Введен в действие приказом Федерального агентства по техническому регулированию и метрологии от 27 сентября 2018 г. N 659-ст
Межгосударственный стандарт ГОСТ 2642.11-2018
"ОГНЕУПОРЫ И ОГНЕУПОРНОЕ СЫРЬЕ. МЕТОД ОПРЕДЕЛЕНИЯ ОКСИДОВ КАЛИЯ И НАТРИЯ"
Refractories and refractory raw materials. Method for determination of potassium and sodium oxides
МКС 81.080
Дата введения - 1 февраля 2019 г.
Взамен ГОСТ 2642.11-97
Предисловие
Цели, основные принципы и основной порядок проведения работ по межгосударственной стандартизации установлены в ГОСТ 1.0-2015 "Межгосударственная система стандартизации. Основные положения" и ГОСТ 1.2-2015 "Межгосударственная система стандартизации. Стандарты межгосударственные, правила и рекомендации по межгосударственной стандартизации. Правила разработки, принятия, обновления и отмены"
Сведения о стандарте
1 Разработан Обществом с ограниченной ответственностью "Научно-технический центр "Огнеупоры" (ООО "НТЦ "Огнеупоры")
2 Внесен Федеральным агентством по техническому регулированию и метрологии
3 Принят Межгосударственным советом по стандартизации, метрологии и сертификации (протокол от 30 мая 2018 г. N 109-П)
За принятие проголосовали:
|
Краткое наименование страны по МК (ИСО 3166) 004-97
|
Код страны по МК (ИСО 3166) 004-97
|
Сокращенное наименование национального органа по стандартизации
|
|
Армения
|
AM
|
Минэкономики Республики Армения
|
|
Беларусь
|
BY
|
Госстандарт Республики Беларусь
|
|
Казахстан
|
KZ
|
Госстандарт Республики Казахстан
|
|
Киргизия
|
KG
|
Кыргызстандарт
|
|
Россия
|
RU
|
Росстандарт
|
|
Узбекистан
|
UZ
|
Узстандарт
|
4 Приказом Федерального агентства по техническому регулированию и метрологии от 27 сентября 2018 г. N 659-ст межгосударственный стандарт ГОСТ 2642.11-2018 введен в действие в качестве национального стандарта Российской Федерации с 1 февраля 2019 г.
5 Взамен ГОСТ 2642.11-97
1 Область применения
Настоящий стандарт распространяется на кремнеземистые, алюмосиликатные, глиноземистые, глиноземоизвестковые, магнезиальные, магнезиально-известковые огнеупоры и огнеупорное сырье и устанавливает пламенно-спектрометрический метод количественного определения оксидов калия и натрия при их массовой доле от 0, 1 % до 5 %.
2 Нормативные ссылки
В настоящем стандарте использованы нормативные ссылки на следующие межгосударственные стандарты:
ГОСТ 12.4.253-2013 (EN 166:2002) Система стандартов безопасности труда. Средства индивидуальной защиты глаз. Общие технические требования
ГОСТ OIML R 76-1-2011 Государственная система обеспечения единства измерений. Весы неавтоматического действия. Часть 1. Метрологические и технические требования. Испытания
ГОСТ 1770-74 (ИСО 1042-83, ИСО 4788-80) Посуда мерная лабораторная стеклянная. Цилиндры, мензурки, колбы, пробирки. Общие технические условия
ГОСТ 2642.0-2014 Огнеупоры и огнеупорное сырье. Общие требования к методам анализа
ГОСТ 3118-77 Реактивы. Кислота соляная. Технические условия
ГОСТ 4145-74 Реактивы. Калий сернокислый. Технические условия
ГОСТ 4166-76 Реактивы. Натрий сернокислый. Технические условия
ГОСТ 4204-77 Реактивы. Кислота серная. Технические условия
ГОСТ 4233-77 Реактивы. Натрий хлористый. Технические условия
ГОСТ 4234-77 Реактивы. Калий хлористый. Технические условия
ГОСТ 6563-2016 Изделия технические из благородных металлов и сплавов. Технические условия
ГОСТ 6709-72 Вода дистиллированная Технические условия
ГОСТ 10484-78 Реактивы. Кислота фтористоводородная. Технические условия
ГОСТ ИСО/МЭК 17025-2009 Общие требования к компетентности испытательных и калибровочных лабораторий
ГОСТ 24104-2001 Весы лабораторные. Общие технические требования*
──────────────────────────────
* В Российской Федерации действует ГОСТ Р 53228-2008 "Весы неавтоматического действия. Часть 1. Метрологические и технические требования. Испытания".
