ГОСТ 21948-76* ХМЕЛЬ-СЫРЕЦ И ХМЕЛЬ ПРЕССОВАННЫЙ. МЕТОДЫ ИСПЫТАНИЙ
Raw and pressed hop. Test methods
Настоящий стандарт распространяется на хмель-сырец и хмель прессованный и устанавливает методы отбора проб и методы определения качества хмеля.
1.1. Отбор разовых проб
1.1.1. Мешки с хмелем-сырцом распарывают по шву в трех местах и берут рукой на различной глубине разовые пробы.
Каждый балот с прессованным хмелем, попавший в выборку, распарывают по шву в двух местах. Затем ножом вырезают точечные пробы в виде квадрата и вынимают их щипцами. Масса точечной пробы должна быть не менее 50 г.
1.1.2. Из разовых проб, при осторожном их перемешивании, составляют объединенную пробу. Масса объединенной пробы должна быть не менее 1 кг.
1.1.3. Среднюю пробу выделяют из общей пробы методом квартования. Для этого хмель раскладывают на равной поверхности в виде квадрата. При помощи линейки квадрат делят на четыре треугольника. Из двух противоположных треугольников хмель собирают вместе для последующего деления до тех пор, пока в двух противоположных треугольниках не останется около 250 г хмеля.
1.1.4. Среднюю пробу упаковывают в полиэтиленовый мешок, завязывают шнуром и снабжают этикеткой с указанием:
наименования и адреса поставщика;
номера и массы партии;
даты взятия пробы.
Пробу передают в лабораторию для анализа в течение суток.
Анализ хмеля должен быть проведен в течение двух дней со дня получения для хмеля-сырца и в течение десяти дней - для прессованного хмеля.
1.1.5. Средние пробы хранят в сухих, неотапливаемых, темных помещениях.
1.1.6. При разногласиях в оценке качества хмеля отбор проб производят по методике, приведенной в пп. 1.1.1 и 1.1.3, но масса общей пробы в этом случае должна быть не менее 3 кг. Методом квартования из общей пробы выделяют 750 г хмеля, который упаковывают в три полиэтиленовых мешка по 250 г.
Средние пробы опечатывают и снабжают этикетками с указанием:
наименования и адреса поставщика;
наименования и адреса получателя;
типа упаковки;
даты взятия пробы;
номера и массы партии.
Одну пробу в течение суток отправляют для анализов в нейтральную лабораторию, вторую передают представителю поставщика, а третью оставляют у представителя получателя.
Определение посторонних (нехмелевых) примесей при повторном контроле проводят в местах приемки хмеля.
Анализ хмеля должен быть проведен в течение пяти дней со дня получения для хмеля-сырца и в течение десяти дней - для прессованного хмеля.
2.1. Определение цвета
2.1.1. Цвет шишек определяют визуально при хорошем дневном освещении, поместив их на лист синей бумаги.
2.2. Определение запаха
2.2.1. Запах хмеля определяют органолептически. Из средней пробы берут горсть шишек и определяют специфический хмелевой запах. Для усиления запаха шишкой хмеля натирают тыльную сторону ладони или шишку разрывают на две половинки и трут их друг о друга. В горсти шишек определяют наличие посторонних запахов - дымного, плесневелого, сырного и валерианового.
2.3. Определение плесени
2.3.1. Аппаратура
Для проведения испытания применяют бинокулярный микроскоп с увеличением 8-10х.
2.3.2. Проведение испытания
От средней пробы отбирают подряд 50 целых шишек хмеля и разрывают их на две половинки по стерженьку. Наличие или отсутствие плесени устанавливают при помощи бинокулярного микроскопа с увеличением 8-10х.
2.4. Определение массовой доли хмелевых примесей, осыпавшихся лепестков и семянности
2.4.1. Аппаратура и материалы
Для проведения испытания применяют:
весы лабораторные по ГОСТ 24104-88;
пинцет.
2.4.2. Определение массовой доли хмелевых примесей
2.4.2.1. Проведение испытания
Навеску хмеля массой 50 г высыпают на лист бумаги и пинцетом отбирают свободные стебли, черешки и листья. Полностью до основания шишек удаляют черешки. Навеску и примеси взвешивают до сотых долей грамма.
