ГОСТ 24676-2017 ПЕНТАНЫ. МЕТОД ОПРЕДЕЛЕНИЯ УГЛЕВОДОРОДНОГО СОСТАВА
Pentanes. Method for determination of hydrocarbon compounds
МКС 75.160.30
Предисловие
Цели, основные принципы и основной порядок проведения работ по межгосударственной стандартизации установлены в ГОСТ 1.0-2015 "Межгосударственная система стандартизации. Основные положения" и ГОСТ 1.2-2015 "Межгосударственная система стандартизации. Стандарты межгосударственные, правила и рекомендации по межгосударственной стандартизации. Правила разработки, принятия, обновления и отмены"
Сведения о стандарте
1 Разработан Акционерным обществом "Волжский научно-исследовательский институт углеводородного сырья" (АО "ВНИИУС")
2 Внесен Федеральным агентством по техническому регулированию и метрологии
3 Принят Межгосударственным советом по стандартизации, метрологии и сертификации (протокол от 7 июня 2017 г. N 99-П)
За принятие проголосовали:
|
Краткое наименование страны по МК (ИСО 3166) 004-97 |
Код страны по МК (ИСО 3166) 004-97 |
Сокращенное наименование национального органа по стандартизации |
|
Армения |
AM |
Минэкономики Республики Армения |
|
Беларусь |
BY |
Госстандарт Республики Беларусь |
|
Киргизия |
KG |
Кыргызстандарт |
|
Россия |
RU |
Росстандарт |
|
Таджикистан |
TJ |
Таджикстандарт |
|
Узбекистан |
UZ |
Узстандарт |
|
Украина |
UA |
Минэкономразвития Украины |
4 Приказом Федерального агентства по техническому регулированию и метрологии от 5 октября 2017 г. N 1330-ст межгосударственный стандарт ГОСТ 24676-2017 введен в действие в качестве национального стандарта Российской Федерации с 1 июля 2019 г.
5 Взамен ГОСТ 24676-81
Настоящий стандарт устанавливает определение массовой доли пентанов методом газовой хроматографии во фракциях легких углеводородов: пентановой, изопентановой, пентан-изопентановой, изопентан-изоамиленовой и изоамиленовой, вырабатываемых на установках газофракционирования и ректификации, а также изомеризации нефтехимических, газо- и нефтеперерабатывающих предприятий.
Настоящий стандарт используют для определения массовой доли пентанов в диапазоне от 0, 01 % до 99, 00 %, парафинов С2-С4 - от 0, 01 % до 6, 00 %, моно- и диолефинов С4-С5, циклопентана и гексанов - от 0, 01 % до 1, 00 %.
В настоящем стандарте использованы нормативные ссылки на следующие межгосударственные стандарты:
ГОСТ 12.4.253-2013 (EN 166:2002) Система стандартов безопасности труда. Средства индивидуальной защиты глаз. Общие технические требования
ГОСТ 1770-74 (ИСО 1042-83, ИСО 4788-80) Посуда мерная лабораторная стеклянная. Цилиндры, мензурки, колбы, пробирки. Общие технические условия
ГОСТ 2517-2012 Нефть и нефтепродукты. Методы отбора проб
ГОСТ 2603-79 Реактивы. Ацетон. Технические условия
ГОСТ 3022-80 Водород технический. Технические условия
ГОСТ 3118-77 Реактивы. Кислота соляная. Технические условия
ГОСТ 4461-79 Реактивы. Кислота азотная. Технические условия
ГОСТ 6613-86 Сетки проволочные тканые с квадратными ячейками. Технические условия
ГОСТ 6709-72 Вода дистиллированная. Технические условия
ГОСТ 9147-80 Посуда и оборудование лабораторные фарфоровые. Технические условия
ГОСТ 10679-76 Газы углеводородные сжиженные. Метод определения углеводородного состава
ГОСТ 13861-89 (ИСО 2503-83) Редукторы для газопламенной обработки. Общие технические условия
ГОСТ 14921-78 Газы углеводородные сжиженные. Методы отбора проб
ГОСТ 17433-80 Промышленная чистота. Сжатый воздух. Классы загрязненности
ГОСТ 17567-81 Хроматография газовая. Термины и определения
ГОСТ 24104-2001 Весы лабораторные. Общие технические требования*
──────────────────────────────
* В Российской Федерации действует ГОСТ Р 53228-2008 "Весы неавтоматического действия. Часть 1. Метрологические и технические требования. Испытания".