ГОСТ 25336-82 Посуда и оборудование лабораторные стеклянные. Типы, основные параметры и размеры
Примечание - При пользовании настоящим стандартом целесообразно проверить действие ссылочных стандартов в информационной системе общего пользования - на официальном сайте Федерального агентства по техническому регулированию и метрологии в сети Интернет или по ежегодному информационному указателю "Национальные стандарты", который опубликован по состоянию на 1 января текущего года, и по выпускам ежемесячного информационного указателя "Национальные стандарты" за текущий год. Если ссылочный стандарт заменен (изменен), то при пользовании настоящим стандартом следует руководствоваться заменяющим (измененным) стандартом. Если ссылочный стандарт отменен без замены, то положение, в котором дана ссылка на него, применяется в части, не затрагивающей эту ссылку.
3 Общие требования
3.1 Общие требования к методам анализа - по ГОСТ 2642.0.
4 Требования безопасности
4.1 Требования безопасности - по ГОСТ 2642.0 с дополнением по 4.1.1.
4.1.1 При проведении испытания следует применять индивидуальные средства защиты глаз по ГОСТ 12.4.253.
5 Пламенно-спектрометрический метод определения оксидов калия и натрия
5.1 Сущность метода
Метод основан на измерении интенсивности характерного излучения возбужденных в пламени пропан - бутан - воздух, ацетилен - воздух или природный газ - воздух атомов калия при длине волны 766, 5 нм и атомов натрия при длине волны 589, 0 нм.
Взаимное влияние щелочных элементов устраняется введением в раствор соли цезия.
5.2 Аппаратура, реактивы, растворы и вспомогательные устройства
Печь муфельная с терморегулятором, обеспечивающая поддержание температуры нагрева 950 °С - 1000 °С с пределами допустимого отклонения ± 50 °С.
Шкаф сушильный, обеспечивающий поддержание заданной температуры 110 °С с пределами допустимого отклонения ± 5 °С.
Электроплитка закрытого типа по технической документации.
Фотометр пламенный или спектрофотометр атомно-абсорбционный с источником излучения (полым катодом) для натрия и калия.
Весы по ГОСТ 24104 или ГОСТ OIML R 76-1, класс точности II.
Посуда мерная стеклянная по ГОСТ 1770.
Посуда лабораторная стеклянная по ГОСТ 25336.
Чашки платиновые по ГОСТ 6563 или чашки из стеклоуглерода по технической документации.
Вода дистиллированная по ГОСТ 6709.
Кислота серная по ГОСТ 4204, разбавленная 1:1.
Кислота соляная по ГОСТ 3118, разбавленная 1:1.
Кислота фтористоводородная по ГОСТ 10484.
Натрий сернокислый безводный по ГОСТ 4166.
Натрий хлористый по ГОСТ 4233.
Калий сернокислый по ГОСТ 4145.
Калий хлористый по ГОСТ 4234.
Цезий хлористый по технической документации или другие соли цезия, раствор с массовой долей цезия 1, 5 %.
Фильтр обеззоленный "синяя лента" по технической документации.
5.2.1 Приготовление стандартных растворов
Стандартный раствор с массовой концентрацией оксида калия 0, 001 г/см3 (раствор А): 1, 583 г хлористого калия, предварительно прокаленного при температуре 500 °С до постоянной массы, растворяют в дистиллированной воде, переносят в мерную колбу вместимостью 1000 см3, доводят объем раствора дистиллированной водой до метки и перемешивают.