2.4.2.2. Обработка результатов
Массовую долю хмелевых примесей (X) в процентах вычисляют по формуле
X=(m-1, 5)·2,
где m - масса примеси, г;
1, 5 - поправка на массу черешков длиной до 2 см.
Вычисление производят до десятых долей процента.
Расхождения между результатами двух параллельных определений и между результатами определений, проведенных в двух лабораториях, не должны превышать 0, 5 %.
2.4.3. Определение массовой доли осыпавшихся лепестков
2.4.3.1. Проведение испытания
Навеску хмеля массой 50 г высыпают на лист бумаги и пинцетом выбирают свободно осыпавшиеся лепестки. Навеску и осыпавшиеся лепестки взвешивают до десятых долей грамма.
2.4.3.2. Обработка результатов
Массовую долю осыпавшихся лепестков (Х1) в процентах вычисляют по формуле
X1=2m,
где m - масса осыпавшихся лепестков, г.
Расхождения между результатами двух параллельных определений и между результатами определений, проведенных в двух лабораториях, не должны превышать 1, 0 %.
2.4.4. Определение семянности
2.4.4.1. Проведение испытания
Из средней пробы берут навеску массой 25 г, от навески отбирают целые шишки и взвешивают их. Затем каждую шишку осторожно разламывают и выбирают из нее семена. Семена очищают от оболочек, перетирая их между пальцами, и взвешивают.
Все взвешивания производят до сотых долей грамма.
2.4.4.2. Обработка результатов
Массовую долю семян хмеля (Х2) в процентах вычисляют по формуле
где m - масса семян, г;
m1 - масса целых шишек, из которых отобраны семена, г.
Вычисление производят до десятых долей процента.
Расхождения между результатами двух параллельных определений и между результатами определений, проведенных в двух лабораториях, не должны превышать 0, 5 %.
2.5. Определение массовой доли влаги
2.5.1. Аппаратура, материалы и реактивы
Для проведения испытания применяют:
шкаф сушильный лабораторный;
весы аналитические по ГОСТ 24104-88;
электромельницу;
эксикатор по ГОСТ 25336-82;
бюксы по ГОСТ 25336-82;
щипцы тигельные;
вазелин технический;
кальций хлористый плавленый.
2.5.2. Подготовка к испытанию
Шишки хмеля измельчают электромельницей до размера частиц не менее 3 мм (3-7 мм) в поперечнике, берут две навески массой по 3 г каждая, взвешенные с погрешностью не более 0, 0002 г. Каждую навеску помещают в предварительно взвешенные вместе с крышками и пронумерованные бюксы.
2.5.3. Проведение испытания
В сушильный шкаф, нагретый до 100-105 °С, быстро помещают подготовленные бюксы с навесками вместе со снятыми крышками. Температура в шкафу в зоне размещения бюкс должна поддерживаться постоянной и устанавливаться по термометру, термобаллончик которого располагают на одном уровне с высушиваемым в бюксах хмелем. В многополочных шкафах бюксы с хмелем помещают только в средней части шкафа на одной полке. Высушивание ведут в течение 3 ч. Время, в течение которого сырье должно сушиться, отсчитывают с момента, когда температура в шкафу с помещенными туда бюксами достигнет 100-105 °С. Затем бюксы вновь накрывают крышками, 30 мин охлаждают в эксикаторе и взвешивают.
Для каждой партии хмеля, проводят два параллельных определения.
2.5.4. Обработка результатов
Массовую долю влаги (W) в процентах вычисляют по формуле
где m - масса бюксы с навеской хмеля до высушивания, г;
m1 - масса бюксы с навеской после высушивания, г;
m2 - масса пустой бюксы, г.
За окончательный результат испытания принимают среднее арифметическое результатов двух параллельных определений.
Вычисление производят до 0, 01 % с последующим округлением до 0, 1 %.
Расхождение между результатами двух параллельных определений не должно превышать 0, 3 %, а расхождение между результатами определений, проведенных в двух лабораториях, - 0, 5 %.
2.6. Определение массовой доли золы
2.6.1. Аппаратура
Для проведения испытания применяют:
печь муфельную;
весы аналитические по ГОСТ 24104-88;
тигли фарфоровые по ГОСТ 9147-80;
эксикатор по ГОСТ 25336-82;
электромельницу.
