электронный сборник нормативных документов по строительству
Обновления
27.04.2026 22:55
электронный сборник нормативных документов по строительству

ГОСТ 2642.6-2017 ОГНЕУПОРЫ И ОГНЕУПОРНОЕ СЫРЬЕ. МЕТОДЫ ОПРЕДЕЛЕНИЯ ОКСИДА ТИТАНА (IV)

Введен в действие приказом Федерального агентства по техническому регулированию и метрологии от 16 августа 2017 г. N 905-ст
Межгосударственный стандарт ГОСТ 2642.6-2017
"ОГНЕУПОРЫ И ОГНЕУПОРНОЕ СЫРЬЕ. МЕТОДЫ ОПРЕДЕЛЕНИЯ ОКСИДА ТИТАНА (IV)"

Refractories and refractory raw materials. Methods for determination of titanium (IV) oxide

МКС 81.080

Дата введения - 1 июня 2018 г.
Взамен ГОСТ 2642.6-97

Предисловие

Цели, основные принципы и основной порядок проведения работ по межгосударственной стандартизации установлены в ГОСТ 1.0-2015 "Межгосударственная система стандартизации. Основные положения" и ГОСТ 1.2-2015 "Межгосударственная система стандартизации. Стандарты межгосударственные, правила и рекомендации по межгосударственной стандартизации. Правила разработки, принятия, обновления и отмены".

Сведения о стандарте

1 Разработан Обществом с ограниченной ответственностью "Научно-технический центр "Огнеупоры" (ООО "НТЦ "Огнеупоры")

2 Внесен Федеральным агентством по техническому регулированию и метрологии

3 Принят Межгосударственным советом по стандартизации, метрологии и сертификации (протокол от 20 апреля 2017 г. N 98-П)

За принятие проголосовали:

Краткое наименование страны по МК (ИСО 3166) 004-97

Код страны по МК (ИСО 3166) 004-97

Сокращенное наименование национального органа по стандартизации

Армения

AM

Минэкономики Республики Армения

Беларусь

BY

Госстандарт Республики Беларусь

Киргизия

KG

Кыргызстандарт

Россия

RU

Росстандарт

Узбекистан

UZ

Узстандарт

Таджикистан

TJ

Таджикстандарт

Украина

UA

Минэкономразвития Украины

4 Приказом Федерального агентства по техническому регулированию и метрологии от 16 августа 2017 г. N 905-ст межгосударственный стандарт ГОСТ 2642.6-2017 введен в действие в качестве национального стандарта Российской Федерации с 1 июня 2018 г.

5 Взамен ГОСТ 2642.6-97

1 Область применения

Настоящий стандарт распространяется на огнеупорное сырье, кремнеземистые, алюмосиликатные, глиноземистые, глиноземоизвестковые, высокомагнезиальные, магнезиально-известковые огнеупоры и устанавливает фотометрические методы количественного определения оксида титана (IV) с пероксидом водорода (при массовой доле от 0, 05 % до 5 %) и с диантипирилметаном (при массовой доле от 0, 02 % до 4 %).

2 Нормативные ссылки

В настоящем стандарте использованы нормативные ссылки на следующие межгосударственные стандарты:

ГОСТ 12.4.253-2013 (EN 166:2002) Система стандартов безопасности труда. Средства индивидуальной защиты глаз. Общие технические условия

ГОСТ 83-79 Реактивы. Натрий углекислый. Технические условия

ГОСТ 199-78 Реактивы. Натрий уксуснокислый 3-водный. Технические условия

ГОСТ 1770-74 Посуда мерная лабораторная стеклянная. Цилиндры, мензурки, колбы, пробирки. Общие технические условия

ГОСТ 2642.0-2014 Огнеупоры и огнеупорное сырье. Общие требования к методам анализа

ГОСТ 2642.3-2014 Огнеупоры и огнеупорное сырье. Методы определения оксида кремния (IV)

ГОСТ 2642.5-2016 Огнеупоры и огнеупорное сырье. Методы определения оксида железа (III)

ГОСТ 3118-77 Реактивы. Кислота соляная. Технические условия

ГОСТ 4199-76 Реактивы. Натрий тетраборнокислый 10-водный. Технические условия

ГОСТ 4204-77 Реактивы. Кислота серная. Технические условия

ГОСТ 4221-76 Реактивы. Калий углекислый. Технические условия

ГОСТ 5456-79 Реактивы. Гидроксиламина гидрохлорид. Технические условия

ГОСТ 6552-80 Реактивы. Кислота ортофосфорная. Технические условия

ГОСТ 6563-75 Изделия технические из благородных металлов и сплавов. Технические условия

