ГОСТ 20851.3-93 УДОБРЕНИЯ МИНЕРАЛЬНЫЕ. МЕТОДЫ ОПРЕДЕЛЕНИЯ МАССОВОЙ ДОЛИ КАЛИЯ
Mineral fertilizers. Methods for determination of pottassium content
Предисловие
1 Разработан Госстандартом России
Внесен Техническим секретариатом Межгосударственного Совета по стандартизации, метрологии и сертификации
2 Принят Межгосударственным Советом по стандартизации, метрологии и сертификации 21 октября 1993 г.
За принятие проголосовали:
|
Наименование государства |
Наименование национального органа по стандартизации |
|
Республика Кыргызстан |
Кыргызстандарт |
|
Республика Молдова |
Молдовастандарт |
|
Российская Федерация |
Госстандарт России |
|
Республика Таджикистан |
Таджикстандарт |
|
Туркменистан |
Туркменглавгосинспекция |
|
Украина |
Госстандарт Украины |
3 Взамен ГОСТ 20851.3-75
Настоящий стандарт распространяется на минеральные удобрения, содержащие калий в пересчете на K2O от 3 до 63 %, и устанавливает следующие методы определения массовой доли калия:
весовой тетрафенилборатный - в однокомпонентных удобрениях с массовой долей K2O от 9 до 63 %;
весовой тетрафенилборатный - в сложных удобрениях с массовой долей K2O от 3 до 39 %;
пламенно-фотометрический - в сложных и однокомпонентных удобрениях с массовой долей K2O от 3 до 53 %;
радиометрический - в однокомпонентных удобрениях с массовой долей K2O от 38 до 63 %;
расчетный - в хлористом калии с массовой долей K2O от 54 до 63 %;
весовой перхлоратный - в однокомпонентных удобрениях с массовой долей K2O от 9 до 63 %.
При выполнении анализов должны выполняться общие требования безопасности при работе в аналитической лаборатории.
При выполнении измерений на радиометрических приборах должны выполняться требования безопасности, указанные в инструкции к прибору.
Отбор и подготовку проб анализируемого продукта проводят в соответствии с ГОСТ 21560.0 и нормативно-технической документацией на конкретный продукт.
Массу аналитической пробы сокращают на механическом делителе или вручную методом последовательного квартования до 30-50 г, растирают на механическом истирателе или в ступке до полного прохождения через сито с отверстием 0, 25 мм. Для сложных удобрений допускается использовать сито с отверстием 0, 5 мм. При этом результаты измерений округляют до целого числа. Комочки, не прошедшие через сито, растирают до полного прохождения. В случае необходимости аналитическую пробу перед измельчением и просеиванием высушивают в соответствии с ГОСТ 20851.4, разд.1.
Каждое измерение, начиная со взятия навески, выполняют дважды.
За результат анализа принимают среднее арифметическое двух параллельных измерений при условии, что расхождение между ними не превышает допускаемых расхождений, указанных в соответствующих методах настоящего стандарта, при доверительной вероятности Р = 0, 95.
Если расхождения между результатами параллельных измерений превышают допускаемые, то измерение повторяют.
Результат анализа записывают в документ о качестве продукта с точностью, устанавливаемой нормативно-технической документацией на конкретный продукт.
Для проведения анализов и приготовления растворов реактивов применяют дистиллированную воду по ГОСТ 6709, реактивы квалификации "химически чистый" и "чистый для анализа", если нет других указаний, стеклянную мерную посуду, поверенную по ГОСТ 8.234.
Допускается применение средств измерения с метрологическими характеристиками и оборудования с техническими характеристиками не хуже, а также реактивов по качеству не ниже указанных в настоящем стандарте.
Методы определения массовой доли калия, включенные в настоящий стандарт, предусматривают определение массовой доли K2O (X) в пробе продукта с натуральной влажностью.
Для пересчета на сухое вещество, если это предусмотрено в НТД на конкретный продукт, X умножают на коэффициент K, который вычисляют до третьего десятичного знака по формуле
,
где XH₂O - массовая доля воды, определяемая по ГОСТ 20851.4.
При определении массовой доли K2O в предварительно высушенной аналитической пробе X делят на K.
При вычислении массовой доли K2O в расчетных формулах используют следующие коэффициенты пересчета на K2O:
0, 1314 - коэффициент пересчета тетрафенилбората калия на K2O;
1, 205 - коэффициент пересчета K+ на K2O;
0, 6317 - коэффициент пересчета хлористого калия на K2O;
0, 340 - коэффициент пересчета перхлората калия на K2O.
Контроль соответствия результатов анализа установленным требованиям (контроль точности анализа) должен осуществляться на базе применения стандартных образцов состава, аттестованных смесей веществ, веществ известного состава, точность установления которого достаточна для проведения контроля качества аналитических работ. Допускается контролировать правильность результатов анализа способом добавок, содержащих точно установленные количества калия в единице объема раствора. Способы приготовления таких растворов - по ГОСТ 4212.
Контроль правильности анализов (см. приложение) проводят одновременно с определением массовой доли K2O в аналитических пробах не реже 1 раза в месяц, а также при внесении изменений в нормативно-технические документы; при вводе нового, замене или модернизации лабораторного оборудования; после проведения ремонта, поверки средств измерений; при смене специалиста, выполняющего анализы удобрений; после длительных перерывов в работе и при других изменениях, влияющих на результат анализа.
Метод применяется при определении массовой доли калия от 9 до 63 % в пересчете на K2O в однокомпонентных калийных удобрениях.
2.1. Сущность метода
Метод основан на осаждении калия тетрафенилборатом натрия в уксуснокислой среде и последующем высушивании и взвешивании полученного осадка тетрафенилбората калия.
2.2 Средства измерений, вспомогательные устройства, реактивы и материалы
Баня водяная.
Весы лабораторные общего назначения по ГОСТ 24104 2-го класса точности с наибольшим пределом взвешивания 200 г.
Весы лабораторные общего назначения по ГОСТ 24104 4-го класса точности с наибольшим пределом взвешивания 500 г.
Набор гирь Г-2-210 по ГОСТ 7328 2-го класса точности.
Набор гирь Г-4-610 по ГОСТ 7328 4-го класса точности.
Электроплитка закрытого типа с переключателем мощностью до 800 Вт или аналогичная.
Шкаф сушильный лабораторный, обеспечивающий температуру нагрева от 50 до 250 °С с погрешностью регулирования температуры ± 5 °С или аналогичный.
Термометры технические стеклянные с пределами измерения от 0 до 250 °С с ценой деления шкалы от 1 до 2 °С или с аналогичными техническими характеристиками.
Воронка В-75-110XC по ГОСТ 25336.
Колбы 2-100 (500, 1000) - 2 по ГОСТ 1770.
Колба с тубусом 1-1000 по ГОСТ 25336.
Бюретка 3-2-50-0, 1 по ГОСТ 20292.
Пипетки 2-2-1 (5, 10, 25, 50).
Стаканы Н-1-100 (150, 600, 1000) ТС по ГОСТ 25336.
Тигель ТФ-20 (32) - ПОР 16ХС по ГОСТ 25336 или аналогичный с пористостью p 10 или p 36.
Цилиндры 1-10 (100, 250, 500) по ГОСТ 1770.
Эксикатор 1 (2) - 190 по ГОСТ 25336.
Чашка кристаллизационная ЧКЦ-2-2500 по ГОСТ 25336 или аналогичная кювета.
Капельница 2-25 (50) ХС по ГОСТ 25336 или аналогичная.
Насос водоструйный по ГОСТ 25336 или другой с аналогичной технической характеристикой.
Алюминий хлористый 6-водный по ГОСТ 3759, раствор массовой концентрации хлористого алюминия 5 г/дм3.
Натрия тетрафенилборат, раствор массовой концентрации тетрафенилбората натрия 35 г/дм3.
Кислота соляная по ГОСТ 3118, х. ч.
Кислота уксусная по ГОСТ 61, х. ч., ледяная и раствор с объемной долей уксусной кислоты 1 и 10 %.
Натрия гидроокись по ГОСТ-4328, раствор молярной концентрации с (NaOH) = 0, 1 моль/дм3.
Спирт этиловый ректификованный технический по ГОСТ 18300.
Метиловый красный (индикатор), раствор массовой концентрации 1 г/дм3; готовят по ГОСТ 4919.1.
Фильтры бумажные "синяя лента", "белая лента" или фильтры из лабораторной фильтровальной бумаги ФНС по ГОСТ 12026.
2.3. Подготовка к анализу
2.3.1. Приготовление раствора хлористого алюминия: 0, 5 г хлористого алюминия, взвешенного с точностью до второго десятичного знака, помещают в мерную колбу вместимостью 100 см3, доводят водой до метки и перемешивают.
2.3.2. Приготовление раствора тетрафенилбората натрия: 35 г тетрафенилбората натрия взвешивают с точностью до первого десятичного знака, переносят в стакан вместимостью 1000 см3, приливают 500 см3 воды, 5 см3 раствора хлористого алюминия, доводят объем воды до 1000 см3, перемешивают и после отстаивания в течение 12 ч фильтруют через бумажный фильтр "синяя лента", приливая первые порции фильтрата обратно к фильтруемому раствору.
Используют свежеприготовленный раствор или раствор со сроком хранения не более 15 дней при температуре не выше плюс 5 °С.
В зависимости от количества анализируемых проб объем приготовляемого раствора можно увеличить или уменьшить, соответственно пропорционально увеличив или уменьшив объемы используемых реактивов.
2.3.3. Приготовление раствора уксусной кислоты с объемной долей 1 %: в стакан вместимостью 150 см3 приливают цилиндром 99 см3 воды и добавляют пипеткой 1 см3 уксусной кислоты.
2.3.4. Приготовление раствора уксусной кислоты с объемной долей 10 %: в стакан вместимостью 150 см3 приливают цилиндром 90 см3 воды и добавляют пипеткой 10 см3 уксусной кислоты.
2.3.5. Приготовление промывного раствора: в стакане вместимостью 150 см3 смешивают 100 см3 уксусной кислоты с объемной долей 1 % и 3-4 см3 раствора тетрафенилбората натрия.
2.3.6. Приготовление раствора гидроокиси натрия: 4 г гидроокиси натрия взвешивают с точностью до второго десятичного знака, количественно переносят в мерную колбу вместимостью 1000 см3, растворяют в свежепрокипяченной и охлажденной воде, охлаждают, доводят водой до метки и перемешивают.
Раствор хранят в закрытом крышкой полиэтиленовом сосуде.
2.3.7. Подготовка фильтрующих тиглей
Новые тигли промывают соляной кислотой и горячей дистиллированной водой с помощью вакуум-насоса, заливая в тигли сначала соляную кислоту, затем воду не менее 5 раз.