2.6.2. Подготовка к испытанию
Хмель измельчают. Две навески хмеля массой по 3 г каждая взвешивают на аналитических весах с погрешностью не более 0, 0002 г. и помещают в предварительно прокаленные до постоянной массы и взвешенные тигли.
2.6.3. Проведение испытания
Навески в тиглях сжигают в муфельной печи. Прокаливание ведут до тех пор, пока цвет золы не станет белым или слегка сероватым.
После охлаждения в эксикаторе тигли взвешивают, затем вторично прокаливают в течение 20 мин. Если масса тиглей не изменится, озоление считают законченным. Если масса после повторного прокаливания уменьшится более чем на 0, 0002 г, то прокаливание повторяют. Для каждой партии хмеля проводят два параллельных определения.
2.6.4. Обработка результатов
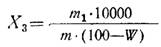
Массовую долю золы (Xз) в процентах в пересчете на абсолютно сухое вещество вычисляют по формуле
где m - масса навески хмеля, г;
m1 - масса золы, г;
W - влажность хмеля, %.
За окончательный результат испытания принимают среднее арифметическое результатов двух параллельных определений.
Вычисление производят до 0, 01 % с последующим округлением до 0, 1 %.
Расхождение между результатами двух параллельных определений не должно превышать 0, 5 %, а между результатами определений, проведенных в двух лабораториях, - 1, 0 %.
2.7. Определение массовой доли альфа-кислот
Определение массовой доли альфа-кислот проводят кондуктометрическим методом путем измерения силы тока, проходящего через экстракт горьких веществ в процессе титрования его уксуснокислым свинцом.
2.7.1. Аппаратура, материалы и реактивы
Для проведения испытания применяют:
кондуктометр для определения альфа-кислот;
мешалку магнитного типа ЗМА;
микроизмельчитель тканей типа РТ-2;
электромельницу;
автотрансформатор лабораторный ЛАТР;
весы аналитические по ГОСТ 24104-88;
весы лабораторные по ГОСТ 24104-88;
шкаф сушильный лабораторный;
колбы конические (вместимостью 50-100 см3 с притертой пробкой по ГОСТ 25336-82;
пипетки вместимостью 10 см3 по ГОСТ 20292-74;
микробюретки вместимостью 5 см3 по ГОСТ 20292-74;
стаканы стеклянные вместимостью 100 см3 по ГОСТ 25336-82;
колбы экстракционные;
воронки стеклянные по ГОСТ 25336-82;
аспиратор;
пестик фарфоровый;
бумагу фильтровальную по ГОСТ 12026-76;
петролейный эфир, ч.д.а.;
глицерин по ГОСТ 6259-75;
свинец уксуснокислый кристаллический по ГОСТ 1027-67, ч.д.а.;
спирт этиловый по ГОСТ 18300-87;
н-гексан.
(Измененная редакция, Изм. N 2).
2.7.2. Подготовка к испытанию
2.7.2.1. Для приготовления 5 %-ного спиртового раствора глицерина 5 см3 глицерина растворяют в 95 см3 этилового спирта.
2.7.2.2. Для приготовления 4 %-ного раствора уксуснокислого свинца 4 г уксуснокислого свинца Pb(CH3COOH)2·3H2O отвешивают на аналитических весах и растворяют в 25 %-ном спиртовом растворе глицерина (75 см3 этилового спирта + 25 см3 глицерина).
После приготовления 4 %-ного раствора уксуснокислого свинца определяют титр раствора. Для этого при помощи аспиратора отбирают пипеткой 5 см3 0, 1 н. раствора серной кислоты, переносят в химический стакан вместимостью 100 см3 и приливают 45 см3 5 %-ного раствора глицерина. В стакан опускают якорь магнитной мешалки. Стакан вставляют в гнездо магнитной мешалки, на штативе которой закрепляют микробюретку с 4 %-ным раствором уксуснокислого свинца в 25 %-ном спиртовом растворе глицерина и датчик кондуктометра. В стакан с титруемой жидкостью опускают кондуктометрическую ячейку и определяют начальную точку. Затем раствор уксуснокислого свинца приливают по 0, 3 см3, постоянно размешивая, и после каждой порции определяют на кондуктометре значение силы тока, проходящего через раствор. Как только сила тока начнет увеличиваться, приливают еще 4-5 порций раствора уксуснокислого свинца. Результаты титрования записывают в специальном журнале.