ГОСТ 25336-82 Посуда и оборудование лабораторные стеклянные. Типы, основные параметры и размеры
ГОСТ 28498-90 Термометры жидкостные стеклянные. Общие технические требования. Методы испытаний
Примечание - При пользовании настоящим стандартом целесообразно проверить действие ссылочных стандартов в информационной системе общего пользования - на официальном сайте Федерального агентства по техническому регулированию и метрологии в сети Интернет или по ежегодному информационному указателю "Национальные стандарты", который опубликован по состоянию на 1 января текущего года, и по выпускам ежемесячного информационного указателя "Национальные стандарты" за текущий год. Если ссылочный стандарт заменен (изменен), то при пользовании настоящим стандартом следует руководствоваться заменяющим (измененным) стандартом. Если ссылочный стандарт отменен без замены, то положение, в котором дана ссылка на него, применяется в части, не затрагивающей эту ссылку.
3.1 Хроматограф газовый, оснащенный:
а) детектором по теплопроводности (далее - ДТП), обеспечивающим предел обнаружения массовой доли компонентов не менее 0, 001 %. Допускается применять пламенно ионизационный детектор (далее - ПИД), обеспечивающий получение результатов по настоящему методу анализа;
б) насадочной или капиллярной колонкой;
в) термостатом колонок с программируемым регулированием скорости подъема температуры, обеспечивающим поддержание заданной температуры с погрешностью не более 0, 1 °С в диапазоне рабочих температур;
г) программным обеспечением, выполняющим функции управления хроматографом, обработки хроматографических данных; предусматривающим автоматизированную и ручную обработку хроматограмм; позволяющим получать графическое изображение хроматограммы, идентификацию пиков, определение площади хроматографических пиков, расчет результатов анализа методом внутренней нормализации, а также представление и хранение данных;
д) электронными средствами поддержания скорости и давления потоков газа-носителя, водорода и воздуха, обеспечивающими получение стабильных характеристик удерживания определяемых компонентов;
е) насадочным или капиллярным испарителем.
3.2 Смеси жидкостные или газо-жидкостные поверочные газовые, утвержденного типа на основе парафиновых, моно- и диолефиновых углеводородов С3-С5 и н-гексана.
3.3 Редуктор баллонный по ГОСТ 13861.
3.4 Насос вакуумный любого типа.
3.5 Весы лабораторные специального класса точности с ценой деления 0, 0001 г по ГОСТ 24104.
3.6 Термометр лабораторный с ценой деления 0, 1 °С по ГОСТ 28498.
3.7 Колба круглодонная типа КГУ-2-2-100 или КГУ-3-2-100 по ГОСТ 25336.
3.8 Цилиндр 1-100 по ГОСТ 1770.
3.9 Стакан вместимостью 100 см3 по ГОСТ 1770.
3.10 Барометр-анероид диапазоном измерений от 80 до 106 кПа с ценой деления 0, 1 кПа по [1].
3.11 Гигрометр диапазоном измерений относительной влажности от 20 % до 90 % с абсолютной погрешностью 5 % по [2].
3.12 Пробоотборник металлический по ГОСТ 14921.
3.13 Колбонагреватель лабораторный типа ПЭ-4100.
3.14 Сита лабораторные с сетками по ГОСТ 6613 или [3].
3.15 Печь муфельная электрическая, обеспечивающая нагрев до 1100 °С с погрешностью ± 20 °С типа СНОЛ 3/11 по [4].
3.16 Микрошприц по [5] или любого типа, обеспечивающий точное введение заданного объема пробы.
3.17 Шкаф сушильный любого типа, обеспечивающий нагревание до 150 °С.
3.18 Чашка фарфоровая по ГОСТ 9147.
3.19 Эксикатор 2-230 по ГОСТ 25336.
3.20 Гелий сжатый марки А по [6].
3.21 Водород марки А по ГОСТ 3022.
3.22 Воздух сжатый класса 1 по ГОСТ 17433.
3.23 Носитель твердый - измельченный диатомитовый кирпич (диатомит) с фракцией от 0, 14 до 0, 25 мм или от 0, 25 до 0, 50 мм или цветохром 1К с фракцией от 0, 16 до 0, 25 мм или от 0, 31 до 0, 50 мм.
3.24 Фазы жидкие для хроматографии квалификации ч. д. а.: триэтиленгликольдибутират (ТЭГДБ) по [7] или диэтиленгликольдибутират (ДЭГДБ) по [8], или пентаэритриттетрабутират (ПЭТБ) по [9].
3.25 Ацетон по ГОСТ 2603.
3.26 Эфир диэтиловый по [10].
3.27 Кислота соляная по ГОСТ 3118.