Сильно загрязненные фильтрующие тигли кипятят в дистиллированной воде с добавлением соляной кислоты (10 см3 кислоты в 1000 см3 воды) в течение 30 мин. После этого раствор сливают, тигли заливают дистиллированной водой и кипятят еще 30 мин, 2-3 раза меняя воду.
Тигли с осадком тетрафенилбората калия очищают от осадка механическим способом с помощью жесткой кисточки под струей воды.
Чистые фильтрующие тигли высушивают в предварительно нагретом сушильном шкафу при температуре (120 ± 5)°С в течение 60 мин, охлаждают в эксикаторе в течение 45 мин и взвешивают на весах с точностью до третьего десятичного знака.
2.3.8. Подготовка анализируемого раствора
5 г подготовленного в соответствии с разд. 1 продукта взвешивают с точностью до третьего десятичного знака. Навеску количественно переносят в мерную колбу вместимостью 500 см3, приливают 150-200 см3 воды, нагревают до кипения и кипятят в течение 15 мин. Затем раствор охлаждают до комнатной температуры и доводят раствор водой до метки. Колбу закрывают пробкой и тщательно перемешивают. Достаточное для анализа количество раствора фильтруют через сухой фильтр "белая лента" или фильтр из фильтровальной бумаги ФНС, отбрасывая первые 40-50 см3 фильтрата.
Допускается уменьшать навеску пробы до 2, 0; 2, 5 г, используя мерные колбы вместимостью 200 и 250 см3 соответственно.
2.4. Проведение анализа
Отбирают пипеткой аликвотную часть анализируемого раствора (п. 2.3.8) в количествах, указанных в табл. 1, в химический стакан вместимостью 100 см3 добавляют воду до 30 см3, прибавляют 1 - 2 капли раствора метилового красного и по каплям раствор уксусной кислоты с объемной долей 10 % до перехода окраски в красный цвет.
Таблица 1
|
Наименование анализируемого продукта |
Аликвотная часть анализируемого раствора, см3 |
|
Каинит |
25 |
|
Калимагнезия |
10 |
|
Соль калийная смешанная 40 %-ная |
10 |
|
Калий сернокислый |
5 |
|
Калий хлористый |
5 |
Если раствор при прибавлении индикатора сразу принимает красную окраску, его нейтрализуют раствором гидроокиси натрия концентрации 0, 1 моль/дм3 до перехода окраски раствора в желтую, а затем добавляют раствор уксусной кислоты с объемной долей 10 % до восстановления красной окраски.
Раствор нагревают на водяной бане до температуры (50 ± 10) °С. Снимают химический стакан с водяной бани и сразу же по каплям добавляют при помощи бюретки или пипетки при перемешивании 10 см3 раствора тетрафенилбората натрия (при этом выпадает белый осадок). Раствору с осадком дают отстояться на водяной бане в течение 5 мин, затем быстро охлаждают в кристаллизаторе с холодной водой или в проточной воде до температуры ниже 20 °С и дают постоять в течение 10 мин.
Устанавливают в колбу с тубусом предварительно высушенный, охлажденный в эксикаторе и взвешенный фильтрующий тигель включают насос и декантируют жидкость над осадком через фильтрующий тигель. Осадок промывают в химическом стакане небольшой порцией (от 3 до 4 см3) промывного раствора и количественно переносят из стакана на фильтр. Промывают химический стакан и осадок на фильтре небольшими порциями (до 4 см3) промывного раствора, каждый раз полностью отсасывая раствор. Затем промывают стакан и осадок на фильтре три раза порциями до 5 см3 холодной воды. Общий расход промывных вод должен составлять 50 см3.
Высушивают тигель с осадком в сушильном шкафу при (120 ± 5) °С в течение 60 мин, охлаждают в эксикаторе в течение 45 мин и взвешивают с точностью до третьего десятичного знака.
2.5. Обработка результатов
Массовую долю калия в пересчете на K2O (Х1) в процентах вычисляют по формуле
,
где m - масса пустого тигля, г;
m1 - масса тигля с осадком тетрафенилбората калия, г;
500 - общий объем анализируемого раствора, см3;
V - объем аликвотной части анализируемого раствора, см3;
m2 - масса навески анализируемого продукта, г.
За результат анализа принимают среднее арифметическое значение двух параллельных измерений, допускаемое расхождение между которыми не должно превышать значений, указанных в табл. 2, при доверительной вероятности Р = 0, 95.
Допускаемые абсолютные суммарные погрешности результатов измерений при доверительной вероятности Р = 0, 95 приведены в табл. 2.
Таблица 2
|
Массовая доля K2O, % |
Допускаемое расхождение между двумя параллельными измерениями K2O, % |
Абсолютная суммарная погрешность результата измерения K2O, % |
|
От 9 до 25 включ. |
0, 3 |
± 0, 2 |
|
Св. 25 |
0, 8 |
± 0, 4 |
Результат анализа округляют до числа значащих цифр, указанных в таблице технических требований в нормативно-технической документации на конкретный продукт.
Метод применяется при определении массовой доли калия от 3 до 39 % в пересчете на K2O в сложных удобрениях.
3.1. Сущность метода
Метод основан на осаждении калия тетрафенилборатом натрия в слабощелочной среде с предварительным связыванием мешающих определению примесей формалином и трилоном Б и последующем высушивании и взвешивании полученного осадка тетрафенилбората калия.
3.2. Средства измерений, вспомогательные устройства, реактивы и материалы
Электроплитка закрытого типа с переключателем мощностью до 800 Вт или аналогичная.
Весы лабораторные общего назначения по ГОСТ 24104 2-го класса точности с наибольшим пределом взвешивания 200 г.
Весы лабораторные общего назначения по ГОСТ 24104 - 4-го класса точности с наибольшим пределом взвешивания 500 г.
Набор гирь Г-2-210 по ГОСТ 7328 2-го класса точности.
Набор гирь Г-4-610 по ГОСТ 7328 4-го класса точности.
Шкаф сушильный лабораторный, обеспечивающий температуру нагрева от 50 до 250 °С, с погрешностью регулирования температуры 4-5 °С.
Термометры технические стеклянные с пределами измерения от 0 до 250 °С с ценой деления шкалы 1 или 2 °С или термометры с аналогичными техническими характеристиками.
Воронка В-56-80ХС по ГОСТ 25336.
Стакан В-1-100 ТС по ГОСТ 25336.
Цилиндры 1-10 (100, 500, 1000) по ГОСТ 1770.
Пипетка 2-2-10 по ГОСТ 20292.
Прибор для отмеривания жидкости по ГОСТ 6859.
Капельница 2-25 (50) ХС по ГОСТ 25336 или аналогичная.
Эксикатор 2-250 по ГОСТ 25336.
Бюретка 1-2-100-0, 20.
Колба с тубусом 1-1000 по ГОСТ 25336.
Колбы 1-500 (1000) - 2 по ГОСТ 1770.
Тигель ТФ-20 ПОР 16 ХС по ГОСТ 25336 или аналогичный с размером пор 10-16 мкм.
Чашка кристаллизационная ЧКЦ-2-2500 по ГОСТ 25336 или аналогичная кювета.
Насос водоструйный по ГОСТ 25336 или другой с аналогичными техническими характеристиками.
Формалин технический по ГОСТ 1625, раствор с объемной долей формальдегида 20 % (d = 1, 056).
Соль динатриевая этилендиамин-N, N, N`, N`-тетрауксусной кислоты 2-водная (трилон Б) по ГОСТ 10652, раствор молярной концентрации с (C10H14O8N2Na2·2H2O) = 0, 1 моль/дм3.
Натрия гидроокись по ГОСТ 4326, раствор молярной концентрации с (NaOH) = 0, 2 моль/дм3 и с (NaOH) = 1 моль/дм3.
Натрия тетрафенилборат, раствор массовой концентрации 35 г/дм3.
Кислота соляная по ГОСТ 3118, х. ч.
Спирт этиловый ректификованный технический по ГОСТ 18300.
Фенолфталеин (индикатор), спиртовой раствор массовой концентрации 10 г/дм3; готовят по ГОСТ 4919.1.
Фильтры бумажные "синяя лента", "белая лента" или фильтры из лабораторной фильтровальной бумаги ФНС по ГОСТ 12026.
3.3. Подготовка к анализу
3.3.1. Приготовление раствора формалина
500 см3 формалина и 500 см3 воды, отмеренные цилиндрами, сливают в склянку вместимостью 1000 см3 и перемешивают.
Концентрацию приготовленного раствора формалина проверяют по плотности. Плотность раствора формалина d = 1, 056, если плотность раствора меньше, то добавляют формалин, если плотность раствора больше, то добавляют воду.
Раствор хранят не более 1 мес.
3.3.2. Приготовление раствора трилона Б
37, 2 г трилона Б взвешивают с точностью до второго десятичного знака, переносят в мерную колбу вместимостью 1000 см3, растворяют в воде, доводят водой до метки, перемешивают и фильтруют.
3.3.3. Приготовление раствора гидроокиси натрия молярной концентрации с (NaOH) = 1 моль/дм3
40 г гидроокиси натрия взвешивают с точностью до второго десятичного знака, количественно переносят в мерную колбу вместимостью 1000 см3, растворяют в свежепрокипяченной и охлажденной воде, охлаждают, доводят водой до метки и перемешивают. Раствор хранят в закрытом крышкой полиэтиленовом сосуде.
3.3.4. Приготовление раствора гидроокиси натрия молярной концентрации с (NaOH) = 0, 2 моль/дм3
Раствор гидроокиси натрия концентрации с (NaOH) = 0, 2 моль/дм3 готовят разведением раствора, приготовленного в соответствии с п. 3.3.3.
Цилиндром берут 200 см3 раствора гидроокиси натрия концентрации с (NaOH) = 1 моль/дм3, переносят в мерную колбу вместимостью 1000 см3, доводят водой до метки и перемешивают. Раствор хранят в закрытом крышкой полиэтиленовом сосуде.
3.3.5. Раствор тетрафенилбората натрия готовят в соответствии с п. 2.3.2, добавляя перед разбавлением цилиндром 10 см3 гидроокиси натрия концентрации с (NaOH) = 0, 2 моль/дм3.
3.3.6. Приготовление промывного раствора
К 100 см3 воды добавляют 3-4 см3 раствора тетрафенилбората натрия.
3.3.7. Подготовку фильтрующих тиглей проводят, как указано в п. 2.3.7.
