градуировочный раствор оксида марганца (II) с массовой концентрацией 0, 00005 г/см3 (раствор Б): 25 см3 стандартного раствора оксида марганца (II) (раствор А) помещают в мерную колбу вместимостью 500 см3, приливают 10 см3 раствора азотной кислоты 1:1, доводят объем раствора до метки дистиллированной водой и перемешивают. Раствор применяют в день приготовления.
6.2.1 Построение градуировочного графика
Для построения градуировочного графика в стаканы из химически стойкого стекла вместимостью 400 см3 каждый отмеряют аликвотные части градуировочного раствора: 2, 0; 5, 0; 10, 0; 15, 0; 20, 0 см3, что соответствует 0, 1; 0, 25; 0, 5; 0, 75; 1, 0 мг оксида марганца (II). Приливают в каждый стакан 5 см3 раствора серной кислоты 1:1 и осторожно нагревают до выделения белых паров серной кислоты, затем охлаждают и остаток обрабатывают 50 см3 дистиллированной воды. К полученной взвеси приливают 10 см3 основного раствора, 10 см3 раствора надсернокислого аммония, нагревают до кипения и кипятят 5 мин. Снимают стаканы с электроплитки и выдерживают 2 мин до образования устойчивой окраски. Полученные растворы охлаждают, переносят в мерные колбы вместимостью 100 см3 каждая, доводят объем раствора до метки дистиллированной водой и перемешивают (растворы 1-5).
Приготовление фоновых растворов: в стакан вместимостью 100 см3 отбирают часть раствора 1 и при постоянном перемешивании по каплям добавляют раствор азотисто-кислого натрия до полного исчезновения окраски перманганата и две капли в избыток. Повторяют действия с растворами 2-5.
Измеряют оптическую плотность растворов при длине волны 525 нм или 545 нм в кювете с толщиной оптического слоя 40-50 мм. Раствором сравнения служит фоновый раствор.
По найденным значениям оптической плотности и соответствующим им массам оксида марганца (II) строят градуировочный график в координатах: оптическая плотность (Б) - масса оксида марганца (II) (мг), и рассчитывают константу метода K.
,
(3)
где mi - масса оксида марганца (II) в i-м градуировочном растворе, мг;
D̅i - среднее значение результатов двух измерений оптической плотности i-го градуировочного раствора, Б;
i - номер градуировочного раствора. Градуировочная характеристика считается приемлемой, если расхождение между минимальным и максимальным расчетным значением константы метода K не превышает 5 %.
6.2.2 Проверка приемлемости аналитических сигналов фотоэлектроколориметра и спектрофотометра
При построении градуировочного графика, периодическом контроле стабильности градуировочной характеристики, а также при выполнении анализов выполняют проверку приемлемости аналитических сигналов фотоэлектроколориметра и спектрофотометра, полученных в условиях повторяемости.
Результат проверки признается приемлемым при выполнении условия:
,
(4)
где Di1 и Di2 - значения оптической плотности, полученные для i-го градуировочного раствора при двух измерениях, Б;
D̅i - среднее значение результатов двух измерений оптической плотности i-го градуировочного раствора, Б;
Kф - норматив (допускаемое расхождение результатов измерений оптической плотности раствора), при вероятности 0, 95, %;
Kф = 5 %.
6.3 Проведение анализа
6.3.1 Подготовку исходного раствора проводят по ГОСТ 2642.3, раздел 10 (гравифотометрический метод определения оксида кремния (IV) при массовой доле от 1 % до 90 %, раствор Е).