3.28 Кислота азотная по ГОСТ 4461.
3.29 Вода дистиллированная по ГОСТ 6709.
3.30 Бумага индикаторная по [11] или [12].
Средства измерений поверяют в установленном порядке.
Допускается применять другие средства измерения, метрологические характеристики которых не уступают указанным выше.
4.1 Испытания проводят при следующих условиях:
- температура окружающей среды - (25 ± 10) °С;
- относительная влажность окружающей среды - от 30 % до 80 %;
- атмосферное давление - от 84, 0 до 106, 7 кПа (от 630 до 800 мм рт. ст.);
- напряжение переменного тока - (
) В;
- частота переменного тока - (50 ± 1) Гц;
- отсутствие механических воздействий, внешних электрических и магнитных полей, влияющих на работу аппаратуры;
- отсутствие агрессивных газов и паров.
4.2 Условия выполнения хроматографического анализа
4.2.1 Условия выполнения анализа и требования к составной насадочной колонке приведены в таблице 1.
|
Параметр |
Значение |
|
Длина колонки, м: |
6 |
|
секции 1 (25 г ТЭГДБ на 100 г твердого носителя) |
3 |
|
секции 2 (25 г ПЭТБ на 100 г твердого носителя) |
3 |
|
Внутренний диаметр колонки, мм |
3 |
|
Температура термостата колонок, °С |
40 - 50 |
|
Температура термостата детектора (ДТП или ПИД), °С |
120 ± 10 |
|
Температура термостата испарителя, °С |
100 ± 10 |
|
Газ-носитель: | |
|
для ДТП |
Гелий |
|
для ПИД |
Гелий, азот |
|
Расход газа-носителя, см3/мин* |
40 - 50 |
|
Объем пробы, мм3 (мкл): | |
|
ДТП |
2, 0 - 5, 0 |
|
ПИД |
0, 1 - 0, 2 |
|
Продолжительность анализа, мин |
20 - 25 |
|
* Расходы вспомогательных газов для ПИД (воздух, водород, поддув газа-носителя) устанавливают в соответствии с рекомендациями руководства по эксплуатации хроматографа. | |
4.2.2 Условия выполнения анализа и требования к капиллярным колонкам приведены в таблице 2.
|
Параметр |
WCOT-колонка |
PLOT-колонка |
|
Материал колонки |
Плавленый кварц | |
|
Длина колонки, м |
100 |
30 |
|
Внутренний диаметр колонки, мм |
0, 25 |
0, 53 |
|
Неподвижная фаза; толщина пленки, мкм |
Полидиметилсилоксан; 0, 5 |
- |
|
Сорбент; толщина слоя, мкм |
- |
Al2O3/Na2SO4; 15 |
|
Начальная температура термостата колонок, °С |
35 |
35 |
|
Время выдерживания, мин |
13 |
2, 5 |
|
Скорость первого этапа нагревания термостата колонки, °С/мин |
10 |
5 |
|
Конечная температура первого этапа нагревания термостата колонки, °С |
45 |
100 |
|
Время выдерживания, мин |
15 |
0 |
|
Скорость второго этапа нагревания термостата колонки, °С/мин |
1 |
10 |
|
Конечная температура нагревания термостата колонки, °С |
60 |
180 |
|
Температура испарителя, °С |
100 |
100 |
|
Температура детектора, °С |
250 |
250 |
|
Температура крана-переключателя на обратную продувку, °С |
120 |
- |
|
Газ-носитель |
Гелий (азот) | |
|
Расход газа-носителя, см3/мин |
40 |
6, 5 |
|
Расход водорода, см3/мин |
20 |
50 |
|
Расход воздуха, см3/мин |
200 |
500 |
|
Соотношение деления потока |
- |
1:40 |
|
Объем пробы, мм3 |
0, 50 | |
|
Время анализа, мин |
20 - 25 | |
|
Примечание - В зависимости от модели используемого хроматографа и аналитической колонки допускается изменять условия анализа с целью их оптимизации для обеспечения разделения компонентов не хуже, чем на типовых хроматограммах, приведенных в приложении А. | ||
5.1 Отбор проб пентановых фракций - по ГОСТ 14921 в герметичные пробоотборники типа ПГО или ПУ из нержавеющей стали вместимостью от 50 до 400 см3. Можно использовать пробоотборники (контейнеры) проточного типа с двумя вентилями, изготовленные из материалов, стойких к воздействию компонентов пентановых фракций, рассчитанных на диапазон рабочих температур как в пробоотборном узле, так и при транспортировании, хранении и анализе пробы.