ГОСТ 6709-72 Вода дистиллированная. Технические условия

ГОСТ 7172-76 Реактивы. Калий пиросернокислый

ГОСТ 10929-76 Реактивы. Водорода пероксид. Технические условия

ГОСТ 14183-78 Стекло органическое часовое. Технические условия

ГОСТ 24104-2001* Весы лабораторные. Общие технические требования

──────────────────────────────

* На территории Российской Федерации действует ГОСТ Р 53228-2008 "Весы неавтоматического действия. Часть 1. Метрологические и технические требования. Испытания".

ГОСТ 25336-82 Посуда и оборудование лабораторные стеклянные. Типы, основные параметры и размеры

ГОСТ OIML R 76-1-2011 Государственная система обеспечения единства измерений. Весы неавтоматического действия. Ч. 1. Метрологические и технические требования. Испытания

ГОСТ ИСО/МЭК 17025-2009 Общие требования к компетентности испытательных и калибровочных лабораторий

3 Общие требования

3.1 Общие требования к методам анализа - по ГОСТ 2642.0 с дополнением по 3.1.1.

3.1.1 Для смесей для сплавления указано массовое соотношение компонентов в порядке их перечисления.

4 Требования безопасности

4.1 Требования безопасности - по ГОСТ 2642.0 с дополнением по 4.1.1.

4.1.1 При проведении испытания должны применяться средства индивидуальной защиты глаз по ГОСТ 12.4.253.

5 Фотометрический метод определения оксида титана (IV) с пероксидом водорода (при массовой доле от 0, 05 % до 5 %)

5.1 Сущность метода

Метод основан на реакции образования окрашенного в желтый цвет комплексного соединения титана (IV) с пероксидом водорода в кислой среде и последующем измерении оптической плотности раствора в области светопропускания (400-450) нм при использовании синего светофильтра.

Влияние Fe (III) устраняют добавлением в раствор ортофосфорной кислоты.

5.2 Аппаратура, реактивы, растворы и вспомогательные устройства

Весы по ГОСТ 24104* или ГОСТ OIML R 76-1, класс точности II.

──────────────────────────────

* На территории Российской Федерации действует ГОСТ Р 53228-2008 "Весы неавтоматического действия. Часть 1. Метрологические и технические требования. Испытания".

Печь муфельная с терморегулятором, обеспечивающая поддержание температуры нагрева 1000 °С с пределами допустимого отклонения ± 50 °С.

Шкаф сушильный, обеспечивающий поддержание заданной температуры 110 °С с пределами допустимого отклонения ± 5 °С.

Спектрофотометр или колориметр фотоэлектрический лабораторный (фотоколориметр).

Плитка электрическая по техническому документу.

Посуда мерная лабораторная стеклянная по ГОСТ 1770.

Посуда лабораторная стеклянная по ГОСТ 25336.

Тигли платиновые по ГОСТ 6563.

Стекло органическое часовое по ГОСТ 14183.

Вода дистиллированная по ГОСТ 6709.

Водорода пероксид по ГОСТ 10929, разбавленный 1:9.

Калий пиросернокислый по ГОСТ 7172.

Кислота ортофосфорная по ГОСТ 6552.

Кислота серная по ГОСТ 4204, разбавленная 1:20 и 1:9.

Кислота соляная по ГОСТ 3118, разбавленная 1:3.

Калий углекислый по ГОСТ 4221.

Натрий углекислый по ГОСТ 83.

Натрий тетраборнокислый 10-водный по ГОСТ 4199.

Безводный тетраборнокислый натрий, изготовленный из натрия тетраборнокислого 10-водного, обезвоженного при температуре (400 ± 20) °С.

Смесь для сплавления: углекислый натрий, безводный тетраборнокислый натрий и углекислый калий смешивают в соотношении 1:1:1 или углекислый натрий и безводный тетраборнокислый натрий - в соотношении 2:1.

Титана (IV) оксид, ч. д. а. или ос. ч. по техническому документу.

