ГОСТ 2642.8-2017 ОГНЕУПОРЫ И ОГНЕУПОРНОЕ СЫРЬЕ. МЕТОДЫ ОПРЕДЕЛЕНИЯ ОКСИДА МАГНИЯ
Refractories and refractory raw materials. Methods for determination of magnesium oxide
Предисловие
Цели, основные принципы и основной порядок проведения работ по межгосударственной стандартизации установлены в ГОСТ 1.0-2015 "Межгосударственная система стандартизации. Основные положения" и ГОСТ 1.2-2015 "Межгосударственная система стандартизации. Стандарты межгосударственные, правила и рекомендации по межгосударственной стандартизации. Правила разработки, принятия, обновления и отмены"
Сведения о стандарте
1 Разработан Обществом с ограниченной ответственностью "Научно-технический центр "Огнеупоры" (ООО "НТЦ "Огнеупоры")
2 Внесен Федеральным агентством по техническому регулированию и метрологии
3 Принят Межгосударственным советом по стандартизации, метрологии и сертификации (протокол от 20 апреля 2017 г. N 98-П)
За принятие проголосовали:
|
Краткое наименование страны по МК (ИСО 3166) 004-97 |
Код страны по МК (ИСО 3166) 004-97 |
Сокращенное наименование национального органа по стандартизации |
|
Армения |
AM |
Минэкономразвития Республики Армения |
|
Беларусь |
BY |
Росстандарт Республики Беларусь |
|
Киргизия |
KG |
Кыргызстандарт |
|
Россия |
RU |
Росстандарт |
|
Таджикистан |
TJ |
Таджикстандарт |
|
Узбекистан |
UZ |
Узстандарт |
|
Украина |
UZ |
Минэкономразвития Украины |
4 Приказом Федерального агентства по техническому регулированию и метрологии от 16 августа 2017 г. N 907-ст межгосударственный стандарт ГОСТ 2642.8-2017 введен в действие в качестве национального стандарта Российской Федерации с 1 июня 2018 г.
5 Взамен ГОСТ 2642.8-97
Настоящий стандарт распространяется на огнеупорное сырье, кремнеземистые, алюмосиликатные, глиноземистые, глиноземоизвестковые, высокомагнезиальные, магнезиальношпинелидные, магнезиальносиликатные, магнезиальноизвестковые огнеупоры и устанавливает методы количественного определения оксида магния:
- комплексонометрические (при массовой доле от 0, 5 % до 99 %);
- атомно-абсорбционный (при массовой доле от 0, 1 % до 10 %).
В настоящем стандарте использованы нормативные ссылки на следующие межгосударственные стандарты:
ГОСТ 12.4.253-2013 (EN 166:2002) Система стандартов безопасности труда. Средства индивидуальной защиты глаз. Общие технические требования
ГОСТ 61-75 Реактивы. Кислота уксусная. Технические условия
ГОСТ OIML R 76-1-2011 Государственная система обеспечения единства измерений. Весы неавтоматического действия. Часть 1. Метрологические и технические требования. Испытания
ГОСТ 83-79 Реактивы. Натрий углекислый. Технические условия
ГОСТ 199-78 Реактивы. Натрий уксуснокислый 3-водный. Технические условия
ГОСТ 1770-74 Посуда мерная лабораторная стеклянная. Цилиндры, мензурки, колбы, пробирки. Общие технические условия
ГОСТ 2642.0-2014 Огнеупоры и огнеупорное сырье. Общие требования к методам анализа
ГОСТ 2642.3-2014 Огнеупоры и огнеупорное сырье. Метод определения оксида кремния (IV)
ГОСТ 2642.4-2016 Огнеупоры и огнеупорное сырье. Метод определения оксида алюминия
ГОСТ 2642.7-* Огнеупоры и огнеупорное сырье. Метод определения оксида кальция
──────────────────────────────
* Стандарт пересматривается.