Из полученных значений силы тока строят график титрования (см. чертеж). По оси абсцисс откладывают количество уксуснокислого свинца, израсходованное на титрование, в кубических сантиметрах, а по оси ординат - силу тока, проходящего через раствор. Точки соединяют прямыми линиями, из пересечения которых на ось абсцисс опускают перпендикуляр и находят точку эквивалентности "V", соответствующую количеству уксуснокислого свинца, израсходованного на титрование.
График титрования
Титр уксуснокислого свинца (Т) вычисляют по формуле
где V - количество 4 %-ного раствора уксуснокислого свинца, израсходованного на титрование 5 см3 0, 1 н. раствора серной кислоты, см3.
2.7.3. Проведение испытания
Пробу хмеля, предназначенную для определения альфа-кислоты, необходимо размолоть на электромельнице.
Взвешивают 7, 5 г предварительно размолотого хмеля с погрешностью не более 0, 01 г. Навеску переносят в экстракционную колбу, приливают 50 см3 смеси этилового спирта и н-гексана в соотношении 1:9 и экстрагируют в течение 5 мин в микроизмельчителе. Содержимое экстракционной колбы переносят на складчатый фильтр и отфильтровывают, в коническую колбу вместимостью 100 см3, остаток экстракта выдавливают фарфоровым пестиком.
Допускается использование петролейного эфира (фракция 70 - 100) взамен н-гексана до 01.07.89.
С помощью аспиратора отбирают пипеткой 10 см3 экстракта, переносят в химический стакан вместимостью 100 см3 и приливают 40 см3 5 %-ного раствора глицерина. В стакан опускают якорь магнитной мешалки. Стакан вставляют в гнездо магнитной мешалки, на штативе которой закрепляют микробюретку с раствором уксуснокислого свинца и датчик кондуктометра. В стакан с титруемой жидкостью опускают кондуктометрическую ячейку и определяют начальную точку. Начинают титровать: раствор уксуснокислого свинца приливают по 0, 1-0, 2 см3, постоянно размешивая, и после каждой порции определяют на кондуктометре значение силы тока, проходящего через раствор. Как только сила тока начнет значительно увеличиваться, приливают еще 4-5 порций уксуснокислого свинца. Результаты титрования записывают в специальном журнале.
Из полученных значений силы тока строят график титрования в соответствии с п. 2.7.2, 2, по которому определяют количество уксуснокислого свинца, израсходованного на титрование альфа-кислот, в кубических сантиметрах.
Для каждой партии хмеля проводят два параллельных определения в экстракте, полученном из одной навески.
2.7.4. Обработка результатов
Массовую долю альфа-кислот (Х4) в процентах в пересчете на абсолютно сухое вещество вычисляют по формуле
где V - количество 4 %-ного раствора уксуснокислого свинца, израсходованное на титрование до точки эквивалентности, см3;
W - влажность хмеля, %;
2, 54 - постоянный коэффициент;
Т - поправка на концентрацию уксуснокислого свинца (титр).
Вычисление производят до 0, 01 % с последующим округлением до 0, 1 %.
За окончательный результат испытания принимают среднее арифметическое результатов двух параллельных определений.
Расхождение между результатами двух параллельных определений не должно превышать 0, 1 %, а между результатами определений, проведенных в двух лабораториях, - 0, 3 %.
2.7.2.2-2.7.4. (Измененная редакция, Изм. N 1).
2.8. Определение массовой доли сернистого ангидрида
Определение массовой доли сернистого ангидрида в хмеле проводят йодометрическим методом.