При использовании пробоотборников поршневого типа (постоянного давления) пробы отбирают в соответствии с руководством по эксплуатации пробоотборника.
Примечания
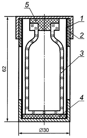
1 Для отбора проб пентановых фракций можно использовать стеклянную емкость типа виалы или пенициллинового флакона вместимостью от 25 до 50 см3, с навинчивающейся или обжимной крышкой со сквозным отверстием в центре, герметизированной прокладкой из маслобензостойкой самоуплотняющейся резины. Флакон помещают в латунный или эбонитовый контейнер (стакан) со смотровой прорезью и навинчивающейся крышкой, плотно прижимающей пробку к горловине флакона и имеющей в центре отверстие для отбора проб. Схема контейнера приведена на рисунке Б.1 (см. приложение Б).
2 При отборе проб на штуцер пробоотборного узла навинчивают гайку с вмонтированной в нее иглой от шприца. Для заполнения пробой прокалывают иглой от шприца пробку флакона, размещенного в контейнере. Одновременно в пробку флакона вставляют другую иглу для вытеснения воздуха.
5.2 Пробы пентановых фракций отбирают из трубопроводов или емкостей для хранения в специально оборудованных точках отбора таким образом, чтобы отобранная проба была представительной для анализируемого продукта.
5.3 Линия отбора проб должна быть по возможности короткой, изготовленной из нержавеющей стали марки 12Х18Н10Т или 08Х18Н12Т, или другой марки с аналогичными свойствами, и оборудована приборами контроля давления и температуры продукта.
Примечания
1 В точках отбора устанавливают фильтры для улавливания механических частиц.
2 В местах отбора проб не должно быть покрытий, содержащих органические материалы.
5.4 При отборе проб пентановых фракций оператор должен иметь средства индивидуальной защиты: защитные очки по ГОСТ 12.4.253, спецодежду и обувь.
5.5 Отобранную пробу маркируют.
5.6 Отобранную пробу хранят на расстоянии не менее 1 м от отопительных приборов при температуре не выше 15 °С в помещении, оборудованном приточно-вытяжной вентиляцией.
6.1 Перед выполнением анализа проводят:
а) подготовку хроматографической колонки;
б) подготовку измерительной аппаратуры.
6.2 Подготовка хроматографической колонки
6.2.1 Для выполнения анализа применяют насадочные или капиллярные хроматографические колонки, обеспечивающие степень разделения компонентов пробы не менее 0, 8-1, 0. Степень разделения вычисляют по ГОСТ 17567.
В настоящем стандарте для измерения массовой доли компонентов пентановых фракций используют составную насадочную колонку с диатомитовым носителем, обработанным ТЭГДБ и ПЭТБ. Можно применять открытые капиллярные колонки типа DB-1 с полидиметилсилоксановой пленкой (WCOT-колонка) или с оксидом алюминия, модифицированным сульфатом натрия (PLOT-колонка).
Примечание - Для определения компонентного состава пентановых фракций можно использовать насадочные колонки с оксидом алюминия, модифицированным вазелиновым маслом, или трепелом зикеевского карьера (ТЗК), обработанным динонилфталатом и вазелиновым маслом по ГОСТ 10679.
6.2.2 Приготовление сорбентов
Очищенный от пыли диатомит требуемой фракции помещают в круглодонную колбу, заливают смесью соляной и азотной кислот в соотношении 3:1 (царская водка) и выдерживают 3 ч. (Предупреждение - Все процедуры проводят в вытяжном шкафу). Затем осторожно сливают раствор кислот и промывают диатомит водой. Заканчивают промывание дистиллированной водой до нейтральной реакции по лакмусовой бумаге, затем высушивают в сушильном шкафу при температуре 150 °С и прокаливают 3 ч в муфельной печи при температуре 1000 °С. Прокаленный диатомит охлаждают в эксикаторе до температуры окружающей среды. При использовании цветохрома 1К в качестве твердого носителя его сушат в сушильном шкафу 3 ч при температуре от 150 °С до 200 °С и охлаждают в эксикаторе. На подготовленный твердый носитель наносят жидкую фазу из расчета 15-25 г жидкой фазы на 100 г твердого носителя. Вычисленное количество жидкой фазы растворяют в ацетоне или диэтиловом эфире. Затем помещают в две круглодонные колбы одинаковое количество твердого носителя и наливают в одну колбу раствор ТЭГДБ (или ДЭГДБ), в другую - раствор ПЭТБ. Раствор должен полностью покрывать весь твердый носитель (на 35-40 г твердого носителя следует взять 70-80 см3 растворителя). Содержимое двух колб выдерживают 30 мин при температуре окружающей среды, периодически перемешивая стеклянной палочкой. Затем растворитель испаряют с помощью колбонагревателя с температурой от 75 °С до 80 °С до сыпучего состояния сорбента, периодически перемешивая его легким встряхиванием или вращением колбы. Остатки растворителя удаляют с использованием вакуумного насоса в течение 30 мин при той же температуре. Высушенные сорбенты отсеивают от пыли и хранят в закрытых светонепроницаемых склянках.