6.3.2 Аликвотную часть раствора по 6.3.1 объемом 25 см3 переносят в стакан из термически стойкого стекла вместимостью 400 см3, приливают 5 см3 раствора серной кислоты 1:1 и осторожно нагревают до выделения белых паров серной кислоты, затем охлаждают и остаток обрабатывают 50 см3 дистиллированной воды. К полученной взвеси приливают 10 см3 основного раствора, 10 см3 раствора надсернокислого аммония, нагревают до кипения и кипятят 5 мин. Снимают стакан с электроплитки и выдерживают 2 мин до образования устойчивой окраски. Полученный раствор охлаждают, переносят в мерную колбу вместимостью 100 см3, доводят объем раствора до метки дистиллированной водой и перемешивают (раствор В).
В стакан вместимостью 100 см3 отбирают часть раствора В для приготовления фонового раствора. Для этого при постоянном перемешивании по каплям добавляют раствор натрия азотисто-кислого до полного исчезновения окраски перманганата и две капли в избыток.
Измеряют оптическую плотность раствора В при длине волны 525 нм или 545 нм в кювете с толщиной оптического слоя 40 - 50 мм. Раствором сравнения служит фоновый раствор.
Массу оксида марганца (II) в граммах находят по градуировочному графику, построенному по 6.2.1.
6.4 Обработка результатов
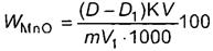
6.4.1 Массовую долю оксида марганца (II) WMnO, %, вычисляют по формуле
,
(5)
где D - оптическая плотность раствора В, Б;
D1 - оптическая плотность фонового раствора, Б;
K - константа метода, рассчитанная по 6.2.1, мг/Б;
V - общий объем исходного раствора, см3;
m - масса аналитической пробы, г;
V1 - объем аликвотной части раствора, см3;
1000 - коэффициент перевода размерности массы.
6.4.2 Нормы точности и нормативы контроля точности определений массовой доли оксида марганца (II) приведены в разделе 8.
7.1 Сущность метода
Метод основан на измерении атомной абсорбции марганца в пламени ацетилен-воздух при длине волны 279, 5 нм.
7.2 Аппаратура, реактивы, растворы и вспомогательные устройства
Атомно-абсорбционный спектрофотометр с источником излучения для определения марганца.
Печь муфельная с терморегулятором, обеспечивающая поддержание температуры 1000 °С с пределами допустимого отклонения ± 50 °С.
Весы по ГОСТ 24104 или ГОСТ OIML R 76-1, класс точности II.
Тигли платиновые по ГОСТ 6563.
Посуда мерная лабораторная стеклянная по ГОСТ 1770.
Посуда лабораторная стеклянная по ГОСТ 25336.
Вода дистиллированная по ГОСТ 6709.
Кислота соляная по ГОСТ 3118, разбавленная 1:1 и 1:3.
Кислота азотная по ГОСТ 4461, разбавленная 1:1.
Марганец металлический по ГОСТ 6008.
Натрий тетраборнокислый 10-водный по ГОСТ 4199.
Безводный тетраборнокислый натрий: 10-водный тетраборнокислый натрий, обезвоженный при температуре(400 ± 20) °С.
Натрий углекислый по ГОСТ 83.
Смесь для сплавления: углекислый натрий и безводный тетраборнокислый натрий смешивают в соотношении 2:1.
Фоновый раствор: 16 - 20 г смеси для сплавления помещают в мерную колбу вместимостью 1000 см3, растворяют в 240 см3 раствора соляной кислоты 1:3, доводят объем раствора до метки дистиллированной водой и перемешивают.
Стандартный раствор оксида марганца (II) с массовой концентрацией 0, 001 г/см3 (раствор А): 0, 7745 г марганца помещают в стакан из термически стойкого стекла, приливают 10 см3 раствора азотной кислоты 1:1, добавляют 10 см3 раствора соляной кислоты 1:1 и упаривают досуха. Остаток растворяют в 20 см3 раствора соляной кислоты 1:1, переносят в мерную колбу вместимостью 1000 см3, доводят объем раствора до метки дистиллированной водой и перемешивают.
Градуировочный раствор оксида марганца (II) с массовой концентрацией 0, 00005 г/см3 (раствор Б): 10 см3 стандартного раствора А помещают в мерную колбу вместимостью 200 см3, доводят объем раствора до метки дистиллированной водой и перемешивают.
