ГОСТ 2642.9-2018 ОГНЕУПОРЫ И ОГНЕУПОРНОЕ СЫРЬЕ. МЕТОДЫ ОПРЕДЕЛЕНИЯ ОКСИДА ХРОМА (III)
Refractories and refractory raw materials. Methods for determination of chrome (III) oxide
МКС 81.080
Предисловие
Цели, основные принципы и основной порядок проведения работ по межгосударственной стандартизации установлены в ГОСТ 1.0-2015 "Межгосударственная система стандартизации. Основные положения" и ГОСТ 1.2-2015 "Межгосударственная система стандартизации. Стандарты межгосударственные, правила и рекомендации по межгосударственной стандартизации. Правила разработки, принятия, обновления и отмены"
Сведения о стандарте
1 Разработан Обществом с ограниченной ответственностью "Научно-технический центр "Огнеупоры" (ООО "НТЦ "Огнеупоры")
2 Внесен Федеральным агентством по техническому регулированию и метрологии
3 Принят Межгосударственным советом по стандартизации, метрологии и сертификации (протокол от 30 мая 2018 г. N 109-П)
За принятие проголосовали:
|
Краткое наименование страны по МК (ИСО 3166) 004-97 |
Код страны по МК (ИСО 3166) 004-97 |
Сокращенное наименование национального органа по стандартизации |
|
Армения |
AM |
Минэкономики Республики Армения |
|
Беларусь |
BY |
Госстандарт Республики Беларусь |
|
Казахстан |
KZ |
Госстандарт Республики Казахстан |
|
Киргизия |
KG |
Кыргызстандарт |
|
Россия |
RU |
Росстандарт |
|
Узбекистан |
UZ |
Узстандарт |
4 Приказом Федерального агентства по техническому регулированию и метрологии от 26 сентября 2018 г. N 657-ст межгосударственный стандарт ГОСТ 2642.9-2018 введен в действие в качестве национального стандарта Российской Федерации с 1 февраля 2019 г.
5 Взамен ГОСТ 2642.9-97
Настоящий стандарт распространяется на высокомагнезиальные, магнезиально-шпинелидные, магнезиально-известковые, глиноземоизвестковые и алюмосиликатные огнеупоры и огнеупорное сырье и устанавливает методы количественного определения оксида хрома (III):
- титриметрический - при массовой доле от 1 % до 65 %;
- ускоренный титриметрический - при массовой доле от 5 % до 65 %;
- атомно-абсорбционный - при массовой доле от 0, 1 % до 10 %;
- фотометрический - при массовой доле от 0, 1 % до 1 %.
В настоящем стандарте использованы нормативные ссылки на следующие межгосударственные стандарты:
ГОСТ 12.4.253-2013 (EN 166:2002) Система стандартов безопасности труда. Средства индивидуальной защиты глаз. Общие технические требования
ГОСТ 61-75 Реактивы. Кислота уксусная. Технические условия
ГОСТ OIML R 76-1-2011 Государственная система обеспечения единства измерений. Весы неавтоматического действия. Часть 1. Метрологические и технические требования. Испытания
ГОСТ 83-79 Реактивы. Натрий углекислый. Технические условия
ГОСТ 199-78 Реактивы. Натрий уксуснокислый 3-водный. Технические условия
ГОСТ 435-77 Реактивы. Марганец (II) сернокислый 5-водный. Технические условия
ГОСТ 1277-75 Реактивы. Серебро азотнокислое. Технические условия
ГОСТ 1770-74 (ИСО 1042-83, ИСО 4788-80) Посуда мерная лабораторная стеклянная. Цилиндры, мензурки, колбы, пробирки. Общие технические условия
ГОСТ 2642.0-2014 Огнеупоры и огнеупорное сырье. Общие требования к методам анализа
ГОСТ 2642.3-2014 Огнеупоры и огнеупорное сырье. Методы определения оксида кремния (IV)
ГОСТ 3118-77 Реактивы. Кислота соляная. Технические условия
ГОСТ 3760-79 Реактивы. Аммиак водный. Технические условия
ГОСТ 4199-76 Реактивы. Натрий тетраборнокислый 10-водный. Технические условия
ГОСТ 4204-77 Реактивы. Кислота серная. Технические условия
ГОСТ 4208-72 Реактивы. Соль закиси железа и аммония двойная сернокислая (соль Мора). Технические условия
ГОСТ 4220-75 Реактивы. Калий двухромовокислый. Технические условия
ГОСТ 4221-76 Реактивы. Калий углекислый. Технические условия
ГОСТ 4233-77 Реактивы. Натрий хлористый. Технические условия
ГОСТ 4462-78 Реактивы. Кобальт (II) сернокислый 7-водный. Технические условия
ГОСТ 4465-74 Реактивы. Никель (II) сернокислый 7-водный. Технические условия
ГОСТ 6552-80 Реактивы. Кислота ортофосфорная. Технические условия
ГОСТ 6563-2016 Изделия технические из благородных металлов и сплавов. Технические условия
ГОСТ 6709-72 Вода дистиллированная. Технические условия
ГОСТ 10652-73 Реактивы. Соль динатриевая этилендиамин-N, N, N', N'-тетрауксусной кислоты 2-водная (трилон Б). Технические условия
ГОСТ 10929-76 Реактивы. Водорода пероксид. Технические условия
ГОСТ 14183-78 Стекло органическое часовое. Технические условия
ГОСТ ИСО/МЭК 17025-2009 Общие требования к компетентности испытательных и калибровочных лабораторий
ГОСТ 20478-75 Реактивы. Аммоний надсернокислый. Технические условия
ГОСТ 20490-75 Реактивы. Калий марганцовокислый. Технические условия
ГОСТ 24104-2001 Весы лабораторные. Общие технические требования*
──────────────────────────────
* В Российской Федерации действует ГОСТ Р 53228-2008 "Весы неавтоматического действия. Часть 1. Метрологические и технические требования. Испытания".