5.2.1 Приготовление раствора

Стандартный раствор с массовой концентрацией оксида титана (IV) 0, 0002 г/см3 (раствор А): 0, 2 г оксида титана (IV), предварительно прокаленного при температуре 1000 °С до постоянной массы, смешивают в платиновом тигле с 4, 0 г пиросернокислого калия и сплавляют при температуре 850 °С в муфельной печи до получения прозрачного расплава. Остывший тигель со сплавом помещают в стакан, добавляют 150 см3 серной кислоты (1:9) и нагревают на электрической плитке с закрытой спиралью до полного растворения сплава.

Раствор охлаждают, переносят в мерную колбу вместимостью 1000 см3, доводят объем раствора до метки серной кислотой (1:20) и перемешивают.

Допускается использовать соляную кислоту (1:3). Объем раствора до метки доводят дистиллированной водой.

5.2.2 Построение градуировочного графика

Для построения градуировочного графика в мерные колбы вместимостью 100 см3 отмеряют аликвотные части раствора А: 2, 0; 4, 0; 7, 0; 10, 0; 15, 0; 20, 0; 25, 0 и 30, 0 см3, что соответствует 0, 0004; 0, 0008; 0, 0014; 0, 0020; 0, 0030; 0, 0040; 0, 0050 и 0, 0060 г оксида титана (IV). В каждую мерную колбу прибавляют 2-3 капли ортофосфорной кислоты, 3 см3 пероксида водорода (1:9), доводят объем раствора до метки серной кислотой (1:20) и перемешивают.

Допускается применение солянокислого стандартного раствора оксида титана (IV). Объем раствора до метки доводят дистиллированной водой.

Через 15 мин измеряют оптическую плотность градуировочных растворов на фотоколориметре с синим светофильтром или спектрофотометре при длине волны в спектральной области от 400 до 450 нм, используя кювету с толщиной поглощающего слоя 20 мм. Допускается использовать кюветы с другой толщиной поглощающего слоя в зависимости от типа фотоколориметра при выполнении условий ГОСТ 2642.0 (п. 7.3).

Одновременно через все стадии анализа проводят контрольный опыт для учета загрязнения применяемых реактивов.

Градуировочный график строят по вычисленным средним арифметическим значениям оптической плотности трех параллельных определений и соответствующим им массам оксида титана (IV).

5.3 Проведение анализа

5.3.1 Аналитическую пробу массой 0, 2 г (при массовой доле оксида титана (IV) не более 3 %) и 0, 1 г (при массовой доле оксида титана (IV) 3 % и свыше) смешивают с 2, 0-3, 0 г смеси для сплавления в платиновом тигле и сплавляют при температуре 1000 °С в муфельной печи в течение 10-20 мин.

Остывший тигель с расплавом помещают в стакан вместимостью 250 см3 и растворяют в 50 см3 серной кислоты (1:20). Раствор охлаждают до комнатной температуры, переводят в мерную колбу вместимостью 100 см3, прибавляют 2-3 капли ортофосфорной кислоты, 3 см3 пероксида водорода (1:9), доводят объем раствора до метки серной кислотой (1:20) и перемешивают.

Допускается использование как сернокислого, так и солянокислого раствора пробы, в зависимости от приготовления градуировочного раствора и природы материала.

Через 15 мин измеряют оптическую плотность раствора на фотоколориметре с синим светофильтром или спектрофотометре при длине волны в спектральной области от 400 до 450 нм, используя кювету с толщиной поглощающего слоя 20 мм. Допускается использовать кюветы с другой толщиной поглощающего слоя в зависимости от типа фотоколориметра при выполнении условий ГОСТ 2642.0 (п. 7.3).

В качестве раствора сравнения используют раствор контрольного опыта, содержащий все применяемые реактивы в соответствующих количествах.

Массу оксида титана (IV) в граммах определяют по градуировочному графику.

5.3.2 Для определения оксида титана (IV) допускается использовать аликвотную часть исходного раствора 1 (раздел 5) или раствора 3 (раздел 8) после отделения кремниевой кислоты по ГОСТ 2642.3, раствора 1 (раздел 6) по ГОСТ 2642.4 или раствора 1 (раздел 6) по ГОСТ 2642.5.

5.4 При построении градуировочного графика, периодическом контроле стабильности градуировочной характеристики, а также при выполнении анализов выполняют проверку приемлемости аналитических сигналов фотоколориметра или спектрофотометра, полученных в условиях повторяемости.