Допускается для приготовления раствора А использовать 1, 8499 г сернокислого калия, предварительно высушенного при температуре 100 °С до постоянной массы.
Стандартный раствор с массовой концентрацией оксида натрия 0, 001 г/см3 (раствор Б): 1, 886 г хлористого натрия, предварительно прокаленного при температуре 500 °С до постоянной массы, растворяют в дистиллированной воде, переносят в мерную колбу вместимостью 1000 см3, доводят объем раствора дистиллированной водой до метки и перемешивают.
Допускается для приготовления раствора Б использовать 2, 2918 г сернокислого натрия, предварительно высушенного при температуре 100 °С до постоянной массы.
Градуировочный раствор с массовой концентрацией оксида калия (натрия) 0, 0001 г/см3 (раствор В): в мерную колбу вместимостью 250 см3 отмеряют 25 см3 раствора А и 25 см3 раствора Б, доводят объем раствора дистиллированной водой до метки и перемешивают.
5.2.2 Построение градуировочных графиков
В мерные колбы вместимостью 100 см3 каждая отбирают аликвотные части градуировочного раствора В: 1, 0; 2, 5; 5, 0; 7, 5; 10, 0; 12, 5; 15, 0 см3, что соответствует 0, 0001; 0, 00025; 0, 0005; 0, 00075; 0, 001; 0, 00125; 0, 0015 г оксида калия (натрия). В каждую колбу добавляют 5 см3 раствора соляной кислоты, разбавленной 1:1, 4 см3 раствора соли цезия с массовой долей цезия 1, 5 %, доводят объемы растворов дистиллированной водой до метки и перемешивают.
Приготовленные растворы вводят в пламя измерительного прибора в порядке увеличения в них концентрации определяемого элемента и для каждого раствора последовательно измеряют интенсивность излучения элементов: калия - при длине волны 766, 5 нм и натрия - при длине волны 589, 0 нм.
Процесс фотометрирования для каждого раствора проводят дважды и далее используют среднеарифметическое значение интенсивности излучения двух определений. При смене измеряемого раствора для промывания системы распыления и проверки нуля прибора распыляют дистиллированную воду.
Для внесения в результат анализа поправки на содержание оксидов калия и натрия в используемых реактивах через все стадии анализа проводят контрольный опыт без добавления градуировочного раствора оксидов калия и натрия.
Градуировочный график строят по вычисленным значениям интенсивности излучения растворов за вычетом интенсивности излучения раствора контрольного опыта и соответствующим им массам оксидов калия или натрия.
5.2.2.1 Градуировочную характеристику представляют в виде линейного уравнения или графика.
Градуировочная характеристика в виде линейного уравнения
На основе полученных данных строят градуировочную характеристику по уравнению
D̅=A+B·m,
(1)
где D̅ - среднее значение результатов двух измерений интенсивности излучения градуировочного раствора, Б;
m - масса оксида натрия (калия), г;
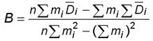
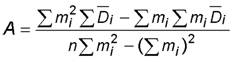
А и В - коэффициенты, определяемые методом наименьших квадратов по формулам:
;
(2)
,
(3)
где D̅i - интенсивности излучения i-го градуировочного раствора (среднеарифметическое значение по двум измерениям), Б;
mi - масса оксида калия (натрия) в i-м градуировочном растворе, г;
i - номер градуировочного раствора;
n - количество градуировочных растворов.
Градуировочная характеристика в виде графика
На основании полученных данных строят градуировочный график в координатах: интенсивность излучения (Di) - масса оксида калия (натрия) (mi), указывают масштаб графика.
5.2.3 Проверка приемлемости градуировочной характеристики
Градуировочная характеристика считается приемлемой, если для каждого стандартного раствора отклонение среднего значения интенсивности излучения от градуировочной характеристики не превышает 5 %.
5.3 Проверка приемлемости аналитических сигналов фотометра или спектрофотометра
При построении градуировочного графика, периодическом контроле стабильности градуировочной характеристики, а также при выполнении анализов выполняют проверку приемлемости аналитических сигналов фотометра или спектрофотометра, полученных в условиях повторяемости.