ГОСТ 25336-82 Посуда и оборудование лабораторные стеклянные. Типы, основные параметры и размеры
Примечание - При пользовании настоящим стандартом целесообразно проверить действие ссылочных стандартов в информационной системе общего пользования - на официальном сайте Федерального агентства по техническому регулированию и метрологии в сети Интернет или по ежегодному информационному указателю "Национальные стандарты", который опубликован по состоянию на 1 января текущего года, и по выпускам ежемесячного информационного указателя "Национальные стандарты" за текущий год. Если ссылочный стандарт заменен (изменен), то при пользовании настоящим стандартом следует руководствоваться заменяющим (измененным) стандартом. Если ссылочный стандарт отменен без замены, то положение, в котором дана ссылка на него, применяется в части, не затрагивающей эту ссылку.
3.1 Общие требования к методам анализа - по ГОСТ 2642.0 с дополнением по 3.1.1, 3.1.2.
3.1.1 Массовое соотношение компонентов в смесях для сплавления указано в порядке их перечисления.
3.1.2 Параллельно с аналитической пробой через все стадии анализа проводится контрольный опыт на загрязнение реактивов.
4.1 Требования безопасности - по ГОСТ 2642.0 с дополнением по 4.1.1.
4.1.1 При проведении испытания следует применять индивидуальные средства защиты глаз по ГОСТ 12.4.253.
5.1 Сущность метода
Метод основан на сплавлении аналитической пробы со смесью для сплавления, переведении хрома в шестивалентное состояние и прямом титровании раствором соли Мора с использованием в качестве индикатора раствора фенилантраниловой кислоты.
5.2 Аппаратура, реактивы, растворы и вспомогательные устройства
Печь муфельная с терморегулятором, обеспечивающая поддержание температуры 1000 °С с пределами допустимого отклонения ± 50 °С.
Шкаф сушильный, обеспечивающий поддержание заданной температуры 200 °С с пределами допустимого отклонения ± 5 °С.
Электроплитка по технической документации.
Весы по ГОСТ 24104 или ГОСТ OIML R 76-1, класс точности II.
Тигли платиновые N 100-7 и N 100-10 по ГОСТ 6563.
Посуда лабораторная стеклянная по ГОСТ 25336.
Посуда мерная лабораторная стеклянная по ГОСТ 1770.
Вода дистиллированная по ГОСТ 6709.
Кислота серная по ГОСТ 4204 и разбавленная 1:5.
Кислота соляная по ГОСТ 3118, разбавленная 1:4.
Калий марганцовокислый по ГОСТ 20490, раствор с молярной концентрацией 0, 02 моль/дм3: 3, 2 г марганцовокислого калия растворяют в 1000 см3 дистиллированной воды, нагревают до кипения и охлаждают. Переливают раствор в сосуд из темного стекла с притертой пробкой, отстаивают в течение 2-3 сут, осторожно сливают (декантируют) или фильтруют через фильтр из спекшегося стеклянного порошка по ГОСТ 25336 класса ПОР 10 или ПОР 16.
Соль закиси железа и аммония двойная сернокислая (соль Мора) по ГОСТ 4208, раствор с молярной концентрацией эквивалента 0, 1 моль/дм3: 39, 2 г соли Мора растворяют в 500 см3 дистиллированной воды, добавляют 100 см3 серной кислоты, охлаждают, доводят объем раствора до 1000 см3 дистиллированной водой и перемешивают.