6.3 Подготовка хроматографической колонки
6.3.1 Насадочная составная колонка состоит из двух соединенных секций стандартных хроматографических колонок длиной 3 м.
6.3.2 Подготовку хроматографических колонок и заполнение их сорбентами выполняют по инструкции, прилагаемой к хроматографу.
Примечание - Первой по ходу газа-носителя размещают секцию с ТЭГДБ.
6.3.3 Подготовленную колонку устанавливают в термостат хроматографа и, не присоединяя к детектору, кондиционируют от 5 до 7 ч при температуре 80 °С в токе газа-носителя с расходом от 40 до 50 см3/мин. Затем колонку охлаждают до температуры окружающей среды, подсоединяют ее выходной конец к детектору и проверяют герметичность газовой линии. Концы колонки должны входить до упора в испаритель и детектор.
6.3.4 При определении компонентного состава пентановых фракций, в которых отсутствуют примеси олефиновых углеводородов, обе секции составной хроматографической колонки могут быть заполнены сорбентом с ТЭГДБ.
6.3.5 При выполнении анализа с использованием капиллярных колонок их установку и кондиционирование выполняют в соответствии с рекомендациями изготовителя колонок.
Примечания
1 Готовая хроматографическая колонка может входить в комплект поставки и устанавливаться в хроматограф на предприятии-изготовителе.
2 Замену хроматографической колонки проводят в соответствии с рекомендациями руководства по эксплуатации хроматографа.
6.4 Кондиционирование хроматографической колонки
Колонку кондиционируют, если при эксплуатации прибора превышен уровень шумов нулевой линии, приведенный в методике поверки, или изменились характеристики удерживания компонентов, установленные программой сбора и обработки хроматографических данных.
Примечание - Кондиционирование колонки проводят в хроматографе по 6.3.3.
6.5 Монтаж и подготовка аппаратуры
Монтаж электрических и газовых линий и подготовку аппаратуры к анализу выполняют в соответствии с руководством по эксплуатации прибора.
Примечание - Все газовые линии, а также детали основного и вспомогательного оборудования, контактирующие с компонентами пентановых фракций, должны быть изготовлены из коррозионно-стойкого инертного по отношению к компонентам пентановых фракций материала.
7.1 Включают хроматограф согласно инструкции изготовителя. После стабилизации нулевой линии на максимально чувствительной шкале прибора приступают к выполнению анализа.
Примечание - Перед выполнением анализа проводят холостой опыт, позволяющий получить информацию о работе оборудования и определить наличие (накопление) в аналитической системе остаточных нелетучих компонентов от предыдущих проб. Холостой опыт также целесообразно проводить после выполнения анализа.
7.2 Образец для анализа отбирают охлажденным шприцем из пробоотборника (или контейнера для проб), предварительно охлажденного до температуры от 0 °С до 5 °С, и быстро вводят в испаритель хроматографа.
Примечание - Можно вводить пробы с помощью шприца с клапаном для удерживания образца или использовать другие дозирующие устройства (системы), обеспечивающие воспроизводимость вводимого объема образца.
Типовые хроматограммы пентановых фракций и искусственной смеси углеводородов С2-С6, полученные в условиях по 4.2, приведены на рисунках А.1-А.10 (приложение А).
8.1 Идентификацию компонентов анализируемого продукта проводят по относительным характеристикам удерживания, значения которых приведены в таблице 3, или по хроматограммам поверочных газовых смесей (чистых компонентов), или по типовым хроматограммам, приведенным на рисунках А.1-А.10 (приложение А).