Результат проверки признается приемлемым при выполнении условия
,
(4)
где Di1 и Di2 - значения интенсивности излучения, полученные для i-го градуировочного раствора при двух измерениях, Б;
D̅i - среднее значение результатов двух измерений интенсивности излучения i-го градуировочного раствора, Б;
Kф - норматив (допускаемое расхождение результатов измерений интенсивности излучения раствора), при доверительной вероятности 0, 95, %;
Kф = 5 %.
5.4 Проведение анализа
5.4.1 Аналитическую пробу массой 0, 2 г (при массовой доле оксида калия или оксида натрия не более 0, 5 %) и 0, 1 г (при массовой доле оксида калия или оксида натрия 0, 5 % и свыше) помещают в платиновую чашку или в чашку из стеклоуглерода, смачивают дистиллированной водой, прибавляют 3 см3 раствора серной кислоты, разбавленной 1:1, 10-15 см3 фтористоводородной кислоты и выпаривают на закрытой электроплитке при периодическом помешивании до влажных солей, прибавляют 5 см3 фтористоводородной кислоты и выпаривают до прекращения выделения паров серного ангидрида.
Сухой остаток растворяют при нагревании в 5 см3 раствора соляной кислоты, разбавленной 1:1, прибавляют 25-30 см3 горячей дистиллированной воды и нагревают до полного растворения основной массы солей.
Охлажденный раствор переносят в мерную колбу вместимостью 100 см3, прибавляют 4 см3 раствора соли цезия с массовой долей цезия 1, 5 %, объем раствора доводят дистиллированной водой до метки и перемешивают.
В случае появления мути полученный раствор отфильтровывают через фильтр "синяя лента", отбрасывая первые две порции фильтрата.
5.4.2 Полученный анализируемый раствор распыляют в пламя измерительного прибора и измеряют интенсивность излучения элементов: калия - при длине волны 766, 5 нм и натрия - при длине волны 589, 0 нм.
В случае если массовая доля оксида калия и оксида натрия от 1, 5 % до 3 % включительно, то для анализа используют аликвотную часть раствора 25 см3, которую помещают в мерную колбу вместимостью 50 см3, доводят до метки дистиллированной водой, перемешивают и проводят фотометрирование.
В случае если массовая доля оксида калия и оксида натрия свыше 3 %, то аликвотную часть раствора 25 см3 помещают в мерную колбу вместимостью 100 см3, доводят до метки дистиллированной водой, перемешивают и проводят фотометрирование.
Для каждого раствора процесс фотометрирования проводят дважды и далее используют среднеарифметическое значение интенсивности излучения двух определений. При смене растворов систему распыления промывают дистиллированной водой.
Для внесения в результат анализа поправки на содержание оксидов калия и натрия в используемых реактивах через все стадии анализа проводят контрольный опыт.
Массу оксидов калия и натрия в граммах определяют по градуировочному графику.
Допускается проводить определение оксидов калия и натрия по методу ограничивающих растворов.
5.5 Обработка результатов
5.5.1 Массовую долю оксида калия (натрия)
, %, вычисляют по формуле
,
(5)
где m - масса оксидов калия или натрия, определенная по градуировочному графику, г;
V1 - исходный объем раствора, см3;
V - объем аликвотной части раствора, см3;
m1 - масса аналитической пробы, г.
5.5.2 Нормы точности и нормативы контроля точности определений массовой доли оксида калия (натрия) приведены в разделе 6 (таблица 1).
6 Обработка результатов определений
6.1 Проверка приемлемости
Проверяют приемлемость результатов определений массовой доли оксида калия (натрия). Результат проверки считают удовлетворительным, если выполняется условие
,
(6)
где
,
- значения массовой доли оксидов калия и натрия, полученные в условиях повторяемости опыта, %;
r - предел повторяемости (см. таблицу 1).
За результат определений массовой доли оксида калия (натрия) принимают среднеарифметическое значение
, полученное по двум последовательным определениям, удовлетворяющим требованию приемлемости.