Соль закиси железа и аммония двойная сернокислая (соль Мора) по ГОСТ 4208, раствор с молярной концентрацией эквивалента 0, 05 моль/дм3: 19, 6 г соли Мора растворяют в 500 см3 дистиллированной воды, добавляют 100 см3 серной кислоты, охлаждают, доводят объем раствора до 1000 см3 дистиллированной водой и перемешивают.
Калий двухромовокислый по ГОСТ 4220, раствор с молярной концентрацией эквивалента 0, 1 моль/дм3: 4, 903 г двухромовокислого калия, дважды перекристаллизованного и высушенного при температуре 200 °С до постоянной массы, растворяют в дистиллированной воде, переносят в мерную колбу вместимостью 1000 см3, доводят объем раствора до метки дистиллированной водой и перемешивают.
Натрий углекислый по ГОСТ 83.
Кислота фенилантраниловая по технической документации, раствор с массовой концентрацией 0, 002 г/см3: 0, 2 г углекислого натрия растворяют в 50 см3 дистиллированной воды, нагретой до 40 °С - 50 °С, добавляют 0, 2 г фенилантраниловой кислоты, перемешивают, охлаждают, доводят объем раствора до 100 см3 дистиллированной водой и перемешивают.
Натрий тетраборнокислый 10-водный по ГОСТ 4199.
Натрий тетраборнокислый безводный, изготовленный из 10-водного тетраборнокислого натрия, обезвоженного при температуре (400 ± 20) °С.
Калий углекислый по ГОСТ 4221.
Смесь для сплавления: углекислый натрий, безводный тетраборнокислый натрий и углекислый калий смешивают в соотношении 1:1:1.
5.2.1 Массовую концентрацию раствора соли Мора устанавливают по раствору двухромовокислого калия.
В коническую колбу вместимостью 250 см3 отмеряют 10 см3 раствора двухромовокислого калия, приливают примерно 100 см3 дистиллированной воды, 15 см3 серной кислоты, 5-6 капель раствора фенилантраниловой кислоты и титруют раствором соли Мора до перехода окраски раствора из винно-красной в ярко-зеленую.
Массовую концентрацию раствора соли Мора по оксиду хрома (III)
г/см3, вычисляют по формуле
,
(1)
где 10 - объем раствора двухромовокислого калия, взятый для установления массовой концентрации раствора соли Мора, см3;
0, 002533 - теоретическая массовая концентрация раствора двухромовокислого калия с молярной концентрацией эквивалента 0, 1 моль/дм3, г/см3;
V - объем раствора соли Мора, израсходованный на титрование, см3.
5.3 Проведение анализа
5.3.1 Отбирают аналитическую пробу в соответствии с таблицей 1.
Таблица 1
|
Массовая доля оксида хрома (III), % |
Масса аналитической пробы, г |
|
От 1 до 5 включ. |
0, 5 |
|
Св. 5 до 30 включ. |
0, 2 |
|
Св. 30 до 65 включ. |
0, 1 |
Аналитическую пробу смешивают с 5-6 г смеси для сплавления в платиновом тигле и сплавляют в муфельной печи при температуре 1000 °С в течение 20-50 мин до полного разложения аналитической пробы.
В стакан вместимостью 400 см3 наливают 90 см3 серной кислоты, разбавленной 1:5, добавляют 2-3 см3 раствора марганцовокислого калия, помещают в него тигель со сплавом и нагревают на электроплитке до полного растворения сплава. Вынимают тигель, обмывают его дистиллированной водой, добавляют в стакан 10 см3 соляной кислоты, разбавленной 1:4, и кипятят до исчезновения розовой окраски и 5-7 мин дополнительно.
Полученный раствор охлаждают, добавляют 5-6 капель раствора фенилантраниловой кислоты и титруют раствором соли Мора с молярной концентрацией эквивалента 0, 05 моль/дм3 при массовой доле оксида хрома (III) до 5 % и 0, 1 моль/дм3 при массовой доле оксида хрома (III) свыше 5 % до перехода окраски раствора из винно-красной в ярко-зеленую.
5.4 Обработка результатов
Массовую долю оксида хрома (III)
, %, вычисляют по формуле
,
(2)
где V - объем раствора соли Мора, израсходованный на титрование, см3;
- массовая концентрация раствора соли Мора по оксиду хрома (III), г/см3;
m - масса аналитической пробы, г.
5.5 Нормы точности и нормативы контроля точности определений массовой доли оксида хрома (III) приведены в разделе 9.
6.1 Сущность метода
Метод основан на разложении аналитической пробы смесью серной и ортофосфорной кислот при нагревании, переведении хрома в шестивалентное состояние и прямом титровании раствором соли Мора с использованием в качестве индикатора раствора фенилантраниловой кислоты.
6.2 Аппаратура, реактивы, растворы и вспомогательные устройства
Электроплитка по технической документации.