Результат проверки признается приемлемым при выполнении условия

image001.jpg,

(1)

где Di1 и Di2 - значения оптической плотности, полученные для i-го градуировочного раствора при двух измерениях, Б;

i - среднее значение результатов двух измерений оптической плотности i-го градуировочного раствора, Б;

Кф - норматив (допускаемое расхождение результатов измерений оптической плотности раствора), при вероятности 0, 95, %;

Кф = 5 %.

5.4.1 Градуировочную характеристику представляют в виде линейного уравнения или графика.

5.4.1.1 Градуировочная характеристика в виде линейного уравнения

На основе полученных данных строят градуировочную характеристику по уравнению

D̅=A+B·m,

(2)

где D̅ - среднее значение результатов двух измерений оптической плотности градуировочного раствора, Б;

m - масса оксида титана (IV), г;

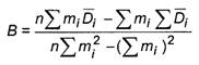
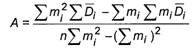
А и В - коэффициенты, определяемые методом наименьших квадратов по следующим формулам

image002.jpg,

(3)

image003.jpg,

(4)

где mi - масса оксида титана (IV) в i-м градуировочном растворе, г;

i - оптическая плотность i-го градуировочного раствора (среднеарифметическое значение по двум измерениям), Б;

n - количество градуировочных растворов.

5.4.1.2 Градуировочная характеристика в виде графика

На основании полученных данных строят градуировочный графике координатах: оптическая плотность Di - масса оксида титана (IV) mi, указывают масштаб графика.

5.4.2 Проверка приемлемости градуировочной характеристики

Градуировочная характеристика считается удовлетворительной, если для каждого стандартного раствора отклонение среднего значения оптической плотности от градуировочной характеристики не превышает 5 %.

5.5 Обработка результатов

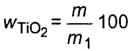
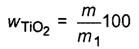
5.5.1 Массовую долю оксида титана (IV) image004.gif, %, вычисляют по формуле

image005.jpg,

(5)

где m - масса оксида титана (IV), определенная по градуировочному графику, г;

m1 - масса аналитической пробы, г.

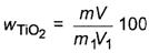
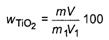
5.5.2 При анализе аликвотной части раствора массовую долю оксида титана (IV) image004.gif, %, вычисляют по формуле

image006.jpg,

(6)

где m - масса оксида титана (IV), определенная по градуировочному графику, г;

V - исходный объем раствора, см3;

m1 - масса аналитической пробы, г;

V1 - объем аликвотной части раствора, см3.

5.5.3 Нормы точности и нормативы контроля точности определений массовой доли оксида титана (IV) приведены в таблице 1 раздела 7.

6 Фотометрический метод определения оксида титана (IV) с диантипирилметаном (при массовой доле от 0, 02 % до 4 %)

6.1 Сущность метода

Метод основан на реакции образования окрашенного в желтый цвет комплексного соединения титана (IV) с диантипирилметаном в кислой среде и последующем измерении оптической плотности раствора при длине волны 385 нм.

6.2 Аппаратура, реактивы, растворы и вспомогательные устройства

Смесь для сплавления: углекислый натрий и безводный тетраборнокислый натрий смешивают в соотношении 2:1.

Кислота соляная по ГОСТ 3118, раствор молярной концентрации 1 моль/дм3.

Диантипирилметан по техническому документу, раствор с массовой долей 5 %, приготовленный на растворе соляной кислоты молярной концентрации 1 моль/дм3.

Гидроксиламина гидрохлорид по ГОСТ 5456, раствор с массовой долей 10 %.

Натрий уксуснокислый 3-водный по ГОСТ 199, раствор с массовой долей 20 %.

Титана (IV) оксид, х. ч., по техническому документу.

Остальные реактивы, растворы и аппаратура - по 5.2.

6.2.1 Приготовление растворов

Стандартный раствор с массовой концентрацией оксида титана (IV) 0, 0002 г/см3 (раствор А) готовят по 5.2.1.

Стандартный раствор с массовой концентрацией оксида титана (IV) 0, 00004 г/см3 (раствор Б): отбирают пипеткой 20 см3 раствора А в мерную колбу вместимостью 100 см3, доводят объем раствора до метки дистиллированной водой и перемешивают.

Срок хранения раствора Б - не более суток.