3.3.8. Подготовка анализируемого раствора
5 г продукта, подготовленного, как указано в разд. 1, взвешивают с точностью до третьего десятичного знака, помещают в мерную колбу вместимостью 500 см3, приливают 350-400 см3 дистиллированной воды и перемешивают на механическом встряхивателе в течение 30 мин. Затем объем раствора доводят водой до метки, перемешивают и фильтруют через фильтр "белая лента" или фильтр из фильтровальной бумаги, отбрасывая первую порцию фильтрата 30-50 см3.
Примечания
1 Допускается уменьшать навеску пробы до 2, 0, 2, 5 г, используя мерные колбы вместимостью 200 и 250 см3 соответственно.
2 Допускается ручное перемешивание раствора.
3.4. Проведение анализа
Пипеткой отбирают 10 см3 анализируемого раствора, приготовленного в соответствии с п. 3.3.8, переносят в стакан вместимостью 100 см3, добавляют прибором для отмеривания жидкости 10 см3 раствора формалина, цилиндром 10 см3 раствора трилона Б и в присутствии 2-3 капель раствора фенолфталеина нейтрализуют раствором гидроокиси натрия концентрации с (NaOH) = 1 моль/дм3 до устойчивой, не исчезающей при нагревании розовой окраски.
Раствор нагревают до начала кипения, затем, помешивая, добавляют из бюретки 10 см3 раствора тетрафенилбората натрия и сразу охлаждают в кристаллизаторе с холодной водой или в проточной воде до температуры (20 ± 5) °С (при этом выпадает белый осадок).
После отстаивания в течение 15 мин раствор с осадком фильтруют под вакуумом через предварительно высушенный и взвешенный фильтрующий тигель. Осадок из стакана переносят на фильтр и промывают пять раз промывным раствором порциями по 3-4 см3, каждый раз полностью отсасывая раствор. Затем осадок промывают три раза водой порциями по 5 см3 и сушат в сушильном шкафу при температуре (120 ± 5) °С в течение 60 мин. Охлаждают в эксикаторе в течение 45 мин и взвешивают с точностью до третьего десятичного знака.
3.5. Обработка результатов
Массовую долю калия в пересчете на K2O (Х2) в процентах вычисляют по формуле
,
где m1 - масса тигля с осадком тетрафенилбората калия, г;
m - масса пустого тигля, г;
m2 - масса навески анализируемого продукта, г;
500 - общий объем анализируемого раствора, см3;
10 - объем аликвотной части анализируемого раствора, см3.
За результат анализа принимают среднее арифметическое результатов двух параллельных измерений, допускаемое расхождение между которыми при доверительной вероятности Р = 0, 95 не должно превышать 0, 4 %.
Допускаемая абсолютная суммарная погрешность результатов измерений при доверительной вероятности Р = 0, 95 составляет ± 0, 2 %.
Результат анализа округляют до числа значащих цифр, указанных в нормативно-технической документации на конкретный продукт.
Метод применяется при определении массовой доли калия от 3 до 53 % в пересчете на K2O в сложных и однокомпонентных удобрениях.
Сущность метода
Метод основан на сравнении интенсивности излучения резонансных линий калия, образующихся в пламени при введении в него анализируемых растворов и растворов сравнения.
При фотометрировании используют наиболее интенсивные резонансные линии калия 766, 5 и 769, 9 нм.
4.2. Средства измерений, вспомогательные устройства, реактивы и материалы
Фотометр пламенный типа ПФМ, ФПА, ФП-101, ПАЖ-1 или аналогичные приборы (в том числе импортные), не уступающие указанным по своим метрологическим характеристикам.
Пропан-бутан (бытовой в баллоне) или газ из городской сети.
Весы лабораторные 2-го класса точности по ГОСТ 24104 с наибольшим пределом взвешивания 200 г.
Набор гирь Г-2-210 по ГОСТ 7328 2-го класса точности.
Печь электрическая муфельная типа ПМ-8 с диапазоном регулирования температуры от 400 до 1000 °С.
Плитка электрическая.
Бюретки 1-2-10-0, 05; 1 (3) - 2-50-0, 1.
Пипетки 1-2-5, 2-2-10 (15, 20, 25, 50).
Колбы мерные 1 (2) - 200 (250, 500, 1000) по ГОСТ 1770.
Колбы конические Кн-2-250-ТС по ГОСТ 25336.
Стаканы Н-1 (2) - 50 ТХС или В-(2) - 50 ТС по ГОСТ 25336.
Цилиндр 1-500 по ГОСТ 1770.
Калий хлористый по ГОСТ 4234, х. ч.
Натрий хлористый по ГОСТ 4233, х. ч.
Магний сернокислый 7-водный по ГОСТ 4523, х. ч.
Кислота соляная по ГОСТ 3118, х. ч., раствор массовой концентрации 70 г/дм3.
Спирт этиловый ректификованный технический по ГОСТ 18300 или спирт этиловый технический по ГОСТ 17299, водный раствор в соотношении 1:1.
Фильтры бумажные "белая лента" или фильтры из лабораторной фильтровальной бумаги ФНС по ГОСТ 12026.
Бумага масштабно-координатная по ГОСТ 334.
Основной раствор и растворы сравнения должны храниться в полиэтиленовых сосудах.
4.3. Подготовка к анализу
4.3.1. Приготовление основного раствора и растворов сравнения для анализа сернокислого калия и сложных удобрений
Основной раствор хлористого калия массовой концентрации калия 1 мг/см3; готовят по ГОСТ 4212:
взвешивают 1, 9100 г хлористого калия, предварительно прокаленного до постоянной массы при 500 °С и охлажденного в эксикаторе, растворяют его в воде в мерной колбе вместимостью 1000 см3, доводят объем раствора водой до метки и перемешивают.
Раствор соляной кислоты готовят следующим образом:
170 см3 концентрированной соляной кислоты вливают в мерную колбу вместимостью 1000 см3 с водой, доводят объем раствора водой до метки и перемешивают.
Для приготовления растворов сравнения используют мерные колбы вместимостью 500 см3, в каждую колбу вносят по 20 см3 раствора соляной кислоты и основного раствора хлористого калия, взятого в количестве, указанном в табл. 3.
4.3.2. Приготовление растворов сравнения для анализа калийно-магниевых однокомпонентных удобрений с массовой долей K2O до 40 % (калимагнезия, каинит, соль калийная смешанная 40 %-ная)
Таблица 3
|
Номер раствора сравнения |
Объем основного раствора хлористого калия, см3 |
Массовая концентрация калия в растворе сравнения, мг/см3 |
Объем раствора соляной кислоты, см3 |
|
0 |
0 |
0, 00 |
20 |
|
1 |
5 |
0, 01 |
20 |
|
2 |
10 |
0, 02 |
20 |
|
3 |
15 |
0, 03 |
20 |
|
4 |
20 |
0, 04 |
20 |
|
5 |
25 |
0, 05 |
20 |
|
6 |
30 |
0, 06 |
20 |
|
7 |
35 |
0, 07 |
20 |
|
8 |
40 |
0, 08 |
20 |
|
9 |
45 |
0, 09 |
20 |
|
10 |
50 |
0, 10 |
20 |
Растворы сравнения готовят с фоновыми добавками растворов хлористого натрия и сернокислого магния.
Основной раствор хлористого калия массовой концентрации калия 1 мг/см3 готовят по п. 4.3.1.
Основной раствор хлористого натрия массовой концентрации натрия 1 мг/см3 готовят по ГОСТ 4212:
взвешивают 2, 5420 г хлористого натрия, предварительно прокаленного до постоянной массы при 500 °С и охлажденного в эксикаторе, растворяют его в воде в мерной колбе вместимостью 1000 см3, доводят объем раствора водой до метки и перемешивают.
Фоновый раствор массовой концентрации сернокислого магния 2 г/дм3 готовят следующим образом:
взвешивают 1, 0 г сернокислого магния, помещают в мерную колбу вместимостью 500 см3, растворяют в воде, доводят водой до метки и тщательно перемешивают.
Растворы сравнения готовят в соответствии с табл. 4. В мерные колбы вместимостью 500 см3 помещают по 25 см3 фонового раствора сернокислого магния и основные растворы калия и натрия.
4.3.3. Приготовление анализируемого раствора
4.3.3.1. Извлечение калия при анализе однокомпонентных калийных и калийно-магниевых удобрений
5 г продукта, приготовленного, как указано в разд. 1, взвешивают с точностью до третьего десятичного знака, переносят количественно в мерную колбу вместимостью 500 см3, добавляют 150 - 200 см3 воды, нагревают до кипения и кипятят в течение 15 мин.
Таблица 4
|
Номер раствора сравнения |
Объем |
Массовая концентрация в растворе сравнения, мг/см3 | ||||
|
основного раствора калия, см3 |
основного раствора натрия, см3 |
фонового раствора магния, см3 | ||||
|
калия |
натрия | |||||
|
0 |
0 |
0 |
25 |
0 |
0 | |
|
1 |
5 |
5 |
25 |
0, 01 |
0, 01 | |
|
2 |
10 |
10 |
25 |
0, 02 |
0, 02 | |
|
3 |
15 |
15 |
25 |
0, 03 |
0, 03 | |
|
4 |
20 |
20 |
25 |
0, 04 |
0, 04 | |
|
5 |
25 |
25 |
25 |
0, 05 |
0, 05 | |
|
6 |
30 |
30 |
25 |
0, 06 |
0, 06 | |
|
7 |
35 |
35 |
25 |
0, 07 |
0, 07 | |
|
8 |
40 |
40 |
25 |
0, 08 |
0, 08 | |
|
9 |
45 |
45 |
25 |
0, 09 |
0, 09 | |
|
10 |
50 |
50 |
25 |
0, 10 |
0, 10 | |
Затем охлаждают до комнатной температуры, доводят водой до метки и перемешивают. Фильтруют через сухой фильтр "белая лента", отбрасывая первые 40-50 см3 фильтрата.
4.3.3.2. Извлечение калия при анализе сложных удобрений
5 г продукта, приготовленного, как указано в разд. 1, взвешивают с точностью до третьего десятичного знака, помещают в мерную колбу вместимостью 500 см3, приливают 350-400 см3 воды и перемешивают на механическом встряхивателе в течение 30 мин. По окончании перемешивания обмывают пробку дистиллированной водой, доводят объем раствора водой до метки, тщательно перемешивают и фильтруют через сухой фильтр "белая лента". Первые порции фильтрата 40-50 см3 отбрасывают.
Примечания
1 Допускается уменьшать массу навески до 2, 0; 2, 5 г, используя мерные колбы вместимостью 200 или 250 см3 соответственно.
2. Допускается растворять пробу при перемешивании вручную.