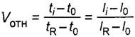
8.2 Значение относительного удерживаемого объема Vотн вычисляют по формуле
,
(1)
где ti - время удерживания i-го компонента, мин;
t0 - время удерживания несорбирующегося компонента (воздух), мин;
tR - время удерживания компонента сравнения (н-пентан), мин;
li - расстояние удерживания i-го компонента, мм;
l0 - расстояние удерживания несорбирующегося компонента (воздух), мм;
lR - расстояние удерживания компонента сравнения (н-пентан), мм.
|
Компонент |
ТЭГДБ + ПЭТБ |
ТЭГДБ |
|
Этан |
0, 05 |
0, 04 |
|
Этен |
0, 05 |
0, 04 |
|
Пропан |
0, 14 |
0, 14 |
|
Пропен |
0, 19 |
0, 17 |
|
Изобутан |
0, 27 |
0, 26 |
|
н-Бутан |
0, 39 |
0, 38 |
|
2, 2-Диметилпропан |
0, 41 |
0, 41 |
|
Бутен-1 |
0, 50 |
0, 50 |
|
Изобутен |
0, 50 |
0, 50 |
|
транс-Бутен-2 |
0, 61 |
0, 61 |
|
цис-Бутен-2 |
0, 70 |
0, 72 |
|
Изопентан |
0, 80 |
0, 78 |
|
3-Метилбутен-1 |
0, 89 |
0, 89 |
|
н-Пентан |
1, 00 |
1, 00 |
|
Пентан-1 |
1, 22 |
1, 26 |
|
2-Метилбутен-1 |
1, 38 |
1, 41 |
|
2, 2-Диметилбутан |
1, 41 |
1, 41 |
|
транс-Пентен-2 |
1, 48 |
1, 53 |
|
цис-Пентен-2 |
1, 61 |
1, 65 |
|
2-Метилбутен-2 |
1, 77 |
1, 83 |
|
2, 3-Диметилбутан |
1, 92 |
1, 97 |
|
2-Метилпентан |
1, 92 |
1, 97 |
|
Изопрен |
2, 17 |
2, 26 |
|
3-Метилпентан |
2, 25 |
2, 37 |
|
Циклопентан |
2, 34 |
2, 37 |
|
н-Гексан |
2, 58 |
2, 43 |
|
* Приведенные характеристики удерживания можно корректировать, используя соответствующие поверочные газовые смеси или стандартные образцы состава газовых смесей утвержденного типа. | ||
8.3 Количественный состав анализируемого продукта вычисляют методом внутренней нормализации площадей пиков с помощью программного обеспечения. Значение приведенной площади пика i-го компонента Si вычисляют по формуле
,
(2)
где
- площадь пика i-го компонента, единицы измерений;
Ki - относительный коэффициент чувствительности i-го компонента.
Значения коэффициентов чувствительности для ДТП и ПИД при использовании гелия в качестве газа-носителя приведены в таблице 4.
|
Компонент |
Коэффициент чувствительности* | |
|
ДТП |
ПИД | |
|
Этан |
0, 87 |
1, 03 |
|
Этен |
0, 86 |
0, 97 |
|
Пропан |
1, 00 |
1, 01 |
|
Пропен |
0, 96 |
0, 97 |
|
н-Бутан |
1, 00 |
1, 00 |
|
Изобутан |
1, 04 |
1, 00 |
|
2, 2-Диметилпропан |
1, 06 |
0, 99 |
|
Бутен-1 |
1, 02 |
0, 97 |
|
Изобутен |
1, 00 |
0, 97 |
|
транс-Бутен-2 |
0, 97 |
0, 97 |
|
цис-Бутен-2 |
0, 95 |
0, 97 |
|
Изопентан |
1, 04 |
0, 99 |
|
3-Метилбутен-1 |
1, 04 |
0, 97 |
|
н-Пентан |
1, 01 |
0, 99 |
|
Пентен-1 |
1, 04 |
0, 97 |
|
2-Метилбутен-1 |
1, 04 |
0, 97 |
|
транс-Пентен-2 |
0, 99 |
0, 97 |
|
2, 2-Диметилбутан |
1, 09 |
0, 99 |
|
цис-Пентен-2 |
1, 04 |
0, 97 |
|
2-Метилбутен-2 |
1, 04 |
0, 97 |
|
2, 3-Диметилбутан |
1, 09 |
0, 99 |
|
2-Метилпентан |
1, 05 |
0, 99 |
|
3-Метилпентан |
1, 07 |
0, 99 |
|
Циклопентан |
1, 06 |
0, 97 |
|
Изопрен |
1, 08 |
0, 94 |
|
н-Гексан |
1, 03 |
0, 99 |
|
Бензол |
- |
0, 90 |
|
* Значения коэффициентов вычислены по данным [13] и [14]. Указанные значения коэффициентов рекомендуется уточнять, используя стандартные образцы состава газовых смесей утвержденного типа. | ||
8.4 Массовую долю компонента в анализируемой пробе Xi, %, вычисляют по формуле
,
(3)
где Si - приведенная площадь пика i-го компонента, единицы площади;
∑Si - сумма приведенных площадей пиков всех компонентов, единицы площади.