2.8.1. Аппаратура, материалы и реактивы
Для проведения испытания применяют:
весы аналитические по ГОСТ 24104-88;
весы лабораторные по ГОСТ 24104-88;
ареометр;
колбы конические вместимостью 100 и 250 см3 по ГОСТ 25336-82;
колбы мерные вместимостью 1000 см3 по ГОСТ 1770-74;
пипетки вместимостью 2; 10 и 25 см3 по ГОСТ 20292-74;
бюретку вместимостью 25 см3 по ГОСТ 20292-74;
воронки стеклянные диаметром 100 мм по ГОСТ 25336-82;
фильтры ватные;
натрий фосфорнокислый двузамещенный по ГОСТ 4172-76, ч.д.а.;
калий фосфорнокислый однозамещенный по ГОСТ 4198-75, ч.д.а.;
фиксанал йода (0, 1 н. раствора йода);
формалин технический по ГОСТ 1625-75;
крахмал растворимый по ГОСТ 10163-76;
натрий хлористый по ГОСТ 4233-77, х.ч.;
натрия гидрат окиси (натр едкий) по ГОСТ 4328-77, х.ч.;
кислоту лимонную по ГОСТ 3652-69;
кислоту соляную по ГОСТ 3118-77, х.ч.;
воду дистиллированную по ГОСТ 6709-72.
2.8.2. Подготовка к испытанию
2.8.2.1. Приготовление буферного раствора с рН 4, 2-4, 6
Готовят 0, 07 М раствор фосфорнокислого двузамещенного натрия. Для этого 11, 87 г реактива переносят в мерную колбу вместимостью 1000 см3, растворяют в дистиллированной воде, доводят до метки и хорошо перемешивают. Затем готовят 0, 07 М раствор фосфорнокислого однозамещенного калия, для чего 9, 078 г реактива переносят в мерную колбу вместимостью 1000 см3, растворяют в дистиллированной воде, доводят до метки и хорошо перемешивают.
- Для приготовления 1000 см3 буферного раствора смешивают 10 см3 0, 07 М раствора фосфорнокислого двузамещенного натрия и 990 см3 0, 07 М раствора фосфорнокислого однозамещенного калия.
Кроме чисто фосфатного, допускается применять фосфатно-лимоннокислый буферный раствор. Для приготовления этого раствора сначала готовят 0, 1 М раствор лимонной кислоты (21, 008 г в 1000 см3 раствора) и 0, 2 М раствор фосфорнокислого натрия (71, 642 Na2HPO4·12H2O или 35, 617 г Na2HPO4·2H2O в 1000 см3 раствора).
Для получения 20 частей буферного раствора смешивают 9, 35 частей раствора фосфорнокислого натрия и 10, 65 частей раствора лимонной кислоты.
2.8.2.2. Приготовление 20 %-ного раствора хлористого натрия
200 г хлористого натрия переносят в мерную колбу вместимостью 1000 см3, растворяют в дистиллированной воде, доводят до метки и хорошо перемешивают.
2.8.2.3. Приготовление 6 н. раствора соляной кислоты
Ареометром определяют плотность концентрированной кислоты и по таблице находят содержание HCl в граммах на 1 дм3 раствора (концентрацию раствора). Затем вычисляют количество миллилитров исходной кислоты, необходимое для приготовления заданного количества 6 н. раствора соляной кислоты.
|
Плотность раствора, г/см3 |
Содержание HCl, г/дм3 |
Плотность раствора, г/см3 |
Содержание HCl, г/дм3 | ||
|
при 15 °С |
при 2 °С |
при 15 °С |
при 20 °С | ||
|
1, 160 |
365, 6 |
372, 8 |
1, 185 |
430, 3 |
441, 8 |
|
1, 165 |
378, 5 |
386, 3 |
1, 190 |
443, 1 |
455, 8 |
|
1, 170 |
391, 5 |
399, 9 |
1, 195 |
456, 2 |
470, 4 |
|
1, 175 |
404, 4 |
413, 8 |
1, 198 |
479, 1 | |
|
1, 180 |
417, 5 |
427, 7 | |||
Пример. Нужно приготовить 1000 см3 6 н. раствора соляной кислоты. Молекулярная масса соляной кислоты - 36, 465, грамм-эквивалент соляной кислоты - 36, 465.
Плотность исходной кислоты, согласно определению ареометром, при 20 °С - 1, 1119 г/см3. По таблице находим, что соляная кислота плотностью 1, 19 г/см3 при 20 °С содержит 455, 8 г/дм3 HCl.
Для приготовления 1000 см3 6 н. кислоты требуется 36, 405 x 6 = 218, 790 г HCl.