4.3.3.3. Разбавление
Анализируемый раствор, приготовленный в соответствии с пп. 4.3.3.1 или 4.3.3.2, отбирают пипеткой в количествах, указанных в табл. 5, в зависимости от формы удобрений и помещают в мерную колбу соответствующей вместимости, указанной в табл. 5.
При анализе сернокислого калия и сложных удобрений в колбы добавляют раствор соляной кислоты в количестве, указанном в табл. 5.
Таблица 5
|
Наименование удобрений |
Объем анализируемого раствора, см3 |
Вместимость мерной колбы при разбавлении, см3 |
Объем раствора соляной кислоты, см3 |
Используемые растворы сравнения |
|
Однокомпонентные и калийно-магниевые удобрения: | ||||
|
соль калийная смешанная 40 %-ная |
5 |
250 |
- |
Табл. 4 |
|
калимагнезия |
5 |
250 |
- |
" |
|
каинит |
10 |
250 |
- |
" |
|
калий сернокислый |
5 |
500 |
20 |
Табл. 3 |
|
Сложные удобрения | ||||
|
до 10 % K2O |
10 |
250 |
10 |
" |
|
св. 10 % K2O |
5 |
250 |
10 |
" |
4.3.4. Подготовка прибора к анализу и условия проведения анализа
Пламенный фотометр подготавливают для работы в соответствии с инструкцией по его эксплуатации. Условия проведения анализа подбирают с учетом типа пламенного фотометра и вида газа.
Обязательные условия проведения анализа:
предварительный прогрев прибора не менее 20 мин;
распыление дистиллированной воды для заполнения гидравлического затвора распылительной системы;
установка чувствительности фотометра таким образом, чтобы при распылении раствора сравнения максимальной концентрации интенсивность излучения соответствовала не менее 80 единицам шкалы;
глубина погружения капилляра распылительной системы должна быть постоянной;
количество раствора, распыляемого в единицу времени, должно быть постоянным;
после каждого измерения распыляют дистиллированную воду до возвращения стрелки гальванометра к нулевому значению;
градуировочная кривая при постоянных условиях работы периодически должна проверяться через 8-10 измерений по трем точкам;
по окончании измерений распылительную систему пламенного фотометра промывают (при отключенной подаче газа) в течение 3 мин водой, подкисленной соляной кислотой, а затем в течение 2 мин промывают раствором (спирт : вода - 1:1), затем в течение 2 мин засасывают воздух с целью осушения распылителя.
4.4. Проведение анализа
4.4.1. Способ градуировочного графика
Растворы сравнения и анализируемые растворы наливают в стаканчики вместимостью 50 см3.
Проверяют нулевое значение шкалы измерительного прибора путем распыления раствора сравнения с нулевой массовой концентрацией калия.
Фотометрирование растворов сравнения проводят дважды в порядке возрастания концентрации калия до и после фотометрирования анализируемых растворов. Фотометрирование анализируемых растворов также проводят дважды, промывая распылительную систему водой после каждого измерения.
По окончании фотометрирования строят градуировочный график, откладывая по оси абсцисс массовые концентрации ионов калия в растворах сравнения, а по оси ординат - соответствующие им показания прибора.
Для построения каждой точки градуировочного графика вычисляют среднее арифметическое значение двух показаний прибора.
Масштаб градуировочного графика:
по оси абсцисс - 0, 001 мг/см3 ионов калия соответствует 5 мм,
по оси ординат - одно деление прибора соответствует 2 мм.
4.4.2. Способ ограничивающих растворов
Готовят всю серию растворов сравнения.
Проверяют нулевое значение шкалы измерительного прибора путем распыления раствора с нулевой массовой концентрацией калия.
Последовательно распыляют растворы сравнения и анализируемый раствор. По показаниям прибора выбирают два раствора сравнения, с меньшей и большей концентрацией калия, чем в анализируемом растворе, и вновь проводят фотометрирование. Поочередно вводят в распылитель раствор сравнения с меньшей концентрацией калия, затем анализируемый раствор и раствор сравнения с большей концентрацией калия. Измерения повторяют в обратном порядке. Рассчитывают средние значения интенсивностей излучения по показаниям прибора и по ним рассчитывают массовую долю калия в соответствии с п. 4.5.2.
4.5. Обработка результатов
4.5.1. Обработка результатов по способу градуировочного графика
Для определения массовой доли калия в анализируемом растворе вычисляют среднее арифметическое значение интенсивности излучения по двум показаниям прибора
и по градуировочному графику находят массовую концентрацию калия.
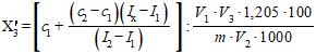
Массовую долю калия в пересчете на K2O (Х3) в процентах вычисляют по формуле
,
где с - массовая концентрация калия, найденная по градуировочному графику по среднему значению результатов двух измерений, мг/см3;
V1 - объем исходного анализируемого раствора, см3;
V2 - объем анализируемого раствора, использованного для разбавления, см3;
V3 - объем разбавленного анализируемого раствора, см3;
m - масса навески пробы, г;
1, 205 - коэффициент пересчета иона калия (K+) на оксид калия (K2O);
1000 - коэффициент пересчета граммов в миллиграммы;
100 - коэффициент пересчета в проценты.
4.5.2. Обработка результатов по способу ограничивающих растворов
Массовую долю калия в пересчете на K2O в процентах (Х`3) вычисляют по формуле
,
где с1 - массовая концентрация калия в растворе сравнения меньшей концентрации, мг/см3;
I1 - интенсивность излучения, соответствующая с1;
с2 - массовая концентрация калия в растворе большей концентрации, мг/см3;
I2 - интенсивность излучения, соответствующая с2;
Iх - интенсивность излучения анализируемого раствора.
4.5.3. За результат анализа принимают среднее арифметическое результатов двух параллельных измерений.
Допускаемое расхождение между двумя параллельными измерениями и абсолютная суммарная погрешность результатов измерения при доверительной вероятности Р = 0, 95 указаны в табл. 6.
Таблица 6
|
Массовая доля калия в пересчете на K2O, % |
Допускаемое расхождение между двумя параллельными измерениями K2O, % |
Абсолютная суммарная погрешность результата измерения K2O, % |
|
До 5 |
0, 4 |
± 0, 2 |
|
От 5 до 20 включ. |
0, 6 |
± 0, 3 |
|
Св. 20 до 30 включ. |
1, 2 |
± 0, 6 |
|
От 44 до 54 включ. |
1, 5 |
± 0, 8 |
Результат анализа округляют до числа значащих цифр, указанных в нормативно-технической документации на конкретный продукт.
Метод применяется при определении массовой доли калия от 38 до 63 % в пересчете на K2O в однокомпонентных удобрениях.
5.1. Сущность метода
Метод основан на измерении интенсивности излучения, возникающего при распаде естественного радиоактивного изотопа K40 проб анализируемых продуктов. Содержание изотопа K40 в смеси изотопов калия постоянно и составляет (0, 0119 ± 0, 0001) % по массе.
5.2. Средства измерений, вспомогательные устройства, реактивы и материалы
Секундомер механический типа С-1-2а.
Секундомер-таймер типа СТЦ-1 или аналогичный, в том числе встроенный в пересчетный прибор
Лабораторный измеритель концентрации калия "БЛИК".
Концентратомер типа БККР.
Радиометры удельной активности радионуклидов.
Комплексная установка малого фона типа УМФ или экранированная свинцом измерительная кювета с газоразрядными счетчиками типа СБТ-10, СТС-6 или другими аналогичными в комплекте с пересчетным прибором типа ПСО2-2ЕМ, ПП-16, ПСО 2-4 или другими аналогичными приборами.
Стандартные образцы состава однокомпонентного удобрения.
5.3 Подготовка к анализу
5.3.1. Градуировочную характеристику прибора определяют в соответствии с инструкцией по эксплуатации прибора по методике выполнения рабочих измерений с использованием стандартных образцов.
При использовании концентратомеров типа БККР на базе пересчетного прибора типа ПСО2-2ЕМ, ПСО 2-4 или аналогичных в комплекте с измерительным преобразователем градуировочную характеристику прибора определяют по комплектам из трех стандартных образцов. Гранулометрический состав и влажность стандартного образца, используемого для градуировки, должны соответствовать крупности и влажности анализируемого продукта.
5.3.2. Измерения должны проводиться при естественном радиационном фоне, соответствующем нормам радиационной безопасности.
5.3.3. Минимальное время измерения - 600 с.
5.4. Проведение анализа
В измерительную кювету засыпают пробу анализируемого продукта до заданного уровня. Кювету очищают от пыли анализируемого продукта и устанавливают в рабочее положение.
Выполнение измерений проводят в соответствии с инструкцией по эксплуатации прибора, включая одновременно секундомер и счетчик излучения.
5.5. Обработка результатов
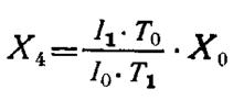
5.5.1. Массовую долю калия в пересчете на K2O (Х4) в процентах вычисляют по формуле
,
где I1 и I0 - излучение от анализируемого продукта и от стандартного образца, число импульсов;
Т1 и Т0 - время измерения интенсивности излучения анализируемого продукта и стандартного образца, с;
Х0 - массовая доля калия в стандартном образце в пересчете на K2O, %.
5.5.2. За результат анализа принимают среднее арифметическое результатов двух параллельных измерений, допускаемое расхождение между которыми не должно превышать 0, 8 %.
Допускаемая абсолютная суммарная погрешность результатов измерений при доверительной вероятности Р = 0, 95 составляет ± 0, 4 %.
Результат анализа округляют до числа значащих цифр, указанных в нормативно-технической документации на конкретный продукт.
Метод применяется при определении массовой доли калия от 54 до 63 % в пересчете на K2O в хлористом калии.
6.1. Сущность метода
Метод заключается в вычислении массовой доли хлористого калия вычитанием из 100 % суммы компонентов (массовых долей нерастворимого в воде остатка, хлористого натрия, сернокислого кальция, шестиводного хлористого магния и воды), измеренных химическими и физическими методами.
6.2. Метод определения нерастворимого в воде остатка
Метод применяется при определении массовой доли нерастворимого в воде остатка в хлористом калии в диапазоне от 0, 1 до 2, 0 %.
Метод основан на отделении нерастворимого остатка путем фильтрования растворенной анализируемой пробы и последующем высушивании и взвешивании осадка.
6.2.1. Средства измерений, вспомогательные устройства, реактивы и материалы
Электроплитка закрытого типа с переключателем мощностью до 800 Вт.
Воронка В-75-110 ХС, В-59-95 ХС по ГОСТ 25336.
Весы лабораторные общего назначения по ГОСТ 24104 2-го класса точности с наибольшим пределом взвешивания 200 г.
Набор гирь Г-2-210 по ГОСТ 7328 2-го класса точности.