Если условие (6) не выполнено, проводят два дополнительных определения и проверяют приемлемость вновь полученных результатов.
Если результаты дополнительных определений не удовлетворяют требованиям приемлемости, то за результат определений принимают среднеарифметическое значение четырех полученных значений при условии, что ряд последовательно полученных значений не возрастает или не убывает монотонно.
Примечание - Допускается проводить проверку приемлемости результатов в соответствии с документами, действующими на территории государства, применяющего стандарт*.
──────────────────────────────
* В Российской Федерации действует ГОСТ Р ИСО 5725-6-2002 "Точность (правильность и прецизионность) методов и результатов измерений. Часть 6. Использование значений точности на практике".
6.2 В документе о качестве результат определения массовой доли оксидов калия и натрия приводят в сокращенном формате без указания расширенной неопределенности.
По требованию заказчика результат определения массовой доли оксидов калия и натрия может быть приведен в полном формате
,
(7)
где U(
) - расширенная неопределенность при коэффициенте охвата k = 2.
Результат округляют до того же десятичного знака, которым заканчивается округленное значение расширенной неопределенности U(
).
Примеры
1
= (0, 103 ± 0, 021)%.
2
= (10, 1 ± 1, 3)%.
6.3 Контроль внутрилабораторной прецизионности
Рассчитывают расхождение результатов определений массовой доли оксида калия (натрия), полученных в условиях прецизионности. При этом расхождение между двумя средними результатами определений не должно превышать норматив контроля Rл (см. таблицу 1).
,
(8)
где
,
- первое и второе значения массовой доли оксидов калия и натрия, %.
При превышении норматива измерения повторяют. При повторном превышении выясняют причины, приводящие к неудовлетворительным результатам, и устраняют их.
6.4 Оперативный контроль точности
Контроль выполнения процедуры определений (контроль точности результатов измерений) проводят не реже одного раза в смену или одновременно с каждой партией рабочих проб. Для контроля точности результатов измерений применяют государственные стандартные образцы, стандартные образцы предприятия или смеси, аттестованные в установленном порядке. Если отклонение результата определения массовой доли оксида калия (натрия) в образце для контроля
от аттестованного (расчетного) значения Асо не превышает норматива контроля ЛТ (см. таблицу 1)
,
(9)
результаты контрольной процедуры признают удовлетворительными. При невыполнении условия (9) определение повторяют. При повторном невыполнении условия (9) определения прекращают до выявления и устранения причин, приводящих к неудовлетворительным результатам.
Таблица 1
В процентах
|
Массовая доля оксида калия (натрия)
|
Нормы точности и нормативы контроля точности
|
|
U(W)
|
Rл
|
r
|
KТ
|
|
От 0, 1 до 0, 2 включ.
|
0, 04
|
0, 05
|
0, 04
|
0, 03
|
|
Св. 0, 2 до 0, 5 включ.
|
0, 06
|
0, 07
|
0, 06
|
0, 04
|
|
Св. 0, 5 до 1 включ.
|
0, 08
|
0, 11
|
0, 09
|
0, 05
|
|
Св. 1 до 2 включ.
|
0, 12
|
0, 15
|
0, 12
|
0, 08
|
|
Св. 2 до 5 включ.
|
0, 20
|
0, 25
|
0, 20
|
0, 15
|
7 Протокол испытания
Результаты определений записывают в протокол, в котором указывают:
- обозначение настоящего стандарта;
- наименование организации, проводившей испытание;
- обозначение испытуемого огнеупора или огнеупорного сырья, марку, номер партии;
- наименование предприятия-изготовителя;
- дату проведения испытания;
- метод определения оксида калия (натрия);
- значение результата определения оксида калия (натрия);
- должность, фамилию, имя, отчество исполнителя;
- подпись исполнителя.
Примечание - Допускается проводить оформление результатов измерений в соответствии с ГОСТ ИСО/МЭК 17025 либо с правилами, действующими на конкретном предприятии.