Шкаф сушильный, обеспечивающий поддержание заданной температуры 200 °С с пределами допустимого отклонения ± 5 °С.
Весы по ГОСТ 24104 или ГОСТ OIML R 76-1, класс точности II.
Посуда мерная лабораторная стеклянная по ГОСТ 1770.
Посуда лабораторная стеклянная по ГОСТ 25336.
Вода дистиллированная по ГОСТ 6709.
Кислота серная по ГОСТ 4204.
Кислота ортофосфорная по ГОСТ 6552.
Смесь серной и ортофосфорной кислот: серную кислоту и ортофосфорную кислоту смешивают в объемном соотношении 2:1.
Кислота соляная по ГОСТ 3118.
Соль закиси железа и аммония двойная сернокислая (соль Мора) по ГОСТ 4208, раствор с молярной концентрацией эквивалента 0, 1 моль/дм3: 39, 2 г соли Мора растворяют в 500 см3 дистиллированной воды, добавляют 100 см3 серной кислоты, охлаждают, доводят объем раствора до 1000 см3 дистиллированной водой и перемешивают.
Калий двухромовокислый по ГОСТ 4220, раствор с молярной концентрацией эквивалента 0, 1 моль/дм3: 4, 903 г двухромовокислого калия, дважды перекристаллизованного и высушенного при температуре 200 °С до постоянной массы, растворяют в дистиллированной воде, переносят в мерную колбу вместимостью 1000 см3, доводят объем раствора до метки дистиллированной водой и перемешивают.
Аммоний надсернокислый по ГОСТ 20478, раствор с массовой долей 20 % (срок хранения готового раствора - 5-6 дней).
Кобальт (II) сернокислый 7-водный по ГОСТ 4462.
Никель (II) сернокислый 7-водный по ГОСТ 4465.
Марганец (II) сернокислый 5-водный по ГОСТ 435, раствор с массовой долей 10 %.
Катализатор кобальтоникелевый: 15 г 7-водного сернокислого кобальта (II) и 15 г 7-водного сернокислого никеля (II) помещают в стакан вместимостью 1000 см3 и растворяют при перемешивании в 600-700 см3 дистиллированной воды, переносят в мерную колбу вместимостью 1000 см3, добавляют 30 см3 раствора сернокислого марганца, доводят объем раствора до метки дистиллированной водой и перемешивают.
Серебро азотнокислое по ГОСТ 1277, раствор с массовой долей 1 %.
Натрий углекислый по ГОСТ 83.
Кислота фенилантраниловая по технической документации, раствор с массовой концентрацией 0, 002 г/см3: 0, 2 г углекислого натрия растворяют в 50 см3 дистиллированной воды, нагретой до 40 °С - 50 °С, добавляют 0, 2 г фенилантраниловой кислоты, перемешивают, охлаждают, доводят объем раствора до 100 см3 дистиллированной водой и перемешивают.
6.2.1 Массовую концентрацию раствора соли Мора устанавливают по раствору двухромовокислого калия.
В коническую колбу вместимостью 250 см3 отмеряют 20 см3 раствора двухромовокислого калия, приливают 100 см3 дистиллированной воды, 5 см3 смеси серной и ортофосфорной кислот, 5-6 капель раствора фенилантраниловой кислоты и титруют раствором соли Мора до перехода окраски раствора из винно-красной в ярко-зеленую.
Массовую концентрацию раствора соли Мора по оксиду хрома (III)
г/см3, вычисляют по формуле
,
(3)
где 20 - объем раствора двухромовокислого калия, взятый для установления массовой концентрации раствора соли Мора, см3;
0, 002533 - теоретическая массовая концентрация раствора двухромовокислого калия с молярной концентрацией эквивалента 0, 1 моль/дм3, г/см3;
V - объем раствора соли Мора, израсходованный на титрование, см3.
6.3 Проведение анализа
Аналитическую пробу массой 0, 1-0, 2 г помещают в коническую колбу вместимостью 250 см3, приливают 20 см3 смеси серной и ортофосфорной кислот и нагревают на электроплитке до полного разложения аналитической пробы. Раствор охлаждают, приливают 100-150 см3 дистиллированной воды, 15-20 см3 раствора надсернокислого аммония, 10 см3 кобальтоникелевого катализатора, перемешивают и нагревают до появления малиновой окраски.
Допускается в качестве катализатора использовать 5 см3 раствора азотнокислого серебра.
Раствор кипятят в течение 12-15 мин до полного прекращения выделения пузырьков газа, приливают 5-7 капель соляной кислоты и снова кипятят до исчезновения малиновой окраски и удаления хлора примерно 5-6 мин.
Раствор охлаждают, приливают 5-6 капель раствора фенилантраниловой кислоты и титруют раствором соли Мора до перехода окраски раствора из винно-красной в ярко-зеленую.
