Введен в действие постановлением Государственного комитета стандартов Совета Министров СССР от 22 июня 1976 г. N 1497
Межгосударственный стандарт ГОСТ 21947-76*
"ХМЕЛЬ ПРЕССОВАННЫЙ. ТЕХНИЧЕСКИЕ УСЛОВИЯ"
Pressed hop. Specifications
ОКП 97 2000
Группа С25
Дата введения установлена с 1 июля 1979 г.
Взамен ГОСТ 8473-57 в части хмеля прессованного
Настоящий стандарт распространяется на прессованный сульфитированный хмель, предназначенный для пищевой промышленности.
1. Технические требования
1.1 Запах хмеля должен быть специфический хмелевой.
1.2 Базисные нормы хмеля указаны в табл. 1.
Таблица 1
|
Наименование показателя
|
Норма
|
|
Цвет
|
От светло-желто-зеленого до золотисто-зеленого
Шишки могут быть с покрасневшими кончиками лепестков
|
|
Массовая доля альфа-кислот, в пересчете на абсолютно сухое вещество, %
|
3, 5
|
|
Влажность, %
|
13
|
1.3 Ограничительные нормы хмеля указаны в табл. 2.
Таблица 2
|
Наименование показателя
|
Норма
|
|
Цвет
|
Желтовато-зеленый, зеленовато-желтый, желтый с коричневыми пятнами, бурый
|
|
Массовая доля альфа-кислот, в пересчете на абсолютно сухое вещество, %, не менее
|
2, 5
|
|
Массовая доля хмелевых примесей, %, не более:
| |
|
для хмеля машинного сбора
|
10
|
|
для хмеля ручного сбора
|
5
|
|
Массовая доля золы, в пересчете на абсолютно сухое вещество, %, не более
|
14
|
|
Влажность, %:
| |
|
не более
|
13
|
|
не менее
|
11
|
|
Массовая доля семян, %, не более
|
4
|
|
Массовая доля общего количества сернистого ангидрида на абсолютно сухое вещество, %, не более
|
0, 5
|
Примечание. Для Алтайского края в хмеле допускается массовая доля семян до 8 %.
1.4 Не допускается хмель:
с прелым, затхлым, сырным, дымным, валериановым или другим посторонним запахом, не свойственным хмелю;
пораженный плесенью;
при массовом поражении шишек хмеля вредителями и болезнями;
с содержанием посторонних (нехмелевых) примесей.
2. Правила приемки
2.1 Приемку хмеля производят партиями. Партией считают любое количество хмеля одинакового качества, одного района произрастания, оформленное одним документом о качестве.
2.2 Каждая партия прессованного хмеля должна сопровождаться документом о качестве установленной формы, содержащим следующие данные:
номер документа;
наименование и адрес изготовителя;
наименование и адрес получателя;
наименование продукции;
номер партии;
массу партии;
количество упаковок;
год урожая;
способ уборки (машинный или ручной);
результаты испытаний качества хмеля;
дату проведения испытания;
дату последней обработки хмеля ядохимикатами и их наименование;
обозначение настоящего стандарта.
2.3 Для определения качества прессованного хмеля от каждой партии отбирают выборку.
2.3.1 Выборку составляют из упаковок, отобранных из разных мест партии. Объем выборки зависит от величины партии и должен соответствовать табл. 3.
Таблица 3
|
Количество упаковок в партии
|
Объем выборки
|
|
От 1 до 5 включ.
|
Все упаковки
|
|
Св. 6 " 10 "
|
5 упаковок
|
|
" 11 " 20 "
|
6 упаковок
|
2.3.2 Далее на каждый новый десяток упаковок отбирают одну упаковку.
2.4 При получении неудовлетворительных результатов контроля качества хмеля производят повторный контроль той же выборки, результаты которого распространяются на всю партию.
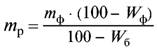
2.5 Определение расчетной массы хмеля
При пониженной влажности хмеля по сравнению с базисной (13 %) производят пересчет массы партии.
Расчетную массу партии mp, кг, вычисляют по формуле

,
где mф - масса партии хмеля при фактической влажности, кг;
Wф - фактическая влажность хмеля, %;
Wб - базисная влажность хмеля, %.
Пример. Партия хмеля массой 1000 кг имеет влажность 11, 0 %.
Приводят массу хмеля к массе с базисной влажностью:

.
Расчетная масса хмеля равна 1022, 98 кг.
3. Методы испытаний
3.1 Методы испытаний - по ГОСТ 21948-76.
4. Упаковка, хранение и транспортирование
4.1 Хмель плотно прессуют и упаковывают в ткань по ГОСТ 5530-81 в виде балотов диаметром 60-70 см, высотой 120-130 см, массой не более 170 кг.
4.2 Транспортная маркировка - по ГОСТ 14192-96. На внешнюю сторону каждого балота наносят черной непахнущей краской следующие данные:
наименование предприятия-изготовителя;
наименование продукции;
номер партии;
номер упаковки;
год урожая;
массу брутто и нетто и расчетную массу;
обозначение настоящего стандарта.
4.3 Хмель хранят в чистых продезинфицированных темных складских помещениях без постороннего запаха при температуре от 0° до 2 °С, на деревянном полу или настиле с просветом для циркуляции воздуха под настилом.
Балоты хранят без соприкосновения со стенами хранилищ. Проходы между рядами балотов должны быть не менее 0, 5 м.
4.4 Транспортируют хмель всеми видами транспорта в соответствии с правилами перевозки пищевых продуктов, предусмотренными для соответствующих видов транспорта.
Транспортирование прессованного хмеля пакетами - в соответствии с правилами перевозки грузов, действующими на данном виде транспорта.
(Измененная редакция, Изм. N 1).