электронный сборник нормативных документов по строительству
Обновления
27.04.2026 22:55
электронный сборник нормативных документов по строительству

ГОСТ 26521-2017 САХАР. МЕТОДЫ ОПРЕДЕЛЕНИЯ МАССЫ НЕТТО

Введен в действие приказом Федерального агентства по техническому регулированию и метрологии от 12 декабря 2017 г. N 1929-ст
Межгосударственный стандарт ГОСТ 26521-2017
"САХАР. МЕТОДЫ ОПРЕДЕЛЕНИЯ МАССЫ НЕТТО"

Sugar. Methods for determination of net mass

МКС 67.180.10
Н49

Дата введения - 1 июля 2018 г.
Взамен ГОСТ 26521-85

Предисловие

Цели, основные принципы и основной порядок проведения работ по межгосударственной стандартизации установлены в ГОСТ 1.0-2015 "Межгосударственная система стандартизации. Основные положения" и ГОСТ 1.2-2015 "Межгосударственная система стандартизации. Стандарты межгосударственные, правила и рекомендации по межгосударственной стандартизации. Правила разработки, принятия, обновления и отмены"

Сведения о стандарте

1 Разработан Федеральным государственным бюджетным научным учреждением "Российский научно-исследовательский институт сахарной промышленности" (ФГБНУ РНИИСП)

2 Внесен Федеральным агентством по техническому регулированию и метрологии

3 Принят Межгосударственным советом по стандартизации, метрологии и сертификации (протокол от 30 ноября 2017 г. N 52-2017)

За принятие проголосовали:

Краткое наименование страны по МК (ИСО 3166) 004-97

Код страны по МК (ИСО 3166) 004-97

Сокращенное наименование национального органа по стандартизации

Армения

AM

Минэкономики Республики Армения

Беларусь

BY

Госстандарт Республики Беларусь

Казахстан

KZ

Госстандарт Республики Казахстан

Киргизия

KG

Кыргызстандарт

Россия

RU

Росстандарт

Узбекистан

UZ

Узстандарт

4 Приказом Федерального агентства по техническому регулированию и метрологии от 12 декабря 2017 г. N 1929-ст межгосударственный стандарт ГОСТ 26521-2017 введен в действие в качестве национального стандарта Российской Федерации с 1 июля 2018 г.

5 Взамен ГОСТ 26521-85

1 Область применения

Настоящий стандарт распространяется на фасованный белый сахар и прочие виды сахара и устанавливает методы определения массы нетто сахара в упаковках любого вида.

2 Нормативные ссылки

В настоящем стандарте использованы нормативные ссылки на следующие межгосударственные стандарты:

ГОСТ 8.579-2002 Государственная система обеспечения единства измерений. Требования к количеству фасованных товаров в упаковках любого вида при их производстве, расфасовке, продаже и импорте

ГОСТ 12.1.004-91 Система стандартов безопасности труда. Пожарная безопасность. Общие требования

ГОСТ 12.1.005-88 Система стандартов безопасности труда. Общие санитарно-гигиенические требования к воздуху рабочей зоны

ГОСТ 12.1.018-93 Система стандартов безопасности труда. Пожаровзрывобезопасность статического электричества. Общие требования

ГОСТ 12.1.019-79* Система стандартов безопасности труда. Электробезопасность. Общие требования и номенклатура видов защиты

──────────────────────────────

* В Российской Федерации действует ГОСТ Р 12.1.019-2009.

ГОСТ OIML R 76-1-2011 Государственная система обеспечения единства измерений. Весы неавтоматического действия. Часть 1. Метрологические и технические требования. Испытания

ГОСТ 12569-2016 Сахар. Правила приемки и методы отбора проб

ГОСТ 17527-2014 (ISO 21067:2007) Упаковка. Термины и определения

ГОСТ 33222-2015 Сахар белый. Технические условия

Примечание - При пользовании настоящим стандартом целесообразно проверить действие ссылочных стандартов в информационной системе общего пользования - на официальном сайте Федерального агентства по техническому регулированию и метрологии в сети Интернет или по ежегодному информационному указателю "Национальные стандарты", который опубликован по состоянию на 1 января текущего года, и по выпускам ежемесячного информационного указателя "Национальные стандарты" за текущий год. Если ссылочный стандарт заменен (изменен), то при пользовании настоящим стандартом следует руководствоваться заменяющим (измененным) стандартом. Если ссылочный стандарт отменен без замены, то положение, в котором дана ссылка на него, применяется в части, не затрагивающей эту ссылку.

3 Термины и определения

В настоящем стандарте применены термины по [1], ГОСТ 8.579, ГОСТ 17527 и ГОСТ 33222.

4 Формирование выборки

Общие требования к установлению объема выборок сахара - по ГОСТ 12569 или по нормативным правовым актам государства, принявшего настоящий стандарт.