6.4 Обработка результатов
Массовую долю оксида хрома (III)
, %, вычисляют по формуле
,
(4)
где V - объем раствора соли Мора, израсходованный на титрование, см3;
- массовая концентрация раствора соли Мора по оксиду хрома (III), г/см3;
m - масса аналитической пробы, г.
6.5 Нормы точности и нормативы контроля точности определений массовой доли оксида хрома (III) приведены в разделе 9.
7.1 Сущность метода
Метод основан на измерении атомной абсорбции хрома в пламени оксид азота (I)-ацетилен при длине волны 357, 9 нм.
7.2 Аппаратура, реактивы, растворы и вспомогательные устройства
Атомно-абсорбционный спектрофотометр с источником излучения для определения хрома.
Печь муфельная с терморегулятором, обеспечивающая поддержание температуры 1000 °С с пределами допустимого отклонения ± 50 °С.
Шкаф сушильный, обеспечивающий поддержание заданной температуры 200 °С с пределами допустимого отклонения ± 5 °С.
Весы по ГОСТ 24104 или ГОСТ OIML R 76-1, класс точности II.
Тигли платиновые по ГОСТ 6563.
Посуда мерная лабораторная стеклянная по ГОСТ 1770.
Посуда лабораторная стеклянная по ГОСТ 25336.
Вода дистиллированная по ГОСТ 6709.
Кислота соляная по ГОСТ 3118, разбавленная 1:3 и 1:20.
Натрий хлористый по ГОСТ 4233, раствор с массовой долей 10 %.
Натрий тетраборнокислый 10-водный по ГОСТ 4199.
Натрий тетраборнокислый безводный, изготовленный из 10-водного тетраборнокислого натрия, обезвоженного при температуре (400 ± 20) °С.
Натрий углекислый по ГОСТ 83.
Смесь для сплавления: углекислый натрий и безводный тетраборнокислый натрий смешивают в соотношении 2:1.
Калий двухромовокислый по ГОСТ 4220.
Стандартный раствор оксида хрома (III) (раствор А): 0, 1934 г двухромовокислого калия, предварительно высушенного при температуре 180 °С - 200 °С до постоянной массы, растворяют в 200 см3 дистиллированной воды. Раствор переводят в мерную колбу вместимостью 1000 см3, добавляют 200 см3 соляной кислоты, разбавленной 1:3, доводят объем раствора до метки дистиллированной водой и перемешивают [1 см3 стандартного раствора оксида хрома (III) (раствор А) содержит 0, 0001 г оксида хрома (III)].
Стандартный раствор оксида хрома (III) (раствор Б): 20 см3 стандартного раствора А помещают в мерную колбу вместимостью 100 см3, доводят объем раствора до метки соляной кислотой, разбавленной 1:20, и перемешивают [1 см3 стандартного раствора оксида хрома (III) (раствор Б) содержит 0, 00002 г оксида хрома (III)].
7.2.1 Построение градуировочного графика
Готовят серии градуировочных растворов оксида хрома (III). В мерные колбы вместимостью 100 см3 каждая помещают 1, 0; 5, 0; 10, 0; 15, 0; 20, 0 см3 стандартного раствора Б и 5, 0; 6, 0; 7, 0; 8, 0; 9, 0; 10, 0 см3 стандартного раствора А, что соответствует 0, 00002; 0, 0001; 0, 0002; 0, 0003; 0, 0004; 0, 0005; 0, 0006; 0, 0007; 0, 0008; 0, 0009; 0, 001 г оксида хрома (III). К растворам добавляют 5 см3 раствора хлористого натрия, доводят объем раствора до метки соляной кислотой, разбавленной 1:20, и перемешивают.
Измеряют атомную абсорбцию полученных растворов в пламени оксид азота (I)-ацетилен при длине волны 357, 9 нм. Массовую долю оксида хрома (III) определяют по измеренным значениям атомной абсорбции за вычетом атомной абсорбции контрольного опыта, проведенного параллельно с пробами. Строят градуировочный график по средним значениям двух измерений атомной абсорбции и соответствующим им массам оксида хрома (III).
7.3 Проведение анализа
Аналитическую пробу массой 0, 25 г смешивают в платиновом тигле с 2-3 г смеси для сплавления и сплавляют в муфельной печи при температуре 1000 °С.
Сплав растворяют в 50 см3 соляной кислоты, разбавленной 1:3, раствор переводят в мерную колбу вместимостью 250 см3, доводят объем раствора до метки дистиллированной водой и перемешивают.
В зависимости от массовой доли оксида хрома (III) в мерную колбу вместимостью 50 см3 помещают аликвотную часть раствора в соответствии с таблицей 2, добавляют 2, 5 см3 раствора хлористого натрия, доводят объем раствора до метки соляной кислотой, разбавленной 1:20, и перемешивают.