ГОСТ 3118-77 Реактивы. Кислота соляная. Технические условия
ГОСТ 3760-79 Реактивы. Аммиак водный. Технические условия
ГОСТ 3773-72 Реактивы. Аммоний хлористый. Технические условия
ГОСТ 4165-78 Реактивы. Медь (II) сернокислая 5-водная. Технические условия
ГОСТ 4199-76 Реактивы. Натрий тетраборнокислый 10-водный. Технические условия
ГОСТ 4204-77 Реактивы. Кислота серная. Технические условия
ГОСТ 4221-76 Реактивы. Калий углекислый. Технические условия
ГОСТ 4233-77 Реактивы. Натрий хлористый. Технические условия
ГОСТ 4234-77 Реактивы. Калий хлористый. Технические условия
ГОСТ 4236-77 Реактивы. Свинец (II) азотнокислый. Технические условия
ГОСТ 4523-77 Реактивы. Магний сернокислый 7-водный. Технические условия
ГОСТ 4526-75 Реактивы. Магний оксид. Технические условия
ГОСТ 5456-79 Реактивы. Гидроксиламина гидрохлорид. Технические условия
ГОСТ 6563-75 Изделия технические из благородных металлов и сплавов. Технические условия
ГОСТ 6709-72 Вода дистиллированная. Технические условия
ГОСТ 9147-80 Посуда и оборудование лабораторные фарфоровые. Технические условия
ГОСТ 10484-78 Реактивы. Кислота фтористоводородная. Технические условия
ГОСТ 10652-73 Реактивы. Соль динатриевая этилендиамин-N, N, N`, N`-тетрауксусной кислоты 2-водная (трилон Б). Технические условия
ГОСТ ИСО/МЭК 17025-2009 Общие требования к компетентности испытательных и калибровочных лабораторий
ГОСТ 18300-87* Спирт этиловый ректификованный технический. Технические условия
ГОСТ 22867-77 Реактивы. Аммоний азотнокислый. Технические условия
ГОСТ 24104-2001** Весы лабораторные. Общие технические требования
──────────────────────────────
* На территории Российской Федерации действует ГОСТ Р 55878-2013 "Спирт этиловый технический гидролизный ректификованный. Технические условия".
** На территории Российской Федерации действует ГОСТ Р 53228-2008 "Весы неавтоматического действия. Часть 1. Метрологические и технические требования. Испытания".
ГОСТ 24363-80 Реактивы. Калия гидроокись. Технические условия
ГОСТ 25336-82 Посуда и оборудование лабораторные стеклянные. Типы, основные параметры и размеры
Примечание - При пользовании настоящим стандартом целесообразно проверить действие ссылочных стандартов в информационной системе общего пользования - на официальном сайте Федерального агентства по техническому регулированию и метрологии в сети Интернет или по ежегодному информационному указателю "Национальные стандарты", который опубликован по состоянию на 1 января текущего года, и по выпускам ежемесячного информационного указателя "Национальные стандарты" за текущий год. Если ссылочный стандарт заменен (изменен), то при пользовании настоящим стандартом следует руководствоваться заменяющим (измененным) стандартом. Если ссылочный стандарт отменен без замены, то положение, в котором дана ссылка на него, применяется в части, не затрагивающей эту ссылку.
3.1 Общие требования к методам анализа - по ГОСТ 2642.0 с дополнением по 3.1.1.
3.1.1 Для смесей для сплавления указано массовое соотношение компонентов в порядке их перечисления.
3.1.2 Одновременно через все стадии анализа проводится контрольный опыт на загрязнение реактивов.
Требования безопасности - по ГОСТ 2642.0 с дополнением по 4.1.
4.1 При проведении испытаний должны применяться индивидуальные средства защиты глаз по ГОСТ 12.4.253.
5.1 Сущность метода
Метод основан на:
- обратном комплексонометрическом титровании суммы оксидов кальция и магния с индикатором 1-(2-пиридил-азо)-2-нафтол (ПАН) при рН 10 в растворе после осаждения аммиаком или уротропином суммы полуторных оксидов вместе с кремневой кислотой;
- прямом комплексонометрическом титровании суммы оксидов кальция и магния раствором трилона Б с индикатором эриохрома черного Т или метиловым голубым.