5 Сущность метода

Метод основан на определении массы нетто фасованного сахара в упаковках любого вида как разности результатов измерения массы брутто и массы упаковки в ходе неразрушающих или разрушающих испытаний.

6 Условия проведения измерений

Измерения проводят при следующих условиях:

- температура окружающего воздуха ... (20 ± 5) °С;

- относительная влажность ... (65 ± 15) %.

В помещениях, предназначенных для проведения измерений, не допускаются загрязненность воздуха рабочей зоны пылью, агрессивными веществами, вибрация, электромагнитные помехи, влияющие на измерения.

7 Определение массы нетто для фасованного сахара с одинаковым номинальным количеством, не превышающим 10 кг

7.1 Средства измерений

Весы неавтоматического действия по ГОСТ OIML R 76-1 с пределами взвешивания, соответствующими определяемой массе, с пределами допускаемой абсолютной погрешности:

± 0, 1 г - при определении массы до 100 г включ.;

± 0, 5 г - при определении массы св. 100 до 500 г;

± 1, 0 г - при определении массы св. 500 до 1000 г;

± 2, 0 г - при определении массы св. 1000 до 2000 г;

± 10 г - при определении массы св. 2000 до 5000 г;

± 20 г - при определении массы св. 5000 г.

Допускается применение других средств измерений с метрологическими и техническими характеристиками не ниже вышеуказанных.

7.2 Определение массы нетто сахара при проведении неразрушающих испытаний

Неразрушающие испытания применяют в случае, если при определении массы нетто сахара возможно использовать показатель "среднее значение массы упаковки" m̅уп. Данный показатель может быть использован при условии, что рассеяние (разброс) значений массы упаковки упаковочных единиц является незначительным и им можно пренебречь.

Разброс значений массы упаковки считают незначительным, если среднее арифметическое массы упаковки десяти упаковочных единиц (если упаковочная единица вскрывается в ходе контроля) или массы десяти образцов новой упаковки (если возможно определить данный показатель до начала процесса упаковывания и/или контроля фасованных товаров при условии принадлежности упаковки к одной партии) не превышает 10 % значения номинальной массы или среднеквадратическое отклонение значений массы упаковки десяти упаковочных единиц или массы десяти образцов новой упаковки не превышает 25 % значения предела допускаемых отрицательных отклонений согласно ГОСТ 8.579.

Примечание - В массу упаковки включается как масса самой упаковки, так и масса упаковочного материала, этикеток и других вспомогательных упаковочных средств различного вида (при необходимости).

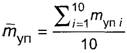
7.2.1 Определение среднего значения массы упаковки

Среднее (среднее арифметическое) значение массы упаковки m̅уп, г, определяют по результатам измерений массы десяти упаковочных единиц или десяти образцов новой упаковки и рассчитывают по формуле

image001.jpg,

(1)

где mуп i - значение массы i-й упаковки, г.

7.2.2 Определение массы нетто сахара

Массу нетто сахара mi вычисляют по формуле

mi=mбр i – m̅уп,

(2)

где mбр i - значение массы i-й невскрытой упаковочной единицы (масса брутто), г;

уп - среднее значение массы упаковки, определенное по 7.2.1, г.

7.3 Определение массы нетто сахара при проведении разрушающих испытаний

7.3.1 Проведение определения для кристаллического сахара в потребительской упаковке с номинальной массой от 5, 0 до 20, 0 г включительно

7.3.1.1 Проведение измерений

Определение массы нетто сахара проводят последовательно для каждых 10 пакетиков, отобранных в выборку.

10 пакетиков с кристаллическим сахаром взвешивают, получают значение массы невскрытых упаковочных единиц (массу брутто). Результат взвешивания записывают с точностью до второго десятичного знака.

Затем упаковку (пакетики) освобождают от содержимого, тщательно очищают от остатков налипшего сахара и взвешивают, получают значение массы упаковки 10 пакетиков. Результат взвешивания записывают с точностью до второго десятичного знака.

7.3.1.2 Обработка результатов измерений

Массу нетто кристаллического сахара в пакетике m, г, вычисляют по формуле

image002.jpg,

(3)

где mбр - значение массы брутто 10 пакетиков с сахаром, г;

mуп - значение массы упаковки 10 пакетиков, г.

Вычисления проводят до второго десятичного знака с последующим округлением до первого десятичного знака.

За окончательный результат измерения принимают среднее арифметическое значение результатов измерений каждых 10 пакетиков, взятых для измерений. Результат вычисления записывают с точностью до первого десятичного знака.

Определение массы нетто сахара для пакетиков выборки, не попавших в число, кратное десяти, не проводят.

7.3.2 Проведение определения для кристаллического, кускового сахара и сахарной пудры в потребительской упаковке (пакетах, пачках) с номинальной массой от 0, 10 до 5, 00 кг включительно

7.3.2.1 Проведение измерений

Взвешивают каждую единицу потребительской упаковки (пакет, пачку), отобранную в выборку, получают значение массы невскрытой упаковочной единицы (массу брутто). Результат взвешивания записывают с точностью до первого десятичного знака.