Таблица 2
|
Массовая доля оксида хрома (III), % |
Аликвотная часть, см3 |
|
От 0, 10 до 2, 0 включ. |
25 |
|
Св. 2, 0 до 5, 0 включ. |
10 |
|
Св. 5, 0 до 10, 0 включ. |
5 |
Измеряют атомную абсорбцию анализируемого раствора в пламени оксид азота (I)-ацетилен при длине волны 357, 9 нм.
Массовую долю оксида хрома (III) определяют по измеренным значениям атомной абсорбции за вычетом атомной абсорбции контрольного опыта, проведенного параллельно с пробами.
Определение проводят по градуировочному графику или методом ограничивающих растворов. При смене растворов систему распыления промывают дистиллированной водой.
7.4 Обработка результатов
7.4.1 Массу оксида хрома (III) m, г, в аликвотной части анализируемого раствора определяют по градуировочному графику.
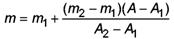
При использовании метода ограничивающих растворов массу оксида хрома (III) m, г, в аликвотной части анализируемого раствора вычисляют по формуле
,
(5)
где m1 и m2 - масса оксида хрома (III) в ограничивающих градуировочных растворах (m2 > m1), г;
А - атомное поглощение анализируемого раствора;
A1, А2 - атомное поглощение ограничивающих градуировочных растворов.
7.4.2 Массовую долю оксида хрома (III)
, %, вычисляют по формуле
,
(6)
где m - масса оксида хрома (III) в аликвотной части анализируемого раствора, г;
V - общий объем исходного раствора, см3;
m3 - масса аналитической пробы, г;
V1 - объем аликвотной части раствора, см3.
7.5 Нормы точности и нормативы контроля точности определений массовой доли оксида хрома (III) приведены в разделе 9.
8.1 Сущность метода
Метод основан на измерении оптической плотности фиолетового комплекса, образованного трехвалентным хромом и трилоном Б, при длине волны 540 нм.
8.2 Аппаратура, реактивы, растворы и вспомогательные устройства
Спектрофотометр или колориметр фотоэлектрический лабораторный по технической документации.
Печь муфельная с терморегулятором, обеспечивающая поддержание температуры 1000 °С с пределами допустимого отклонения ± 50 °С.
Электроплитка по технической документации.
Шкаф сушильный, обеспечивающий поддержание заданной температуры 200 °С с пределами допустимого отклонения ± 5 °С.
Весы по ГОСТ 24104 или ГОСТ OIML R 76-1, класс точности II.
Тигли платиновые по ГОСТ 6563.
Посуда мерная лабораторная стеклянная по ГОСТ 1770.
Посуда лабораторная стеклянная по ГОСТ 25336.
Стекло органическое часовое по ГОСТ 14183.
Калий двухромовокислый по ГОСТ 4220.
Вода дистиллированная по ГОСТ 6709.
Кислота соляная по ГОСТ 3118, разбавленная 1:1 и 1:3.
Аммиак водный по ГОСТ 3760.
Водорода пероксид по ГОСТ 10929, раствор с массовой долей 30 %.
Соль динатриевая этилендиамин-N, N, N', N'-тетрауксусной кислоты 2-водная (трилон Б) по ГОСТ 10652, раствор с массовой долей 10 %.
Кислота уксусная по ГОСТ 61.
Натрий уксуснокислый 3-водный по ГОСТ 199.
Раствор буферный с рН 4, 0: 120 г уксуснокислого натрия растворяют в 500 см3 дистиллированной воды, добавляют 300 см3 уксусной кислоты, доводят объем раствора до 1000 см3 дистиллированной водой и перемешивают.
Стандартный раствор оксида хрома (III) массовой концентрации 0, 001 г/см3: 1, 935 г двухромовокислого калия, высушенного при температуре 180 °С - 200 °С до постоянной массы, растворяют в 300 см3 дистиллированной воды, переносят в мерную колбу вместимостью 1000 см3, добавляют 200 см3 соляной кислоты, разбавленной 1:3, доводят объем раствора до метки дистиллированной водой и перемешивают.
Натрий тетраборнокислый 10-водный по ГОСТ 4199.
Натрий тетраборнокислый безводный, изготовленный из 10-водного тетраборнокислого натрия, обезвоженного при температуре (400 ± 20) °С.
Натрий углекислый по ГОСТ 83.
Смесь для сплавления: углекислый натрий и безводный тетраборнокислый натрий смешивают в соотношении 2:1.