Массовую долю оксида магния вычисляют по разности суммарной массовой доли оксидов кальция, магния и массовой доли оксида кальция.
5.2 Аппаратура, реактивы, растворы и вспомогательные устройства
Печь муфельная с терморегулятором, обеспечивающая поддержание температуры нагрева 1000 °С с пределами допустимого отклонения ± 50 °С.
Электроплитка по техническому документу.
Весы по ГОСТ 24104* или по ГОСТ OIML R 76-1, класс точности II.
──────────────────────────────
* На территории Российской Федерации действует ГОСТ Р 53228-2008 "Весы неавтоматического действия. Часть 1. Метрологические и технические требования. Испытания".
Посуда мерная лабораторная стеклянная по ГОСТ 1770.
Посуда лабораторная стеклянная по ГОСТ 25336.
Фарфоровая ступка по ГОСТ 9147 или ступка корундовая по техническому документу.
Вода дистиллированная по ГОСТ 6709.
Спирт этиловый ректификованный технический по ГОСТ 18300.
Магний сернокислый 7-водный по ГОСТ 4523, х. ч.
Оксид магния по ГОСТ 4526, ч. д. а.
Кислота соляная по ГОСТ 3118.
Кислота серная по ГОСТ 4204.
Аммиак водный по ГОСТ 3760.
Натрий хлористый по ГОСТ 4233.
Калий хлористый по ГОСТ 4234.
Аммоний хлористый по ГОСТ 3773.
Гидроксиламин солянокислый по ГОСТ 5456, раствор с массовой долей 0, 2 %.
Соль динатриевая этилендиамин-N, N, N`, N`-тетрауксусной кислоты 2-водная (трилон Б) по ГОСТ 10652, раствор с молярной концентрацией 0, 025 моль/дм3 и 0, 05 моль/дм3.
Медь (II) сернокислая 5-водная по ГОСТ 4165, раствор с молярной концентрацией 0, 05 моль/дм3: 12, 5 г сульфата меди растворяют в дистиллированной воде, приливают 2 см3 серной кислоты, доводят объем раствора дистиллированной водой до 1000 см3 и перемешивают.
Раствор аммиачный буферный с рН 10:67, 5 г хлористого аммония растворяют в дистиллированной воде, приливают 570 см3 водного аммиака, доводят объем раствора дистиллированной водой до 1000 см3 и перемешивают.
Триэтаноламин (2, 2`, 2``-нитрилотриэтанол) по техническому документу, разбавленный 1:1.
Индикатор 1-(2-пиридил-азо)-2-нафтол (ПАН) по техническому документу, спиртовой раствор с массовой долей 0, 2 %.
Индикатор метилтимоловый синий по техническому документу.
Индикаторная смесь: 0, 1 г индикатора метилтимолового синего тщательно растирают в фарфоровой ступке с 10 г хлористого калия или натрия.
Индикатор эриохром черный Т по техническому документу.
Индикаторная смесь: 0, 1 г эриохрома черного Т растирают в фарфоровой ступке с 10 г хлористого натрия.
Индикатор кислотный хром темно-синий по техническому документу.
Фильтр по техническому документу.
5.2.1 Приготовление стандартных растворов
Стандартный раствор оксида магния с молярной концентрацией 0, 05 моль/дм3: в мерной колбе вместимостью 1000 см3 растворяют 12, 3245 г 7-водного сернокислого магния в дистиллированной воде, доводят объем раствора дистиллированной водой до метки 1000 см3 и перемешивают. Массовая концентрация стандартного раствора оксида магния составляет 0, 002016 г/см3 (ρMgO).
Для приготовления стандартного раствора оксида магния допускается применять оксид магния, предварительно прокаленный при температуре 950 °С до постоянной массы.
5.2.2 Устанавливают соотношение K объемов раствора трилона Б и сернокислой меди: в коническую колбу вместимостью 300 см3 наливают 10 см3 раствора трилона Б, приливают примерно 100 см3 дистиллированной воды, (15-20) см3 аммиачного буферного раствора с рН 10, (5-7) капель индикатора ПАН и титруют раствором сернокислой меди до перехода окраски раствора из желто-зеленой в сине-фиолетовую.