В 1000 см3 исходной кислоты содержится - 455, 8 г HCl.
Находим количество исходной соляной кислоты (Х5) в миллилитрах, необходимое для приготовления 1000 см3 6 н. раствора соляной кислоты
Следовательно, чтобы приготовить 1000 см3 6 н. раствора соляной кислоты нужно 480, 0 см3 соляной кислоты плотностью 1, 19 г/см3 разбавить дистиллированной водой до 1000 см3. После разбавления раствор тщательно перемешивают.
2.8.2.4. Приготовление 1 н. раствора едкого натра
40 г едкого натра переносят в мерную колбу вместимостью 1000 см3, растворяют в дистиллированной воде, доводят водой до метки и хорошо перемешивают.
2.8.2.5. Приготовление 0, 01 н. раствора йода без поправочного коэффициента
Содержимое ампулы 0, 1 н. раствора йода количественно переносят в мерную колбу вместимостью 1000 см3 и разбавляют дистиллированной водой до метки, хорошо перемешивают. 100 см3 полученного раствора переносят в чистую мерную колбу вместимостью 1000 см3 и опять разбавляют дистиллированной водой до метки и хорошо перемешивают.
2.8.2.6. Приготовление 1 %-ного раствора крахмала
1 г растворимого крахмала тщательно растворяют с несколькими миллилитрами холодной воды. Полученную пасту вливают в 100 см3 кипящей воды, кипятят еще около 2 мин, пока раствор не станет прозрачным, затем раствор филируют горячим. Вместо фильтрования можно дать крахмалу осесть на дно сосуда и при титровании пользоваться только верхним слоем совершенно отстоявшейся жидкости. Раствор готовят в день анализа.
С двумя каплями 0, 01 н. раствора йода, прибавленными к 50 см3 воды, 1-2 см3 крахмала должны давать синюю окраску. Фиолетовая или буроватая окраска указывает на порчу крахмала и на непригодность его в качестве индикатора.
2.8.3. Проведение испытания
6 г сульфитированных шишек хмеля переносят в коническую колбу вместимостью 250 см3 и заливают 145 см3 20 %-ного раствора хлористого натрия и 5 см3 буферного раствора. Содержимое хорошо перемешивают, закрывают колбу пробкой и оставляют на 30 мин. Затем полученный раствор фильтруют через ватный фильтр. В коническую колбу вместимостью 100 см3 приливают 25 см3 фильтрата, добавляют 2 см3 1 н. раствора едкого натра, закрывают пробкой и оставляют на 2 мин. После этого в колбу добавляют 2 см3 6 н. раствора соляной кислоты. Содержимое колбы тотчас же титруют 0, 01 н. раствором йода до появления синей окраски, применяя в качестве индикатора 0, 5 см3 1 %-ного раствора крахмала.
Для определения окисляющихся или вообще реагирующих с йодом веществ параллельно проводят контрольный опыт. Для этого в колбу вместимостью 100 см3 приливают 25 см3 исходного фильтрата, добавляют 2 см3 1 н. раствора едкого натра, 2 см3 6 н. соляной кислоты и 1 см3 40 %-ного раствора формалина и оставляют на 10 мин для полноты реакции с сернистой кислотой. Затем титруют 0, 01 н. раствором йода в присутствии крахмала.
Для каждой партии хмеля проводят два параллельных определения в фильтрате, полученном из одной навески.
2.8.4. Обработка результатов
Массовую долю сернистого газа (Х6) в процентах, в пересчете на абсолютно сухое вещество, вычисляют по формуле
где V - разность между количеством 0, 01 н. йодного раствора, израсходованного при первом и втором титровании, см3;
K - поправочный коэффициент пересчета на точно 0, 01 н. раствор йода;
m - масса навески хмеля, соответствующая взятому для титрования объему фильтрата, г;
W - влажность хмеля, %.
За окончательный результат испытания принимают среднее арифметическое результатов двух параллельных определений, вычисленное до сотых долей процента, с последующим округлением до десятых долей процента.
Расхождение между результатами двух параллельных определений не должно превышать 0, 03 %, а между результатами определений, проведенных в двух лабораториях, - 0, 05 %.
(Измененная редакция. Изм. N 1).