Стаканчик для взвешивания СВ-24/10, СВ-34/12 по ГОСТ 25336
Колба 2-500-2 по ГОСТ 1770.
Сосуд из темного стекла.
Серебро азотнокислое по ГОСТ 1277, раствор массовой концентрации 5 г/дм3.
Фильтры бумажные "белая лента" или фильтры из лабораторной фильтровальной бумаги ФНС по ГОСТ 12026.
6.2.2. Подготовка к анализу
Фильтр "белая лента" помещают в стаканчик для взвешивания, высушивают в сушильном шкафу при температуре (105 ± 5)°С в течение 30 мин и после охлаждения в эксикаторе взвешивают. Результат записывают с точностью до третьего десятичного знака. Раствор азотнокислого серебра готовят следующим образом: взвешивают 0, 5 г азотнокислого серебра с точностью до второго десятичного знака. Навеску помещают в мерную колбу вместимостью 100 см3, доводят водой до метки, перемешивают. Раствор хранят в сосуде из темного стекла.
6.2.3. Проведение анализа
10 г хлористого калия взвешивают с точностью до четвертого десятичного знака. Навеску помещают в стакан вместимостью 400 см3, прибавляют 150 см3 воды, перемешивают и доводят до кипения. Затем раствор отфильтровывают в мерную колбу вместимостью 500 см3 через предварительно высушенный и взвешенный, как указано в п. 6.2.2, фильтр.
Нерастворимый остаток переносят на фильтр и промывают горячей водой до исчезновения реакции на хлор-ион в промывных водах (проба с раствором азотнокислого серебра). По охлаждении фильтрата колбу доливают водой до метки и тщательно перемешивают. Раствор используют для определения растворимых примесей.
Фильтр с нерастворимым остатком помещают в стаканчик для взвешивания и высушивают в сушильном шкафу при температуре (105 ± 5) °С в течение 1 ч и после охлаждения в эксикаторе в течение 45 мин взвешивают с точностью до третьего десятичного знака.
При определении массовой доли нерастворимого в воде остатка до 0, 2 % одновременно с пробой промывают 350 см3 горячей воды десять подготовленных в соответствии с п. 6.2.2 фильтров. Промытые фильтры высушивают в сушильном шкафу одновременно с фильтратом с нерастворимым остатком.
6.2.4. Обработка результатов
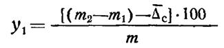
Массовую долю нерастворимого в воде остатка (y1) в процентах вычисляют по формуле
,
где m2 - масса стаканчика для взвешивания с фильтром и осадком, г;
m1 - масса стаканчика для взвешивания с пустым фильтром, г;
m - масса навески анализируемого продукта, г.
Массовую долю нерастворимого остатка до 0, 2 % вычисляют по формуле
,
где
- поправка на среднюю потерю массы фильтров после промывания, г;
m3i - масса стаканчика для взвешивания с i-м пустым фильтром до промывания, г;
m1i - масса стаканчика для взвешивания с i-м пустым фильтром после промывания, г.
За результат анализа принимают среднее арифметическое результатов двух параллельных измерений, расхождение между которыми не должно превышать допускаемых расхождений, приведенных в табл. 7.
Допускаемые абсолютные суммарные погрешности результатов измерений при доверительной вероятности Р = 0, 95 приведены в табл. 7.
Таблица 7
|
Массовая доля нерастворимого остатка, % |
Допускаемое расхождение между двумя параллельными измерениями н.о., % |
Абсолютная суммарная погрешность результата измерения н.о., % |
|
До 0, 2 включ. |
0, 06 |
± 0, 04 |
|
Св. 0, 2 до 1, 0 включ. |
0, 08 |
± 0, 06 |
|
Св. 1, 0 до 2, 0 включ. |
0, 17 |
± 0, 11 |
Результат анализа округляют до второго десятичного знака при массовой доле нерастворимого остатка до 1, 0 % и до первого десятичного знака при массовой доле нерастворимого остатка свыше 1, 0 до 2, 0 % включительно.
6.3. Пламенно-фотометрический метод определения хлористого натрия
Метод применяется при определении массовой доли хлористого натрия в хлористом калии от 0, 0 до 10, 0 %.
Метод основан на измерении интенсивности излучения натрия, вводимого в пламя в виде аэрозоля.
6.3.1. Средства измерения, вспомогательные устройства, реактивы и материалы
Фотометр пламенный типа ПФМ или аналогичные приборы (в том числе импортные), не уступающие указанному по своим метрологическим характеристикам.
Весы лабораторные общего назначения по ГОСТ 24104 2-го класса точности с наибольшим пределом взвешивания 200 г.
Набор гирь Г-2-210 по ГОСТ 7328 2-го класса точности.
Колба 2-250 (500) - 2 по ГОСТ 1770.
Колба Кн-2-250-34 ТС по ГОСТ 25336.
Пипетка 2-2 (5, 10, 15, 20, 25, 50, 100).
Бюретка 3-2-50 (100).
Калий хлористый для спектрального анализа, х. ч. или по ГОСТ 4234 х. ч., прокаленный до постоянной массы при 500 °С по ГОСТ 4212.
Натрий хлористый для спектрального анализа, х. ч. или по ГОСТ 4233, х. ч., прокаленный до постоянной массы при 500 °С по ГОСТ 4212.
Спирт этиловый ректификованный технический по ГОСТ 18300 или спирт этиловый технический по ГОСТ 17299.
6.3.2. Подготовка к анализу
6.3.2.1. Приготовление растворов сравнения
Раствор А массовой концентрации хлористого натрия 2 мг/см3 готовят следующим образом:
взвешивают 1, 000 г хлористого натрия с точностью до третьего десятичного знака. Навеску помещают в мерную колбу вместимостью 500 см3, растворяют в воде, доводят объем водой до метки, тщательно перемешивают.
Раствор Б готовят следующим образом:
9, 7 г хлористого калия взвешивают с точностью до второго десятичного знака. Навеску помещают в мерную колбу вместимостью 500 см3, растворяют в воде, доводят водой объем до метки, перемешивают.
Для приготовления растворов сравнения в колбы вместимостью 500 см3 вносят пипетками (от 5 до 25 см3 включительно) и бюретками (от 30 до 60 см3 включительно) раствор А в количествах, указанных в табл. 8, и по 50 см3 раствора Б.
Таблица 8
|
Номер раствора сравнения |
Объем раствора А см3 |
Массовая концентрация NaCl в растворе сравнения, мг/см3 |
|
0 |
0 |
0, 00 |
|
1 |
5 |
0, 02 |
|
2 |
10 |
0, 04 |
|
3 |
15 |
0, 06 |
|
4 |
20 |
0, 08 |
|
5 |
25 |
0, 10 |
|
6 |
30 |
0, 12 |
|
7 |
35 |
0, 14 |
|
8 |
40 |
0, 16 |
|
9 |
45 |
0, 18 |
|
10 |
50 |
0, 20 |
|
11 |
55 |
0, 22 |
|
12 |
60 |
0, 24 |
Содержимое колб доводят водой до метки и перемешивают. Все растворы хранят в полиэтиленовых банках. Срок хранения растворов - не более 1 мес.
6.3.2.2 Проверка правильности приготовления растворов сравнения
Прибор подготавливают к работе в соответствии с инструкцией по эксплуатации.
Измеряют интенсивность излучения натрия в растворах сравнения и строят градуировочный график, откладывая по оси абсцисс массовые концентрации хлористого натрия в растворах сравнения, по оси ординат - соответствующие им показания прибора.
Масштаб градуировочного графика по оси абсцисс:
1·10-3 мг/см3 Na+ - 5 мм, по оси ординат одно деление прибора - 2 мм. Каждая точка градуировочного графика должна представлять собой среднее арифметическое результатов трех наблюдений интенсивности излучения иона натрия.
Если при трехкратном измерении какого-либо раствора сравнения средний результат не укладывается в график, считают, что данный раствор приготовлен неправильно, и его готовят вновь.
6.3.2.3 Приготовление промывного раствора
В комическую колбу вместимостью 250 см3 вносят цилиндром по 100 см3 этилового спирта и воды, перемешивают.
6.3.3. Проведение анализа
В мерную колбу вместимостью 250 см3 отбирают пипеткой 25 см3 раствора, приготовленного в соответствии с п. 6.2.3, после отделения нерастворимого остатка объем колбы доводят водой до метки, перемешивают.
Перед началом измерений вводят в распылитель раствор сравнения с максимальной концентрацией хлористого натрия и устанавливают стрелку измерительного прибора на деление, соответствующее концентрации данного раствора на графике.
При проведении измерений в распылитель вводят поочередно анализируемый раствор и два ограничивающих раствора сравнения, в одном из которых концентрация хлористого натрия больше, а в другом меньше, чем в анализируемом. Для исключения влияния и изменения давления газа и воздуха измерения повторяют в обратном порядке. Для расчетов берут среднее значение результатов двух измерений. Если показания регистрирующего прибора отличаются более чем на 1, 5 деления, распылитель промывают спиртовым раствором или водой и измерения повторяют.
6.3.4. Обработка результатов
Массовую долю хлористого натрия (y2) в процентах вычисляют по формуле
,
где с1 - массовая концентрация хлористого натрия в растворе сравнения меньшей концентрации, мг/см3;
с2 - массовая концентрация хлористого натрия в растворе сравнения большей концентрации, мг/см3;
Iх - показания прибора при измерении анализируемого раствора;
I1, I2 - показания прибора при измерении растворов сравнения меньшей и большей концентрации хлористого натрия соответственно;
500, 250 - вместимости мерных колб, см3;
25 - объем аликвотной части анализируемого раствора, см3;
1000 - коэффициент пересчета граммов в миллиграммы;
m - масса навески анализируемого продукта, г.
За результат анализа принимают среднее арифметическое результатов двух параллельных измерений, допускаемое расхождение между которыми не должно превышать значений, приведенных в табл. 9.
Допускаемые абсолютные суммарные погрешности результатов измерений при доверительной вероятности Р = 0, 95 приведены в табл. 9.
Таблица 9
|
Массовая доля NaCl, % |
Допускаемое расхождение между двумя параллельными измерениями NaCl, % |
Абсолютная суммарная погрешность результата измерения NaCl, % |
|
До 2, 0 включ. |
0, 10 |
± 0, 05 |
|
Св. 2, 0 до 3, 0 включ. |
0, 15 |
± 0, 09 |
|
" 3, 0 " 7, 0 " |
0, 25 |
± 0, 13 |
|
" 7, 0 " 10, 0 " |
0, 30 |
± 0, 17 |
Полученный результат округляют до второго десятичного знака.