Соотношение K объемов раствора трилона Б и сернокислой меди вычисляют по формуле
,
(1)
где V - объем раствора трилона Б, взятый для установления соотношения, см3;
V1 - объем раствора сернокислой меди, израсходованный на титрование, см3.
5.2.3 Для установления массовой концентрации раствора трилона Б по оксиду магния в коническую колбу вместимостью 300 см3 отбирают пипеткой 10 см3 стандартного раствора оксида магния, приливают примерно 100 см3 дистиллированной воды, 35 см3 раствора трилона Б, (10-15) см3 аммиачного буферного раствора с рН 10 и (5-7) капель раствора индикатора ПАН. Оттитровывают избыток раствора трилона Б раствором сернокислой меди до перехода окраски раствора из желто-зеленой в сине-фиолетовую.
Допускается устанавливать массовую концентрацию раствора трилона Б по оксиду магния, в качестве индикатора используя кислотный хром темно-синий до изменения окраски раствора из розовой в синюю.
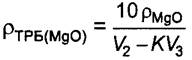
Массовую концентрацию раствора трилона Б по оксиду магния ρТРБ (MgO), г/см3, вычисляют по формуле
,
(2)
где 10 - объем стандартного раствора оксида магния, взятый для титрования, см3;
ρMgO - массовая концентрация стандартного раствора оксида магния, г/см3;
V2 - объем прилитого раствора трилона Б, см3;
K - соотношение объемов раствора трилона Б и сернокислой меди;
V3 - объем раствора сернокислой меди, израсходованный на титрование избытка раствора трилона Б, см3.
5.3 Проведение анализа
Аликвотную часть раствора, полученного по ГОСТ 2642.7, раздел 5 (раствор 1), равную 50 или 100 см3 в зависимости от массовой доли оксида магния, или соответствующую аликвотную часть раствора, полученного по ГОСТ 2642.4, раздел 6 помещают в коническую колбу вместимостью 300 см3, прибавляют (25-60) см3 раствора трилона Б (в зависимости от суммарной массовой доли оксидов кальция и магния), приливают (10-15) см3 аммиачного буферного раствора рН 10, (5-7) капель раствора индикатора ПАН. Оттитровывают избыточное количество раствора трилона Б раствором сернокислой меди до перехода окраски раствора из желто-зеленой в сине-фиолетовую.
Допускается в качестве индикатора использовать кислотный хром темно-синий. В этом случае титруют растворы трилона Б методом прямого комплексонометрического титрования до перехода окраски раствора из розовой в синюю.
Допускается определять массовую долю суммы оксидов магния и кальция методом прямого комплексонометрического титрования с индикатором эриохромом черным Т. Для этого к аликвотной части раствора, нагретого на электроплитке до температуры (50-60) °С, приливают 10 см3 водного аммиака, добавляют 0, 2 г индикаторной смеси и титруют раствором трилона Б до перехода окраски раствора из малиновой в синюю.
Для определения суммы оксидов кальция и магния могут быть использованы аликвотные части растворов, полученных по ГОСТ 2642.3, разделы 5 (раствор 1), 8 (раствор 3), 10 (раствор Е). Для этого раствор подкисляют 1 см3 соляной кислоты, при перемешивании приливают 20 см3 раствора триэтаноламина, 25 см3 водного аммиака, 5 см3 раствора гидроксиламина солянокислого, разбавляют дистиллированной водой до 150 см3, добавляют 0, 1 г индикаторной смеси метилтимолового синего и титруют раствором трилона Б до исчезновения голубой окраски раствора.