Затем упаковку (пачку, пакет) освобождают от содержимого, тщательно очищают от остатков налипшего сахара и взвешивают, получают значение массы каждой упаковки (пачки, пакета). Результат взвешивания записывают с точностью до первого десятичного знака.

7.3.2.2 Обработка результатов измерений

Массу нетто сахара, упакованного в пачки (пакеты), mi, г, вычисляют по формуле

mi=mбр i – mуп i,

(4)

где mбр i - значение массы брутто i-го пакета (пачки) с сахаром, г;

mуп i - значение массы i-й упаковки (пакета, пачки), г.

Вычисления проводят до первого десятичного знака с последующим округлением до целого числа.

8 Определение массы нетто для фасованного сахара с одинаковым номинальным количеством, превышающим 10 кг

8.1 Средства измерений

Весы неавтоматического действия по ГОСТ OIML R 76-1 с пределами взвешивания, соответствующими определяемой массе, с пределами допускаемой абсолютной погрешности:

± 20 г - при определении массы до 50 кг включительно;

± 1000 г - при определении массы сахара, упакованного в мягкие специализированные контейнеры с номинальной массой 1000 кг включительно.

8.2 Проведение определения для кристаллического сахара и сахарной пудры в транспортной упаковке (мешках, мягких контейнерах) с номинальной массой до 1000 кг включительно

8.2.1 Проведение измерений

Определение массы нетто проводят для каждого мешка (мягкого контейнера), отобранных в выборку.

Мешок (мягкий контейнер) с сахаром взвешивают, получают значение массы невскрытой упаковочной единицы (массу брутто). Результат взвешивания записывают с точностью до первого десятичного знака для мешка, до целого числа - для мягких контейнеров.

Значение массы упаковки считывают с маркировки в случае ее указания. В случае отсутствия массы упаковки в маркировке ее вычисляют как разность между массой брутто и номинальной массой сахара, указанных в маркировке.

8.2.2 Обработка результатов измерений

Массу нетто сахара, упакованного в мешки (мягкие контейнеры) mi, кг, вычисляют по формуле

mi=mбр i – mуп i,

(5)

где mбр i - значение массы брутто i-го мешка (мягкого контейнера) с сахаром, кг;

mуп i - значение массы i-й упаковки (мешка, мягкого контейнера), кг.

Вычисления проводят до первого десятичного знака для мешка, до целого числа - для мягкого контейнера.

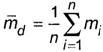
9 Определение среднего содержимого нетто партии

Среднее (среднее арифметическое) содержимое нетто партии m̅d, г, рассчитывают на основании полученных по 7.3.1.2, 7.3.2.2, 8.2.2 значений массы нетто сахара по формуле

image003.jpg,

(6)

где n - объем выборки (количество упаковочных единиц) по ГОСТ 12569, шт.

10 Определение соблюдения предела допускаемых отрицательных отклонений содержимого упаковочной единицы от номинальной массы

Для партии фасованного сахара рассчитывают минимальное допускаемое значение содержимого упаковочной единицы хдоп и нижнюю контрольную границу отрицательного отклонения содержимого tниж:

xдопном-Т,

(7)

tнижНОМ-2Т,

(8)

где Кном - номинальная масса, г;

Т - предел допускаемых отрицательных отклонений содержимого упаковочной единицы согласно ГОСТ 8.579, г.

Полученные по 7.3.1.2, 7.3.2.2, 8.2.2 значения массы сахара каждой упаковочной единицы выборки сравнивают с минимальным допускаемым значением содержимого хдоп и определяют наличие бракованных упаковочных единиц, масса которых меньше минимального допускаемого значения содержимого хдоп.

Количество бракованных упаковочных единиц сравнивают с приемочными и браковочными числами, определенными планом выборочного контроля. Определяют наличие браковочных упаковочных единиц, у которых дополнительно нарушается значение нижней контрольной границы отрицательного отклонения содержимого tниж.

11 Требования безопасности

При выполнении измерений необходимо соблюдать требования пожарной безопасности по ГОСТ 12.1.004 и ГОСТ 12.1.018.

Требования электробезопасности при работе с приборами - по ГОСТ 12.1.019 и в соответствии с инструкцией по эксплуатации прибора.

Содержание вредных веществ в воздухе не должно превышать допустимых значений по ГОСТ 12.1.005.

Остатки сахара утилизируют в соответствии с требованиями технологической инструкции предприятия, утвержденной в установленном порядке.

12 Требования к квалификации персонала

К выполнению измерений, обработке и оформлению результатов допускается специалист, имеющий высшее или специальное образование, имеющий опыт работы с весовым оборудованием и владеющий весовыми методами измерений.

Библиография

[1]

TP ТС 021/2011

Технический регламент Таможенного союза "О безопасности пищевой продукции"

Яндекс.Метрика