6.4. Комплексонометрический метод определения сернокислого кальция
Метод устанавливает определение массовой доли сернокислого кальция в хлористом калии от 0, 04 до 0, 90 %.
Метод основан на способности динатриевой соли этилендиаминтетрауксусной кислоты (трилон Б) образовывать с ионами кальция в щелочной среде (рН > 12) прочное комплексное соединение. Конец реакции фиксируется с помощью различных индикаторов - эриохрома сине-черного Р, или хромового темно-синего, или смешанного индикатора, или тимолфталексона.
6.4.1. Средства измерений, вспомогательные устройства, реактивы и материалы
Бюретка 1 (3) 2-25-0, 1, 7-2-10.
Стакан В-1-100 (150, 400) ТС по ГОСТ 25336.
Колба 1-500 (1000, 2003) - 2 по ГОСТ 1770.
Колба Кн-1-250-19/26 ТС по ГОСТ 25336.
Капельница 2-50 ХС по ГОСТ 25336.
Пипетка 2-2-10 (1000).
Весы лабораторные общего назначения по ГОСТ 24104 2-го класса точности с наибольшим пределом взвешивания 200 г.
Набор гирь Г-2-210 по ГОСТ 7328 2-го класса точности.
Ступка фарфоровая N 4 по ГОСТ 9147.
Кружка фарфоровая N 4 с носиком по ГОСТ 9147.
Цилиндр 1-10 (25, 50, 100, 500) по ГОСТ 1770.
Сосуд из темного стекла.
Калия гидроокись по ГОСТ 24363, х. ч., раствор с массовой долей гидроокиси калия 10 %.
Соль динатриевая этилендиамин N, N, N`, N`-тетрауксусной кислоты 2-водная (трилон Б) по ГОСТ 10652, раствор концентрации с (C10H14O8N2Na2·2H2O) = 0, 025 моль/дм3 или 0, 01 моль/дм3.
Стандарт-титр трилона Б.
Калий сернокислый по ГОСТ 4145, х. ч.
Аммоний хлористый по ГОСТ 3773, х. ч., водный раствор с массовой долей хлористого аммония 25 %.
Гидроксиламина гидрохлорид по ГОСТ 5456.
Кислота соляная по ГОСТ 3118, х. ч.
Аммиак водный по ГОСТ 3760, х. ч.
Цинк по ГОСТ 3640, марка ЦВ или ЦО в чушках или цинк гранулированный, раствор в соляной кислоте концентрации с (ZnCl2) = 0, 025 моль/дм3.
Хромовый темно-синий, (кислотный хром темно-синий) 2-[(5-хлор-2-окси-фенил) азо-] - 1, 8 диоксинафталин 3, 6 дисульфокислоты динатриевая соль (индикатор).
Тимолфталексон 3, 3-бис - [N3 N-ди-(карбоксиметил)-аминометил]-тимолфталеин (индикатор).
Кальцеин-2`, 7`-бис - [N3 N-ди-(карбоксиметил)-аминометил]-флуоресцин (индикатор).
Эриохром сине-черный Р, цинковая соль (индикатор).
Эриохром черный Т (индикатор).
Триэтаноламин; 2, 2`, 2``-нитрилотриэтанол.
Спирт этиловый ректификованный технический по ГОСТ 18300 или спирт этиловый технический по ГОСТ 17299.
6.4.2. Подготовка к анализу
Раствор гидроокиси калия готовят следующим образом:
100 г гидроокиси калия взвешивают с точностью до первого десятичного знака. Навеску помещают в фарфоровую кружку, растворяют в 900 см3 воды и перемешивают до полного растворения.
Раствор трилона Б концентрации 0, 025 моль/дм3 готовят следующим образом:
9, 307 г трилона Б взвешивают с точностью до третьего десятичного знака. Навеску растворяют в 250 см3 воды и фильтруют в мерную колбу вместимостью 1000 см3, доводят водой до метки и перемешивают.
Допускается приготовление раствора трилона Б из стандарт-титра без последующего установления молярности.
Раствор трилона Б концентрации 0, 01 моль/дм3 готовят точным разбавлением водой раствора трилона Б концентрации 0, 025 моль/дм3.
Раствор хромового темно-синего готовят следующим образом:
0, 1 г хромового темно-синего взвешивают с точностью до второго десятичного знака. Навеску помещают в стакан вместимостью 100 см3 и растворяют в смеси 20 см3 этилового спирта и 30 см3 триэтаноламина.
Раствор эриохрома сине-черного готовят следующим образом:
0, 2 г эриохрома сине-черного Р взвешивают с точностью до второго десятичного знака. Навеску помещают в стакан вместимостью 100 см3 и растворяют в смеси 20 см3 этилового спирта и 30 см3 триэтаноламина.
Раствор смешанного индикатора готовят следующим образом:
0, 1 г тимолфталексона и 0, 05 г кальцеина взвешивают с точностью до второго десятичного знака, 25 г сернокислого калия взвешивают с точностью до первого десятичного знака. Смесь тщательно растирают в фарфоровой ступке. Хранят в сосуде из темного стекла.
Раствор тимолфталексона готовят следующим образом:
0, 1 г тимолфталексона взвешивают с точностью до второго десятичного знака. Навеску помещают в мерную колбу вместимостью 100 см3 и доводят водой до метки.
Срок хранения - не более 3 дней.
Раствор хлористого цинка готовят следующим образом:
3, 2690 г металлического цинка, свежеочищенного стальным ножом от окиси, измельчают и сразу же взвешивают. Навеску помещают в стакан вместимостью 150 см3, добавляют цилиндром 100 см3 воды и 15 см3 соляной кислоты и растворяют при нагревании на водяной бане, накрыв стакан часовым стеклом. Раствор переводят в мерную колбу вместимостью 2000 см3, доводят водой до метки и тщательно перемешивают. Срок хранения раствора - не более 6 мес.
Аммиачный буферный раствор готовят следующим образом:
67 г хлористого аммония взвешивают с точностью до первого десятичного знака, добавляют 570 см3 водного аммиака, доводят объем раствора до 1000 см3, тщательно перемешивают и фильтруют.
Раствор эриохрома черного Т готовят следующим образом:
взвешивают 0, 25 г эриохрома черного Т. Навеску помещают в стакан вместимостью 100 см3, растворяют в 20 см3 спирта, добавляют 2 г гидроксиламина, взвешенного с точностью до первого десятичного знака, и этиловым спиртом доводят объем до 50 см3.
Срок хранения растворов - не более 3 мес.
Коэффициент поправки к концентрации раствора трилона Б 0, 025 моль/дм3 устанавливают следующим образом:
в коническую колбу отбирают пипеткой 10 см3 раствора хлористого цинка, прибавляют цилиндром 80 см3 воды, 10 см3 буферного аммиачного раствора, от 7 до 8 капель индикатора эриохрома черного Т и титруют раствором трилона Б при постоянном помешивании до перехода винно-красной окраски раствора в синюю.
Титрование повторяют не менее трех раз (n).
Коэффициент поправки и концентрации раствора трилона Б вычисляют по формуле
,
где 10 - объем раствора хлористого цинка, взятый на титрование, см3;
V - объем раствора трилона Б, израсходованный на титрование, см3.
Результаты вычисляют с точностью до четвертого десятичного знака. За результат принимают среднее значение результатов n = 3 титрований (K).
6.4.3. Проведение анализа
В коническую колбу отбирают пипеткой 100 см3 раствора, приготовленного в соответствии с п. 6.2.3 после отделения нерастворимого остатка, прибавляют 10 см3 раствора гидроокиси калия, от 7 до 8 капель эриохрома сине-черного Р или хромового темно-синего или 0, 1 г смешанного индикатора, или от 7 до 8 капель тимолфталексона и титруют раствором трилона Б концентрации 0, 025 моль/дм3 при массовой доле сернокислого кальция в пробе ≥ 0, 4 % и раствором трилона Б концентрации 0, 01 моль/дм3 при массовой доле сернокислого кальция ≤ 0, 4 % до перехода окраски из малиновой в голубую при титровании с эриохромом сине-черным Р, в сиреневую при титровании с хромовым темно-синим или из зеленой в розовую при титровании со смешанным индикатором, из голубой в бесцветную при титровании с тимолфталексоном.
6.4.4. Обработка результатов
Массовую долю сернокислого кальция (y3) в процентах вычисляют по формуле
,
где V - объем раствора трилона Б, израсходованный на титрование ионов кальция, см3;
K - коэффициент поправки к концентрации раствора трилона Б;
mк - масса сернокислого кальция, соответствующая 1 см3 раствора трилона Б и равная:
0, 0034034 - при концентрации раствора трилона Б точно 0, 025 моль/дм3, г;
0, 0013614 - при концентрации раствора трилона Б точно 0, 01 моль/дм3, г;
500 - вместимость мерной колбы, см3;
100 (в числителе) - перевод в проценты;
100 (в знаменателе) - объем аликвотной части анализируемого раствора, см3;
m - масса навески, г.
За результат анализа принимают среднее арифметическое результатов двух параллельных измерений, расхождение между которыми не должно превышать допускаемых расхождений, приведенных в табл. 10.
Допускаемые абсолютные суммарные погрешности результатов измерений при доверительной вероятности Р = 0, 95 приведены в табл. 10.
Таблица 10
|
Массовая доля CaSO4, % |
Допускаемое расхождение между двумя параллельными измерениями CaSO4, % |
Абсолютная суммарная погрешность результата измерения CaSO4, % |
|
От 0, 04 до 0, 40 включ. |
0, 02 |
± 0, 01 |
|
Св. 0, 40 " 0, 60 " |
0, 03 |
± 0, 02 |
|
" 0, 60 " 1, 00 " |
0, 15 |
± 0, 08 |
Результат округляют до второго десятичного знака.
6.5. Комплексонометрический метод определения массовой доли шестиводного хлористого магния
Метод устанавливает определение массовой доли шестиводного хлористого магния от 0, 03 до 0, 60 % в хлористом калии.
Метод основан на способности динатриевой соли этилендиаминтетрауксусной кислоты (трилон Б) образовывать с ионами магния и кальция в аммиачной буферной среде (рН ~ 10) прочное комплексное растворимое соединение. Конец реакции фиксируется с помощью индикаторов.
6.5.1. Средства измерений, вспомогательные устройства, реактивы и материалы
Бюретка 1 (3) 2-25-0, 1, 7-2-10.
Стакан В-1-100 (150, 400) ТС по ГОСТ 25336.
Колба 1-500 (1000) - 2 по ГОСТ 1770.
Колба Кн-1-250-19/26 ТС по ГОСТ 25336.
Капельница 2 x 50 ХС по ГОСТ 25336.
Пипетка 2-2-10 (100).
Кружка фарфоровая с носиком N 4 по ГОСТ 9147.