7.2.1 Построение градуировочного графика
В мерные колбы вместимостью 100 см3 отмеряют аликвотные части градуировочного раствора Б: 1, 0; 3, 0; 5, 0; 7, 0; 10, 0; 12, 0; 15, 0; 17, 0; 20, 0 см3, что соответствует 0, 00005; 0, 00015; 0, 00020; 0, 00035; 0, 0005; 0, 0006; 0, 00075; 0, 00085; 0, 001 г оксида марганца (II). Доводят объем растворов до метки фоновым раствором и перемешивают.
Измеряют атомную абсорбцию полученных растворов в пламени ацетилен-воздух при длине волны 279, 5 нм. Массовую долю оксида марганца (II) определяют по измеренным значениям атомной абсорбции за вычетом атомной абсорбции контрольного опыта, проведенного параллельно с пробами. Строят градуировочный график по средним значениям двух измерений атомной абсорбции и соответствующим им массам оксида марганца (II).
7.3 Проведение анализа
Аналитическую пробу массой 0, 2 г смешивают в платиновом тигле с 2 - 3 г смеси для сплавления и сплавляют в муфельной печи при температуре 1000 °С.
Тигель со сплавом охлаждают и помещают в стакан вместимостью 250 - 300 см3, добавляют 60 см3 раствора соляной кислоты 1:3 и нагревают до полного растворения сплава. Раствор переносят в мерную колбу вместимостью 250 см3, доводят объем раствора до метки дистиллированной водой и перемешивают.
В мерную колбу вместимостью 100 см3 помещают аликвотную часть раствора объемом 10-50 см3 (аликвотная часть раствора должна содержать от 0, 00005 до 0, 001 г оксида марганца (II)), доводят объем раствора до метки фоновым раствором и перемешивают.
Измеряют атомную абсорбцию анализируемого раствора в пламени ацетилен - воздух при длине волны 279, 5 нм.
Массу оксида марганца (II) определяют по измеренным значениям атомной абсорбции за вычетом атомной абсорбции контрольного опыта, проведенного параллельно с пробами.
Определение проводят по градуировочному графику.
При смене растворов систему распыления промывают водой.
7.4 Обработка результатов
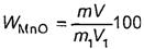
Массовую долю оксида марганца (II) WMnO, %, вычисляют по формуле
,
(6)
где m - масса оксида марганца (II) в аликвотной части анализируемого раствора, найденная по градуировочному графику, г;
V - общий объем исходного раствора, см3;
m1 - масса аналитической пробы, г;
V1 - объем аликвотной части раствора, см3.
Нормы точности и нормативы контроля точности определений массовой доли оксида марганца (II) приведены в разделе 8.
8.1 Проверка приемлемости
Проверяют приемлемость результатов определений массовой доли оксида марганца (II). Результат проверки считают удовлетворительным, если выполняется условие
,
(7)
где
,
- значения массовой доли оксида марганца (II), полученные в условиях повторяемости, %;
r - предел повторяемости (см. таблицу 1).
За результат определений массовой доли оксида марганца (II) принимают среднеарифметическое значение W̅MnO, полученное по двум последовательным определениям, удовлетворяющим требованию приемлемости.
Если условие (7) не выполнено, проводят два дополнительных определения и проверяют приемлемость вновь полученных результатов.
Если результаты дополнительных определений не удовлетворяют требованиям приемлемости, то за результат определений принимают среднеарифметическое значение из четырех полученных значений при условии, что ряд последовательно полученных значений не возрастает или не убывает монотонно.
Примечание - Допускается проводить проверку приемлемости результатов по нормативным документам государств, проголосовавших за принятие настоящего стандарта*.
──────────────────────────────
* В Российской Федерации действует ГОСТ Р ИСО 5725-6-2002 "Точность (правильность и прецизионность) методов и результатов измерений. Часть 6. Использование значений точности на практике".