8.5 За результат измерений принимают среднеарифметическое значение двух последовательных измерений, вычисленное с точностью до сотых долей процента.
9.1 Повторяемость (сходимость)
Два результата последовательно выполненных анализов, полученные одним исполнителем, признаются приемлемыми с 95 %-ной доверительной вероятностью, если абсолютное расхождение между ними не превышает значений, указанных в таблице 5.
9.2 Воспроизводимость
Два результата анализов, полученные в двух разных лабораториях, признаются приемлемыми с 95 %-ной доверительной вероятностью, если абсолютное расхождение между ними не превышает значений, указанных в таблице 5.
|
Компонент |
Диапазон измерений, % масс. |
Предел повторяемости (сходимости) r, % масс. |
Предел воспроизводимости R, % масс. |
|
Сумма парафинов С2-С4 |
До 0, 20 включ. |
0, 06 |
0, 11 |
|
Св. 0, 20 до 0, 60 включ. |
0, 14 |
0, 28 | |
|
Св. 0, 60 до 2, 00 включ. |
0, 42 |
0, 83 | |
|
Св. 2, 00 до 6, 00 включ. |
1, 16 |
2, 33 | |
|
Изопентан, н-пентан |
До 3, 00 включ. |
0, 42 |
0, 83 |
|
Св. 3, 00 до 10, 00 включ. |
1, 11 |
2, 22 | |
|
Св. 10, 00 до 20, 00 включ. |
2, 08 |
4, 16 | |
|
Св. 80, 00 до 99, 00 включ. |
1, 27 |
2, 55 | |
|
Циклопентан + сумма С6 |
До 0, 30 включ. |
0, 14 |
0, 28 |
|
Св. 0, 30 до 1, 00 включ. |
0, 19 |
0, 39 | |
|
Св. 1, 00 до 3, 00 включ. |
0, 33 |
0, 66 | |
|
Св. 3, 00 до 6, 00 включ. |
0, 55 |
1, 11 | |
|
Сумма олефинов С4-С5 |
До 0, 30 включ. |
0, 11 |
0, 22 |
|
Св. 0, 30 до 1, 00 включ. |
0, 28 |
0, 55 |
Приложение А
(обязательное)

1 - воздух; 2 - изопентан; 3 - н-пентан
Рисунок А.1 - Типовая хроматограмма пентановой фракции на колонке с ТЭГДБ + ПЭТБ (ДТП)

1 - воздух; 2 - этан; 3 - пропан; 4 - изобутан; 5 - н-бутан; 6 - 2, 2-диметилпропан; 7 - изопентан; 8 - н-пентан
Рисунок А.2 - Типовая хроматограмма изопентановой фракции на колонке с ТЭГДБ + ПЭТБ (ДТП)

1 - воздух; 2 - изопентан; 3 - 3-метилбутен-1; 4 - н-пентан; 5 - пентен-1; 6 - 2-метилбутен-1; 7 - транс-пентен-2; 8 - цис-пентен-2; 9 - 2-метилбутен-2; 10 - изопрен
Рисунок А.3 - Типовая хроматограмма изоамиленовой фракции на колонке с ТЭГДБ + ПЭТБ (ДТП)

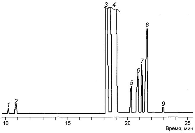
1 - воздух; 2 - этан; 3 - пропан; 4 - пропилен; 5 - изобутан; 6 - н-бутан; 7 - бутен-1 + изобутен; 8 - транс-бутен; 9 - цис-бутен; 10 - изопентан; 11 - 3-метилбутен-1; 12 - н-пентан; 13 - пентен-1; 14 - 2-метилбутен-1; 15 - транс-пентен-2; 16 - цис-пентен-2; 17 - 2-метилбутен-2; 18 - 2, 3-диметил-бутан + 2-метилпентан; 19 - 3-метилпентан; 20 - н-гексан
Рисунок А.4 - Хроматограмма модельной смеси углеводородов С2-С6 на колонке с ТЭГДБ + ПЭТБ (ДТП)

1 - воздух; 2 - изобутан; 3 - н-бутан; 4 - изопентан; 5 - н-пентан; 6 - 2, 3-диметилбутан + 2-метилпентан; 7 - 3-метилпентан + циклопентан; 8 - н-гексан
Рисунок А.5 - Типовая хроматограмма пентановой фракции на колонке с ТЭГДБ

1 - воздух; 2 - пропан; 3 - изобутан; 4 - н-бутан; 5 - 2, 2-диметилпропан; 6 - изопентан; 7 - н-пентан