Цилиндр 1-10 (25, 50, 100, 500) по ГОСТ 1770.
Весы лабораторные общего назначения по ГОСТ 24104 2-го класса точности с наибольшим пределом взвешивания 200 г.
Набор гирь Г-2-210 по ГОСТ 7328 2-го класса точности.
Соль динатриевая этилендиамин N, N, N`, N`-тетрауксусной кислоты 2-водная (трилон Б) по ГОСТ 10652, раствор концентрации с (C10H14O8N2Na2·2H2O) = 0, 025 моль/дм3 или 0, 01 моль/дм3.
Стандарт-титр трилона Б.
Аммоний хлористый по ГОСТ 3773, х. ч., водный раствор с массовой долей хлористого аммония 25 %.
Аммиак водный по ГОСТ 3760, х. ч.
Кислота соляная по ГОСТ 3118, х. ч., водный раствор в соотношении 1:1.
Цинк по ГОСТ 3640, марка ЦВ или ЦО в чушках или цинк гранулированный, раствор в соляной кислоте концентрации с (ZnCl2) = 0, 025 моль/дм3.
Гидроксиламина гидрохлорид по ГОСТ 5456.
Эриохром черный Т (индикатор).
Спирт этиловый ректификованный технический по ГОСТ 18300 или спирт этиловый технический по ГОСТ 17299.
6.5.2. Подготовка к анализу
Приготовление раствора трилона Б, раствора хлористого цинка, аммиачного буферного раствора, индикаторов, установку коэффициента поправки к концентрации раствора трилона Б проводят, как указано в п. 6.4.2.
6.5.3. Проведение анализа
В коническую колбу отбирают пипеткой 100 см3 раствора, приготовленного в соответствии с п. 6.2.3, после отделения нерастворимого остатка, прибавляют 10 см3 аммиачного буферного раствора, от 7 до 8 капель индикатора эриохрома черного Т и титруют раствором трилона Б концентрации 0, 025 моль/дм3 при массовой доле MgCl2·6H2O≥0, 3 % и раствором трилона Б концентрации 0, 01 моль/дм3 при массовой доле MgCl2·6H2O≤0, 3 % до переходе окраски из малиновой в синюю.
6.5.4. Обработка результатов
Массовую долю шестиводного хлористого магния (y4) в процентах вычисляют по формуле
,
где V - объем раствора трилона Б, израсходованный на титрование ионов кальция, см3;
V1 - объем раствора трилона Б, израсходованный на титрование ионов кальция и магния, см3;
K - коэффициент поправки к концентрации раствора трилона Б;
mм - масса шестиводного хлористого магния, соответствующая 1 см3 раствора трилона Б и равная:
0, 0050825 - при концентрации раствора трилона Б точно 0, 025 моль/дм3, г;
0, 00203302 - при концентрации раствора трилона Б точно 0, 01 моль/дм3, г;
500 - вместимость мерной колбы, см3;
100 (в числителе) - перевод в проценты;
100 (в знаменателе) - объем аликвотной части анализируемого раствора, см3;
m - масса навески, г.
За результат анализа принимают среднее арифметическое результатов двух параллельных измерений, расхождение между которыми не должно превышать значений, приведенных в табл. 11.
Допускаемые абсолютные суммарные погрешности результатов измерений при доверительной вероятности Р = 0, 95 приведены в табл. 11.
Таблица 11
|
Массовая доля MgCl2·6H2O, % |
Допускаемое расхождение между двумя параллельными измерениями MgCl2·6H2O, % |
Абсолютная суммарная погрешность результата измерения MgCl2·6H2O, % |
|
От 0, 03 до 0, 10 включ. |
0, 02 |
± 0, 01 |
|
Св 0, 10 " 0, 30 " |
0, 03 |
± 0, 02 |
|
" 0, 30 " 0, 60 " |
0, 12 |
± 0, 07 |
Результаты округляют до второго десятичного знака.
6.6. Определение массовой доли калия
Массовую долю калия в хлористом калии в пересчете на K2O (Х5) в процентах вычисляют по формуле
X5=(100-(y1+y2+y3+y4)-yH₂O)·0, 6317,
где y1 - массовая доля нерастворимого в воде остатка, измеренная, как указано в п. 6.2, с точностью до второго десятичного знака, %;
y2 - массовая доля хлористого натрия, измеренная, как указано в п. 6.3, с точностью до второго десятичного знака, %;
y3 - массовая доля сернокислого кальция, измеренная, как указано в п. 6.4, с точностью до второго десятичного знака, %;
y4 - массовая доля шестиводного хлористого магния, измеренная, как указано в п. 6.5, с точностью до второго десятичного знака, %;
yH₂O - массовая доля гигроскопической воды, измеренная по ГОСТ 20851.4, разд. 1, с точностью до второго десятичного знака, %.
Результаты вычисляют с точностью до второго десятичного знака.
Допускаемая абсолютная суммарная погрешность результатов измерений при доверительной вероятности Р = 0, 95 составляет ± 0, 3 %.
Результат анализа округляют до числа значащих цифр, указанных в нормативно-технической документации на конкретный продукт.
Метод применяется при определении массовой доли калия от 9 до 63 % в пересчете на K2O в однокомпонентных удобрениях.
7.1. Сущность метода
Метод основан на образовании нерастворимого в этиловом спирте осадка перхлората калия и определении его массы.
7.2. Средства измерений, вспомогательные устройства, реактивы и материалы
Баня водяная или электровоздушная.
Электроплитка закрытого типа с переключателем номинальной мощностью 800 Вт или аналогичная.
Весы лабораторные общего назначения по ГОСТ 24104 - 2-го класса точности с наибольшим пределом взвешивания 200 г.
Весы лабораторные общего назначения по ГОСТ 24104 - 4-го класса точности с наибольшим пределом взвешивания 500 г.
Набор гирь Г-2-210 по ГОСТ 7328 2-го класса точности.
Набор гирь Г-4-610 по ГОСТ 7328 4-го класса точности.
Шкаф сушильный лабораторный, обеспечивающий температуру нагрева от 50 до 250 °С, с погрешностью регулирования температуры + 5 °С.
Термометры технические стеклянные с пределами измерения от 0 до 250 °С с ценой деления шкалы 1 или 2 °С или термометры с аналогичными техническими характеристиками.
Чашка выпарительная 2 по ГОСТ 9147.
Пестик стеклянный с широким наконечником.
Тигель ТФ-32 (40) - ПОР 16 ХС по ГОСТ 25336 или аналогичный с размером пор от 10 до 16 мкм.
Колба 1-250 (1000) - 2 по ГОСТ 1770.
Пипетка 2-2-10.
Колба с тубусом 1-1000 по ГОСТ 25336.
Цилиндры 1-10 (25, 100, 500, 1000) по ГОСТ 1770.
Эксикатор 2-250 по ГОСТ 25336.
Воронка В-56-80 ХС по ГОСТ 25336.
Насос водоструйный по ГОСТ 25336 или другой с аналогичными техническими характеристиками.
Кислота хлорная, х. ч., плотностью 1, 50 г/см3 или ч. д. а., плотностью 1, 32 г/см3, раствор с массовой долей 20 % (плотность 1, 12-1, 13 г/см3).
Барий хлористый по ГОСТ 4108, раствор массовой концентрации 100 г/дм3.
Кислота соляная по ГОСТ 3118, раствор разбавленный в соотношении 1:1.
Спирт этиловый технический по ГОСТ 17299, марки А или спирт этиловый ректификованный технический по ГОСТ 18300.
Фильтры бумажные обеззоленные "синяя лента", "белая лента" или фильтры из лабораторной фильтровальной бумаги ФНС по ГОСТ 12026.
7.3. Подготовка к анализу
7.3.1. Приготовление раствора хлористого бария:
100 г хлористого бария переносят в мерную колбу вместимостью 1000 см3, растворяют, доводят до метки водой, перемешивают.
7.3.2. Приготовление раствора хлорной кислоты с массовой долей 20 %:
234 см3 хлорной кислоты плотностью 1, 50 г/см3 или 360 см3 плотностью 1, 32 г/см3 отмеряют цилиндром, переносят в мерную колбу с водой вместимостью 1000 см3, доводят водой до метки и перемешивают.
7.3.3. Приготовление разбавленного раствора соляной кислоты (1:1):
смешивают 500 см3 соляной кислоты с 500 см3 воды.
7.3.4. Приготовление промывного раствора:
10 см3 раствора хлорной кислоты переносят в мерную колбу вместимостью 1000 см3 и разбавляют этиловым спиртом до 1000 см3.
7.3.5. Подготовку фильтрующих тиглей проводят по п. 2.3.7.
7.4. Проведение анализа
10 г анализируемого продукта, подготовленного, как указано в разд. 1, взвешивают с точностью до третьего десятичного знака. Навеску переносят в мерную колбу вместимостью 250 см3, добавляют от 80 до 100 см3 воды и кипятят в течение 10 мин. При определении калия в хлористом калии раствор доводят до кипения.
Цилиндром приливают 10 см3 раствора соляной кислоты.
К кипящему раствору медленно добавляют горячий раствор хлористого бария до полного осаждения сульфатов (около 2, 5 см3 на один процент иона SО4-2 в анализируемой пробе). После охлаждения раствор доводят водой до метки, перемешивают и фильтруют через сухой фильтр "белая" или "синяя" лента, отбрасывая первые порции фильтрата.
10 см3 фильтрата переносят пипеткой в выпарительную чашку, добавляют цилиндром 7 см3 раствора хлорной кислоты, помещают на баню и выпаривают до сухих солей. После охлаждения в чашку приливают цилиндром 15 см3 промывного раствора, пестиком тщательно растирают кристаллы и декантируют под вакуумом через фильтрующий тигель.
Оставшийся в чашке осадок повторно обрабатывают 15 см3 промывного раствора, растирают и количественно переносят на фильтр, смывая осадок струей промывного раствора. Этим же раствором промывают осадок на фильтре. Заканчивают промывку 5 см3 этилового спирта. Общее количество жидкости, израсходованной на промывку осадка, не должно превышать 65-70 см3. Фильтр с осадком сушат в течение 30 мин при температуре (120 ± 5) °С, охлаждают в эксикаторе в течение 45 мин и взвешивают с точностью до третьего десятичного знака.
7.5. Обработка результатов
Массовую долю калия в пересчете на K2O (X6) в процентах вычисляют по формуле
,
где m1 - масса тигля с осадком перхлората калия, г;
m - масса пустого тигля, г;
m2 - масса анализируемого продукта, г;
250 - общий объем анализируемого раствора, см3;
10 - объем аликвотной части анализируемого раствора, см3;
0, 340 - коэффициент пересчета перхлората калия на K2O.