8.2 Оформление результатов определения
В документе о качестве результат определения массовой доли оксида марганца (II) приводят в сокращенном формате без указания расширенной неопределенности.
По требованию заказчика результат определения массовой доли оксида марганца (II) может быть приведен в полном формате
[WMnO±U(WMnO)],
(8)
где U(WMnO) - расширенная неопределенность при коэффициенте охвата k = 2.
Результат округляют до того же десятичного знака, которым заканчивается округленное значение расширенной неопределенности U(WMnO).
Примеры
1 WMnO = (0, 70 ± 0, 06) %.
2 WMnO = (10, 1 ± 0, 3) %.
8.3 Контроль внутрилабораторной прецизионности
Рассчитывают расхождение результатов определений массовой доли оксида марганца (II), полученное в условиях прецизионности. При этом расхождение между двумя средними результатами определений не должно превышать норматив контроля (Rn)
,
(9)
где
,
- первое и второе значения массовой доли оксида марганца (II), %.
При превышении норматива измерения повторяют. При повторном превышении выясняют причины, приводящие к неудовлетворительным результатам, и устраняют.
8.4 Оперативный контроль точности
Контроль процедуры выполнения определений (контроль точности результатов измерений) проводят не реже одного раза в смену или одновременно с каждой партией рабочих проб. Для контроля точности результатов измерений применяют государственные стандартные образцы, стандартные образцы предприятия или смеси, аттестованные в установленном порядке. Если отклонение результата определения массовой доли оксида марганца (II) в образце для контроля W̅MnO от аттестованного (расчетного) значения Аco не превышает норматива контроля Kт (таблица 1)
|W̅MnO-ACD|≤KT,
(10)
результаты контрольной процедуры признают удовлетворительными. При невыполнении условия (10) определение повторяют. При повторном невыполнении условия (10) определения прекращают до выявления и устранения причин, приводящих к неудовлетворительным результатам.
Таблица 1
В процентах
|
Массовая доля оксида марганца (II) |
Нормы точности и нормативы контроля точности | |||
|
U(W) |
Rn |
r |
Kт | |
|
От 0, 01 до 0, 02 включ. |
0, 008 |
0, 010 |
0, 009 |
0, 005 |
|
Св. 0, 02 до 0, 05 включ. |
0, 013 |
0, 016 |
0, 013 |
0, 008 |
|
Св. 0, 05 до 0, 1 включ. |
0, 018 |
0, 023 |
0, 019 |
0, 011 |
|
Св. 0.1 до 0, 2 включ. |
0, 03 |
0, 04 |
0, 03 |
0, 02 |
|
Св. 0, 2 до 0, 5 включ. |
0, 04 |
0, 05 |
0, 04 |
0, 03 |
|
Св. 0, 5 до 1 включ. |
0, 06 |
0, 07 |
0, 06 |
0, 04 |
|
Св. 1 до 2 включ. |
0, 08 |
0, 10 |
0, 09 |
0, 05 |
|
Св. 2 до 5 включ. |
0, 13 |
0, 16 |
0, 13 |
0, 08 |
|
Св. 5 до 10 включ. |
0, 18 |
0, 23 |
0, 19 |
0, 12 |
Результаты определений записывают в протокол, в котором указывают:
- обозначение настоящего стандарта;
- наименование организации, проводившей испытание;
- обозначение испытуемого огнеупора или огнеупорного сырья, марку, номер партии;
- наименование предприятия-изготовителя;
- дату проведения испытания;
- метод определения оксида марганца (II);
- значение результата определения оксида марганца (II);
- должность, фамилию, имя, отчество исполнителя;
- подпись исполнителя.
Примечание - Допускается проводить оформление результатов измерений в соответствии с ГОСТ ИСО/МЭК 17025, либо с правилами, действующими на конкретном предприятии.