8.2.1 Построение градуировочного графика
Для построения градуировочного графика в стаканы вместимостью 250 см3 каждый отмеряют аликвотные части стандартного раствора: 1, 0; 3, 0; 5, 0; 7, 0; 10, 0 см3, что соответствует 0, 001; 0, 003; 0, 005; 0, 007; 0, 01 г оксида хрома (III). Разбавляют дистиллированной водой до 20-25 см3, добавляют по 1 капле пероксида водорода, нейтрализуют водным аммиаком до выпадения в осадок гидроксидов (переход окраски раствора из голубой в желтую).
Осадок растворяют в соляной кислоте, разбавленной 1:1, и приливают 5 капель кислоты в избыток. Приливают 10 см3 раствора трилона Б, накрывают стакан часовым стеклом, нагревают до кипения и выдерживают на электроплитке при слабом нагреве в течение 15 минут. Добавляют 10 см3 буферного раствора с рН 4, 0, охлаждают, переносят в мерную колбу вместимостью 100 см3, доводят объем раствора до метки дистиллированной водой и перемешивают.
Измеряют оптическую плотность раствора при длине волны 540 нм в кювете с толщиной оптического слоя 30 мм. Раствором сравнения служит раствор контрольного опыта, содержащий все применяемые реактивы.
По найденным значениям оптической плотности и соответствующим им массам оксида хрома (III) строят градуировочный график в координатах, оптическая плотность (Б) - масса оксида хрома (III) (мг), и рассчитывают константу метода K.
,
(7)
где mi - масса оксида хрома (III) в i-м градуировочном растворе, мг;
D̅i - среднее значение результатов двух измерений оптической плотности i-го градуировочного раствора, Б;
i - номер градуировочного раствора.
Градуировочная характеристика считается приемлемой, если расхождение между минимальным и максимальным расчетными значениями константы метода K не превышает 5 %.
8.2.2 Проверка приемлемости аналитических сигналов фотоэлектроколориметра и спектрофотометра
При построении градуировочного графика, периодическом контроле стабильности градуировочной характеристики, а также при выполнении анализов выполняют проверку приемлемости аналитических сигналов фотоэлектроколориметра и спектрофотометра, полученных в условиях повторяемости.
Результат проверки признается приемлемым при выполнении условия:
,
(8)
где Di1 и Di2 - значения оптической плотности, полученные для i-го градуировочного раствора при двух измерениях, Б;
D̅i - среднее значение результатов двух измерений оптической плотности i-го градуировочного раствора, Б;
Kф - норматив (допускаемое расхождение результатов измерений оптической плотности раствора) при доверительной вероятности 0, 95, %;
Kф = 5 %.
8.3 Проведение анализа
8.3.1 Аналитическую пробу массой 0, 5 г смешивают в платиновом тигле с 2-3 г смеси для сплавления и сплавляют в муфельной печи при температуре 1000 °С. Сплав растворяют в 60 см3 соляной кислоты, разбавленной 1:3, раствор переносят в мерную колбу вместимостью 250 см3, доводят объем раствора до метки дистиллированной водой и перемешивают.
Для определения оксида хрома (III) допускается использовать аликвотную часть раствора по ГОСТ 2642.3, раздел 10 - гравифотометрический метод определения оксида кремния (IV).
8.3.2 Аликвотную часть раствора по 8.3.1 объемом 50 см3 переносят в стакан вместимостью 250 см3, добавляют 1 каплю раствора пероксида водорода, нейтрализуют водным аммиаком до выпадения в осадок гидроксидов.
8.3.3 Осадок растворяют в соляной кислоте, разбавленной 1:1, и приливают 5 капель кислоты в избыток. Приливают 10 см3 раствора трилона Б, накрывают стакан часовым стеклом, нагревают до кипения и выдерживают на электроплитке при слабом нагреве в течение 15 мин. Добавляют 10 см3 буферного раствора с рН 4, 0, охлаждают, переносят в мерную колбу вместимостью 100 см3, доводят объем раствора до метки дистиллированной водой и перемешивают.
Измеряют оптическую плотность раствора при длине волны 540 нм в кювете толщиной оптического слоя 30 мм. Раствором сравнения служит раствор контрольного опыта, содержащий все применяемые реактивы.
8.4 Обработка результатов
8.4.1 Массовую долю оксида хрома (III)
, %, вычисляют по формуле
,
(9)
где D - оптическая плотность раствора анализируемого образца, Б;
K - константа метода, рассчитанная по 8.2.1, мг/Б;
V - общий объем исходного раствора, см3;
m - масса аналитической пробы, г;
V1 - объем аликвотной части раствора, см3;
1000 - коэффициент перевода размерности массы.
8.5 Нормы точности и нормативы контроля точности определений массовой доли оксида хрома (III) приведены в разделе 9.