Рисунок А.6 - Типовая хроматограмма изопентановой фракции на колонке с ТЭГДБ

1 - н-бутан; 2 - изопентан; 3 - н-пентан; 4 - транс-пентен-2; 5 - цис-пентен-2; 6 - 2, 2-диметилбутан; 7 - циклопентан; 8 - н-гексан
Рисунок А.7 - Типовая хроматограмма фракции н-пентана на WCOT-колонке типа DB-1

1 - пропан; 2 - пропадиен; 3 - изобутан; 4 - н-бутан; 5 - 2, 2-дибутилпропан; 6 - 3-метилбутен-1; 7 - изопентан; 8 - пентен-1; 9 - 2-метилбутен-1; 10 - н-пентан; 11 - изопрен; 12 - транс-бутен-2; 13 - 3, 3-диметилбутен; 14 - цис-бутен-2; 15 - 2-метилбутен-2; 16 - транс-пентадиен-1, 3; 17 - 2, 2-диметилбутан; 18 - циклопентан; 19 - 2-метилпентан; 20 - 3-метилпентан
Рисунок А.8 - Типовая хроматограмма фракции изопентана на WCOT-колонке типа DB-1

1 - 3-метилбутен-1; 2 - изопентан-1; 3 - пентен-1; 4 - 2-метилбутен-1; 5 - н-пентан; 6 - изобрен; 7 - транс-пентан-2; 8 - цис-пентен-2; 9 - 2-метилбутен-2; 10 - транс-пентадиен-1, 3; 11 - 2, 2-диметилбутан; 12 - циклопентен; 13 - 4-метилпентен; 14 - 3-метилпентен-1; 15 - циклопентан + 2, 3-диметилбутан; 16 - 2, 3-диметилбутен-1; 17 - 4-метил-транс-пентен; 18 - 2-метилпентан; 19 - 4-метил-цис-пентен-2; 20 - 3-метилпентан; 21 - 2-метилпентан-1; 22 - гексен-1; 23 - этилбутен-1; 24 - н-гексан
Рисунок А.9 - Типовая хроматограмма изоамиленовой фракции на WCOT-колонке типа DB-1

1 - изобутан; 2 - н-бутан; 3 - изопентан; 4 - н-пентан; 5 - транс-пентен-2; 6 - 2-метилбутен; 7 - пентен-1; 8 - цис-пентен-2; 9 - н-гексан
Рисунок А.10 - Типовая хроматограмма фракции н-пентана на PLOT-колонке с Al2O3/Na2SO4
Приложение Б
(рекомендуемое)

1 - латунный стакан; 2 - крышка стакана; 3 - пенициллиновый флакон; 4 - резиновая прокладка; 5 - пробка
Рисунок Б.1 - Контейнер для отбора проб
Библиография
|
[1] |
ТУ 25-11.1513-79 |
Барометр-анероид метеорологический БАММ-1 |
|
[2] |
ТУ 25-11.1645-84 |
Гигрометр психрометрический типа ВИТ |
|
[3] |
ГОСТ Р 51568-99 |
Сита лабораторные из металлической проволочной сетки. Технические условия |
|
[4] |
ТУ 2434-030-05842324-2011 |
Электропечь муфельная лабораторная типа СНОЛ |
|
[5] |
ТУ 4321-011-12908609-08 |
Микрошприцы для газовой хроматографии серии SGE-Chromatec |
|
[6] |
ТУ 0271-135-31323949-2005 |
Гелий газообразный (сжатый). Технические условия |
|
[7] |
ТУ 6-09-4457-77 |
Триэтиленгликольдибутират ч. д. а. для хроматографии. Технические условия |
|
[8] |
ТУ 6-09-10-1424-80 |
Диэтиленгликольдибутират для хроматографии. Технические условия |
|
[9] |
ТУ 6-09-10-1424-78 |
Пентаэритриттетрабутират ч. д. а. для хроматографии. Технические условия |
|
[10] |
ТУ 2600-001-43852015-10 |
Эфир диэтиловый ч. д. а. Технические условия |
|
[11] |
ТУ 2642-054-23050963-2008 |
Бумага индикаторная универсальная |
|
[12] |
ТУ 6-09-3403-78 |
Бумага индикаторная лакмусовая красная |
|
[13] |
Мак-Нейр Г., Бонелли Э. Введение в газовую хроматографию. - М.: Мир, 1970 | |
|
[14] |
Лейбниц Э., Штруппе Х.Г. Руководство по газовой хроматографии. - М.: Мир, 1988 | |