За результат анализа принимают среднее арифметическое результатов двух параллельных измерений, расхождение между которыми при доверительной вероятности Р = 0, 95 не должно превышать значений, приведенных в табл. 12.
Допускаемые абсолютные суммарные погрешности результатов измерений при доверительной вероятности Р = 0, 95 приведены в табл. 12.
Таблица 12
|
Массовая доля K2O, % |
Допускаемое расхождение между двумя параллельными измерениями K2O, % |
Абсолютная суммарная погрешность результата измерения K2O, % |
|
От 9 до 20 включ. |
0, 3 |
± 0, 2 |
|
Св. 20 " 45 " |
0, 4 |
± 0, 2 |
|
От 45 " 63 " |
0, 8 |
± 0, 4 |
Результат анализа округляют до числа значащих цифр, указанных в нормативно-технической документации на конкретный продукт.
Приложение
Справочное
Существуют различные способы и приемы для контроля правильности результатов химического анализа: использование стандартных образцов состава; использование искусственной смеси и растворов, имитирующих состав продуктов, контроль по методу добавок с использованием растворов, содержащих установленное с достаточной точностью количество компонентов. Некоторые из названных способов рассмотрены в рекомендациях.
Воронка по ГОСТ 25336.
Колба мерная по ГОСТ 1770.
Весы лабораторные общего назначения по ГОСТ 24104 2-го класса точности с наибольшим пределом взвешивания 200 г.
Набор гирь Г-2-210 по ГОСТ 7328 2-го класса точности.
Шкаф сушильный лабораторный, обеспечивающий температуру нагрева от 50 до 250 °С, с погрешностью регулирования температуры ± 5 °С.
Термометры технические стеклянные с пределами измерения от 0 до 250 °С с ценой деления шкалы 1 или 2 °С или термометры с аналогичными характеристиками.
Колба мерная 2 (500, 1000) - 2 по ГОСТ 1770.
Стаканчики для взвешивания СН по ГОСТ 25336.
Часовые стекла.
Стаканы химические Н, В 1-250 по ГОСТ 25336.
Воронка по ГОСТ 25336.
Государственный стандартный образец (ГСО) состава калия хлористого флотационного марки "Мелкий" N 2826-83.
Государственный стандартный образец (ГСО) состава калия хлористого галургического марки "Мелкий" N 2827-83.
Стандартные образцы предприятия (СОП) состава калийсодержащих удобрений, утвержденные в порядке, установленном ГОСТ 8.315.
Калий сернокислый по ГОСТ 4145.
Калий хлористый по ГОСТ 4234, х. ч., прокаленный при 500 °С до постоянной массы.
Кальций сернокислый безводный.
Натрий хлористый по ГОСТ 4233, х. ч., ч. д. а.
Калий фосфорнокислый однозамещенный по ГОСТ 4198, х. ч.
Магний сернокислый 7-водный по ГОСТ 4523, х. ч.
При использовании стандартных образцов состава (СО) растворы для анализа готовят, как указано в разд. 2, 6, 7 настоящего стандарта.
Массы навесок СО и степень разбавления приготовленных растворов должны соответствовать требованиям методов для контроля правильности результатов анализа.
Пример. Раствор готовят в соответствии с составом каинита.
CaSO4 - 4, 35 %, MgSO4·7H2O - 21, 00 %, K2SO4 - 2, 85 %, KCl - 12, 39 %, NaCl - 34 %.
Взвешивают 0, 2850 г сернокислого калия, 1, 2390 г хлористого калия, 3, 4000 г хлористого натрия, 4, 3032 г семиводного сернокислого магния.
Навеску сернокислого калия через воронку переносят в мерную колбу вместимостью 1000 см3. Затем в эту колбу переносят навески хлористого калия, хлористого натрия и приливают 300 см3 воды.
0, 4350 г сернокислого кальция переносят в стакан вместимостью 300 см3, приливают 200 см3 горячей воды и, помешивая, растворяют. Затем раствор переносят в мерную колбу, содержащую раствор перечисленных солей. После охлаждения до температуры (20 ± 5) °С объем доводят водой до метки и перемешивают.
Объем приготовленного раствора, отобранного на анализ, должен соответствовать аликвотной доле анализируемого раствора продукта в используемых методиках.
Пример. Раствор готовят в соответствии с составом калимагнезии. CaSO4 - 0, 5 %, K2SO4 - 26, 2 %, KCl - 21, 8 %, NaCl - 22, 9 %, MgSO4 - 25, 7 %.
Взвешивают 0, 0500 г CaSO4, 5, 2620 г MgSO4·7H2O, 2, 6200 г K2SO4, 2, 1800 г KCl, 2, 2900 г NaCl.
Навески реактивов переносят через воронку в мерную колбу вместимостью 1000 см3, растворяют в воде и доводят объем водой до метки.
Допускается навеску CaSO4 предварительно растворять в горячей воде, как в п. 3.
Объем приготовленного раствора, отобранного на анализ, должен соответствовать аликвотной части анализируемого раствора продукта в методах для контроля правильности результатов анализа.
Реактивы, материалы, оборудование
Калий хлористый по ГОСТ 4234, х. ч.
Кальций фосфорнокислый однозамещенный по ГОСТ 10091.
Аммоний азотнокислый по ГОСТ 22867.
Кальций сернокислый безводный.
Ступка фарфоровая по ГОСТ 9147 N 5 с пестиком.
Склянка с крышкой из темного стекла для хранения смеси.
Стаканчики для взвешивания СН по ГОСТ 25336.
Весы лабораторные общего назначения по ГОСТ 24104 2 го класса точности с наибольшим пределом взвешивания 200 г.
Набор гирь Г-2-210 по ГОСТ 7328 2-го класса точности.
Подготовка реактивов
Калий хлористый прокаливают при 500 °С до постоянной массы, охлаждают в эксикаторе.
Остальные реактивы высушивают в сушильном шкафу при (65 ± 5) °С в течение 3 ч, охлаждают в эксикаторе.
Взвешивают: 17, 759 г Ca(H2PO4)2·2H2O, 28, 576 г NH4NO3, 16, 451 г KCl, 37, 214 г CaSO4.
Взятые навески помещают в ступку и в течение 40 мин тщательно перемешивают до получения однородной массы. Полученную смесь пересыпают в банку из темного стекла, закрывают крышкой и хранят в холодильнике не более 1 мес.
Массы навесок и степень разбавления приготовляемых растворов должны соответствовать требованиям методов для контроля правильности результатов анализа. Перед взятием навески содержимое банки тщательно перемешивают. Оставшийся после взвешивания продукт не ссыпают в склянку с образцом, чтобы избежать загрязнения.
При использовании для контроля правильности результатов анализов государственных стандартных образцов и смесей, имитирующих состав, руководствоваться следующим правилом.
1) анализы СО и смесей имитирующих состав, проводят одновременно с анализируемым продуктом в двухкратной повторности.
2) полученные результаты должны удовлетворять следующим требованиям:
а) Смакc - Смин ≤ d,
где Смакc и Смин - соответственно наибольший и наименьший результаты параллельных определений;
d - допускаемое расхождение между результатами параллельных определений при доверительной вероятности Р = 0, 95, указанное в соответствующих разделах настоящего стандарта;
б) C̅o-Cатт<0, 5d,
где C̅o - среднее значение результатов параллельных определений аттестованной характеристики стандартного образца;
Сатт - аттестованная характеристика стандартного образца.
При анализе смесей имитирующего состава должно соблюдаться требование (C̅o-Cрас)≤d,
где C̅o - среднее значение результатов параллельных определений имитирующей смеси;
Срас - расчетное значение K2O в имитирующей смеси.
Отклонение результата от установленного в СО или имитирующем составе выше допустимого значения является свидетельством нарушения процесса анализа. В этом случае необходимо проверить методику анализа, ход его, применяемые реактивы, растворы, измерительную систему приборов и их калибровку, при гравиметрических методах анализа целесообразно досушить фильтрующие тигли с осадком, охладить их в эксикаторе и взвесить еще раз.
После проверки анализ следует повторить.
Контроль правильности результатов химического анализа по методу добавок проводят путем использования растворов, содержащих установленное с достаточной точностью количество компонентов (обычно 1 мг/см3). Способы приготовления таких растворов приведены в ГОСТ 4212.
Результаты анализа считают правильными, если выполняются следующие требования:
-
≤d;
|C̅д-Cд|≤Δ;
где
,
- соответственно наибольший и наименьший результаты параллельных определений пробы с добавкой,
C̅д - среднее значение результата анализа пробы с добавкой,
Сд - расчетное значение, равное C̅o+Cд, где C̅o - среднее значение определяемого компонента в пробе без добавки, Сд - номинальное значение количества компонента в добавке;
Δ - допускаемое отклонение результатов анализа пробы с добавкой, равное
; где d1 - допускаемое отклонение результатов анализа при содержании компонента C̅o+Cд, d2 - допускаемое отклонение результатов анализа при содержании компонента Сд.
Ниже приведены указания по приготовлению растворов, содержащих 1 мг/см3 калия по ГОСТ 4212.
Приготовление растворов с известным содержанием калия из фосфорнокислого однозамещенного калия (KH2PO4) по ГОСТ 4198 (используют при контроле по методу добавок).
Калий фосфорнокислый однозамещенный (х. ч.) высушивают до постоянной массы при 105 °С. Охлаждают в эксикаторе. Навеску 3, 4798 г взвешивают на часовом стекле или в стаканчике, через воронку количественно смывают в мерную колбу вместимостью 1000 см3, растворяют в воде и доводят объем раствора водой до метки.
В 1 см3 приготовленного раствора содержится (1, 000 ± 0, 001) мг калия.
Для пересчета массовой концентрации калия на оксид калия (K2O) полученный результат умножают на коэффициент K = 1, 205.
Раствор хранят в полиэтиленовой посуде не более 6 мес.
Приготовление растворов с известным содержанием калия из хлористого калия (используют при контроле правильности по методу добавок). Раствор готовят по ГОСТ 4212 из хлористого калия по ГОСТ 4234, х. ч., предварительно прокаленного до постоянной массы при 500 °С. Навеску массой 1, 9100 г взвешивают на часовом стекле или в стаканчике для взвешивания, через воронку количественно смывают навеску в мерную колбу вместимостью 1000 см3, растворяют в воде и доводят объем раствора водой до метки.
В 1 см3 приготовленного раствора содержится (1, 000 ± 0, 001) мг калия. Для пересчета массовой концентрации калия на оксид калия (K2O) полученный результат умножают на K = 1, 205.
Раствор хранят в полиэтиленовой посуде не более 6 мес.