6.2.2 Построение градуировочного графика

Для построения градуировочного графика в мерные колбы вместимостью 100 см3 отмеряют аликвотные части раствора Б: 1, 0; 2, 0; 4, 0; 6, 0; 8, 0; 10, 0 см3, что соответствует 0, 00004; 0, 00008; 0, 00016; 0, 00024; 0, 00032; 0, 00040 г оксида титана (IV). В каждую мерную колбу приливают 5 см3 раствора гидрохлорида гидроксиламина и перемешивают, раствор выдерживают 5 мин, нейтрализуют раствором уксуснокислого натрия до изменения цвета бумаги Конго, приливают 10 см3 соляной кислоты (1:1) и 5 см3 раствора диантипирилметана, доводят объем раствора до метки дистиллированной водой и перемешивают.

Через 30 мин измеряют оптическую плотность растворов на фотоколориметре с синим светофильтром или на спектрофотометре при длине волны 385 нм, используя кювету с толщиной поглощающего слоя 20 мм. Допускается использовать кюветы с другой толщиной поглощающего слоя в зависимости от типа фотоколориметра при выполнении условий ГОСТ 2642.0 (пункт 7.3).

Одновременно через все стадии анализа проводят контрольный опыт для внесения в результат анализа поправки на загрязнение применяемых реактивов.

Градуировочный график строят по вычисленным средним арифметическим значениям оптической плотности трех параллельных определений и соответствующим массам оксида титана (IV).

6.3 Проведение анализа

6.3.1 Аналитическую пробу массой 0, 2 г смешивают с 3, 0-5, 0 г смеси для сплавления в платиновом тигле и сплавляют при температуре 1000 °С в муфельной печи до получения прозрачного расплава. Остывший тигель со сплавом помещают в стакан вместимостью 250 см3, приливают 50 см3 соляной кислоты (1:1) и нагревают на электрической плитке с закрытой спиралью до полного растворения сплава.

Раствор охлаждают, переносят в мерную колбу вместимостью 100 см3, приливают 5 см3 раствора гидрохлорида гидроксиламина и перемешивают. Раствор выдерживают 5 мин, нейтрализуют раствором уксуснокислого натрия до изменения цвета бумаги Конго, приливают 10 см3 соляной кислоты (1:1) и 5 см3 раствора диантипирилметана, доводят объем раствора до метки дистиллированной водой и перемешивают.

Через 30 мин измеряют оптическую плотность раствора на фотоколориметре с синим светофильтром или на спектрофотометре при длине волны 385 нм, используя кювету с толщиной поглощающего слоя 20 мм. Допускается использовать кюветы с другой толщиной поглощающего слоя в зависимости от типа фотоколориметра при выполнении условий ГОСТ 2642.0 (пункт 7.3).

Одновременно через все стадии анализа проводят контрольный опыт для учета загрязнения применяемых реактивов.

Массу оксида титана (IV) в граммах определяют по градуировочному графику.

6.3.2 Для определения оксида титана (IV) допускается использовать аликвотную часть исходного раствора 1 (раздел 5) или раствора 3 (раздел 8) после отделения кремниевой кислоты по ГОСТ 2642.3, раствора 1 (раздел 6) - по ГОСТ 2642.4.

При массовой доле оксида титана (IV) менее 1, 0 % объем аликвотной части раствора составляет 25 см3, при массовой доле оксида титана (IV) до 4, 0 % - 10 см3, при массовой доле оксида титана (IV) до 8, 0 % - 5 см3.

6.4 Обработка результатов

6.4.1 Массовую долю оксида титана (IV) image004.gif, %, вычисляют по формуле

image007.jpg,

(7)

где m - масса оксида титана (IV), определенная по градуировочному графику, г;

m1 - масса аналитической пробы, г.

6.4.2 При анализе аликвотной части раствора массовую долю оксида титана (IV) image004.gif, %, вычисляют по формуле

image008.jpg,

(8)

где m - масса оксида титана (IV), определенная по градуировочному графику, г;

V - объем исходного раствора, см3;

m1 - масса аналитической пробы, г;

V1 - объем аликвотной части раствора, см3.

6.4.3 Нормы точности и нормативы контроля точности определений массовой доли оксида титана (IV) приведены в таблице 1 раздела 7.

7 Обработка результатов определений

7.1 Проверка приемлемости

Проверяют приемлемость результатов определений массовой доли оксида титана (IV). Результат проверки считают удовлетворительным, если выполняется условие

image009.jpg,

(9)

где image010.gifimage011.gif- значения массовой доли оксида титана (IV), полученные в условиях повторяемости опыта, %;

r - предел повторяемости, таблица 1 раздела 7.