9.1 Проверка приемлемости
Проверяют приемлемость результатов определений массовой доли оксида хрома (III). Результат проверки считают удовлетворительным, если выполняется условие:
,
(10)
где
,
- значения массовой доли оксида хрома (III), полученные в условиях повторяемости, %;
r - предел повторяемости (см. таблицу 3).
За результат определений массовой доли оксида хрома (III) принимают среднеарифметическое значение
, полученное по двум последовательным определениям, удовлетворяющим требованию приемлемости.
Если условие (10) не выполнено, проводят два дополнительных определения и проверяют приемлемость вновь полученных результатов.
Если результаты дополнительных определений не удовлетворяют требованиям приемлемости, то за результат определений принимают среднеарифметическое значение четырех полученных значений при условии, что ряд последовательно полученных значений не возрастает или не убывает монотонно.
Примечание - Допускается проводить проверку приемлемости результатов в соответствии с документами, действующими на территории государства, применяющего стандарт*.
──────────────────────────────
* В Российской Федерации необходимо использовать ГОСТ Р ИСО 5725-6-2002 "Точность (правильность и прецизионность) методов и результатов измерений. Часть 6. Использование значений точности на практике".
9.2 В документе о качестве результат определения массовой доли оксида хрома (III) приводят в сокращенном формате без указания расширенной неопределенности.
По требованию заказчика результат определения массовой доли оксида хрома (III) может быть приведен в полном формате:
,
(11)
где U(
) - расширенная неопределенность при коэффициенте охвата k = 2.
Результат округляют до того же десятичного знака, которым заканчивается округленное значение расширенной неопределенности U(
).
Примеры
1
= (0, 70 ± 0, 06)%.
2
= (10, 1 ± 0, 3)%.
9.3 Контроль внутрилабораторной прецизионности
Рассчитывают расхождение результатов определений массовой доли оксида хрома (III), полученное в условиях прецизионности. При этом расхождение между двумя средними результатами определений не должно превышать норматив контроля Rл (таблица 3).
,
(12)
где
,
- первое и второе значения массовой доли оксида хрома (III), %.
При превышении норматива измерения повторяют. При повторном превышении выясняют причины, приводящие к неудовлетворительным результатам, и устраняют их.
9.4 Оперативный контроль точности
Контроль процедуры выполнения определений (контроль точности результатов измерений) проводят не реже одного раза в смену или одновременно с каждой партией рабочих проб. Для контроля точности результатов измерений применяют государственные стандартные образцы, стандартные образцы предприятия или смеси, аттестованные в установленном порядке. Если отклонение результата определения массовой доли оксида хрома (III) в образце для контроля
от аттестованного (расчетного) значения Асо не превышает норматива контроля KТ (таблица 3)
,
(13)
результаты контрольной процедуры признают удовлетворительными. При невыполнении условия (13) определение повторяют. При повторном невыполнении условия (13) определения прекращают до выявления и устранения причин, приводящих к неудовлетворительным результатам.
Таблица 3
В процентах
|
Массовая доля оксида хрома (III) |
Нормы точности и нормативы контроля точности | |||
|
U(w) |
Rл |
r |
KТ | |
|
От 0, 1 до 0, 2 включ. |
0, 03 |
0, 04 |
0, 03 |
0, 02 |
|
Св. 0, 2 до 0, 5 включ. |
0, 04 |
0, 05 |
0, 04 |
0, 03 |
|
Св. 0, 5 до 1, 0 включ. |
0, 06 |
0, 08 |
0, 06 |
0, 04 |
|
Св. 1, 0 до 2, 0 включ. |
0, 08 |
0, 11 |
0, 09 |
0, 06 |
|
Св. 2, 0 до 5, 0 включ. |
0, 13 |
0, 17 |
0, 14 |
0, 09 |
|
Св. 5, 0 до 10, 0 включ. |
0, 19 |
0, 24 |
0, 20 |
0, 12 |
|
Св. 10 до 20 включ. |
0, 3 |
0, 4 |
0, 3 |
0, 2 |
|
Св. 20 до 50 включ. |
0, 4 |
0, 5 |
0, 4 |
0, 3 |
|
Св. 50 до 65 включ. |
0, 6 |
0, 7 |
0, 6 |
0, 4 |
Результаты определений записывают в протокол, в котором указывают:
- обозначение настоящего стандарта;
- наименование организации, проводившей испытание;
- обозначение испытуемого огнеупора или огнеупорного сырья, марку, номер партии;
- наименование предприятия-изготовителя;
- дату проведения испытания;
- метод определения оксида хрома (III);
- значение результата определения оксида хрома (III);
- должность, фамилию, имя, отчество исполнителя;
- подпись исполнителя.
Примечание - Допускается проводить оформление результатов измерений в соответствии с ГОСТ ИСО/МЭК 17025 либо с правилами, действующими на конкретном предприятии.