За результат определений массовой доли оксида титана (IV) принимают среднеарифметическое значение image012.gif, полученное по двум последовательным определениям, удовлетворяющим требованию приемлемости.

Если условие (8) не выполнено, проводят два дополнительных определения и проверяют приемлемость вновь полученных результатов.

Если результаты дополнительных определений не удовлетворяют требованиям приемлемости, то за результат определений принимают среднее арифметическое из четырех полученных значений при условии, что ряд последовательно полученных значений не возрастает или не убывает монотонно.

Примечание - Допускается проводить проверку приемлемости результатов в соответствии с документами, действующими на территории государства, применяющего стандарт*.

──────────────────────────────

* На территории Российской Федерации действует ГОСТ Р ИСО 5725-6-2002 "Точность (правильность и прецизионность) методов и результатов измерений. Часть 6. Использование значений точности на практике".

7.2 В документе о качестве результат определения массовой доли оксида титана (IV) приводят в сокращенном формате без указания расширенной неопределенности.

По требованию заказчика результат определения массовой доли оксида титана (IV) может быть приведен в полном формате

image013.jpg,

(10)

где image014.gif- расширенная неопределенность при коэффициенте охвата k = 2.

Результат округляют до того же десятичного знака, которым заканчивается округленное значение расширенной неопределенности image014.gif.

Примеры:

image004.gif= (0, 103 ± 0, 021) %;

image004.gif= (10, 1 ± 1, 3) %.

7.3 Контроль внутрилабораторной прецизионности

Рассчитывают расхождение результатов определений массовой доли оксида титана (IV), полученное в условиях прецизионности (варьируемые факторы: время и оператор). При этом расхождение между двумя средними результатами определений не должно превышать норматив контроля (Rл)

image015.jpg,

(11)

где image016.gifimage017.gif- первое и второе значения массовой доли оксида титана (IV), %.

При превышении норматива измерения повторяют. При повторном превышении выясняют и устраняют причины, приводящие к неудовлетворительным результатам.

7.4 Оперативный контроль точности

Контроль выполнения процедуры определений (контроль точности результатов измерений) проводят не реже одного раза в смену или одновременно с каждой партией рабочих проб. Для контроля точности результатов измерений применяют государственные стандартные образцы, стандартные образцы предприятия или смеси, аттестованные в установленном порядке. Если отклонение результата определения массовой доли оксида титана (IV) в образце для контроля от аттестованного (расчетного) значения Асо не превышает норматива контроля Кт (таблица 1)

image018.jpg,

(12)

результаты контрольной процедуры признают удовлетворительными. При невыполнении условия (11) определение повторяют. При повторном невыполнении условия (11) определения прекращают до выявления и устранения причин, приводящих к неудовлетворительным результатам.

Таблица 1

В процентах

Массовая доля оксида титана (IV)

Нормы точности и нормативы контроля точности

U(w)

Rл

r

Кт

От 0, 02 до 0, 05 включ.

0, 013

0, 017

0, 014

0, 009

Св. 0, 05 " 0, 1 "

0, 024

0, 03

0, 025

0, 016

" 0, 1 " 0, 2 "

0, 04

0, 05

0, 04

0, 02

" 0, 2 " 0, 5 "

0, 06

0, 07

0, 06

0, 04

" 0, 5 " 1, 0 "

0, 08

0, 10

0, 08

0, 05

" 1 " 2 "

0, 11

0, 14

0, 12

0, 07

" 2 " 5 "

0, 18

0, 22

0, 18

0, 12

8 Протокол испытания

Результаты испытания записывают в протокол, в котором указывают:

- обозначение настоящего стандарта;

- наименование организации, проводившей испытание;

- обозначение испытуемого огнеупора или огнеупорного сырья, марку, номер партии;

- наименование предприятия-изготовителя;

- дату проведения испытания;

- метод определения оксида титана (IV);

- значение результата определения оксида титана (IV);

- должность, фамилию, имя, отчество исполнителя;

- подпись исполнителя.

Примечание - Допускается проводить оформление результатов измерений в соответствии с ГОСТ ИСО/МЭК 17025 либо с правилами, действующими на конкретном предприятии.

Яндекс.Метрика