5.4 Обработка результатов
5.4.1 Массовую долю оксида магния wMgO, %, вычисляют по формуле
,
(3)
где V3 - объем раствора трилона Б, добавленный с избытком для связывания кальция и магния, см3;
K - соотношение объемов раствора трилона Б и сернокислой меди;
V4 - объем раствора сернокислой меди, израсходованный на титрование избытка раствора трилона Б, см3;
m - масса аналитической пробы, взятой для титрования, г;
wCaO - массовая доля оксида кальция, % (определяют по ГОСТ 2642.7);
ρТРБ (CaO) - массовая концентрация раствора трилона Б по оксиду кальция, г/см3;
ρТРБ (MgO) - массовая концентрация раствора трилона Б по оксиду магния, г/см3.
5.4.2 Нормы точности и нормативы контроля точности определения массовой доли оксида магния приведены в разделе 9.
6.1 Сущность метода
Метод основан на определении оксида магния комплексонометрическим титрованием с эриохромом черным Т в качестве индикатора.
Метод распространяется на высокомагнезиальные и магнезиальноизвестковые огнеупоры.
6.2 Аппаратура, реактивы, растворы и вспомогательные устройства
Электроплитка закрытого типа по техническому документу.
Весы по ГОСТ 24104 или по ГОСТ OIML R 76-1, класс точности II.
Посуда лабораторная стеклянная по ГОСТ 25336.
Посуда мерная лабораторная стеклянная по ГОСТ 1770.
Фарфоровая ступка по ГОСТ 9147 или корундовая ступка по техническому документу.
Пипетки или дозаторы по техническим документам.
Фильтр "красная лента" по техническому документу.
Вода дистиллированная по ГОСТ 6709.
Кислота соляная по ГОСТ 3118, разбавленная 1:1 и 1:3.
Аммиак водный по ГОСТ 3760, разбавленный 1:4.
Свинец азотнокислый по ГОСТ 4236.
Натрий хлористый по ГОСТ 4233.
Магний сернокислый 7-водный по ГОСТ 4523, х. ч.
Оксид магния по ГОСТ 4526, ч. д. а.
Натрий уксуснокислый 3-водный по ГОСТ 199.
Кислота уксусная по ГОСТ 61, раствор с молярной концентрацией 2 моль/дм3.
Аммоний хлористый по ГОСТ 3773 и раствор с массовой долей 10 %.
Калия гидроксид по ГОСТ 24363, раствор с массовой долей 20 %, хранят в полиэтиленовом сосуде.
Соль динатриевая этилендиамин-N, N, N`, N`-тетрауксусной кислоты 2-водная (трилон Б) по ГОСТ 10652, раствор с молярной концентрацией 0, 05 моль/дм3 или 0, 0125 моль/дм3.
Триэтаноламин по техническому документу, разбавленный 1:1.
Аммиачный буферный раствор с рН 10: 54 г хлористого аммония растворяют в воде, добавляют 350 см3 водного аммиака и доводят дистиллированной водой до 1000 см3 и перемешивают.
Ацетатный буферный раствор с рН (4, 8-5, 0): 1 дм3 раствора уксусной кислоты с молярной концентрацией 2 моль/дм3 смешивают с 1 дм3 раствора, содержащего 540 г 3-водного уксуснокислого натрия.
Индикатор эриохром сине-черный Р по техническому документу.
Индикаторная смесь: 0, 1 г индикатора эриохрома сине-черного Р растирают в фарфоровой ступке с 30 г хлористого натрия.
Индикатор эриохром черный Т по техническому документу.
Индикаторная смесь: 0, 1 г индикатора эриохрома черного Т растирают в фарфоровой ступке с 10 г хлористого натрия.
Индикатор ксиленоловый оранжевый по техническому документу.
Индикаторная смесь: 0, 1 г индикатора ксиленолового оранжевого растирают в фарфоровой ступке с 10 г хлористого натрия.
Индикаторная бумага Конго по техническому документу.
6.2.1 Приготовление стандартных растворов
6.2.2 Стандартный раствор оксида магния с молярной концентрацией готовят по 5.2.1.
6.2.3 Массовую концентрацию раствора трилона Б по оксиду магния устанавливают по стандартному раствору оксида магния.
Аликвотную часть стандартного раствора оксида магния помещают в коническую колбу вместимостью 300 см3, приливают 20 см3 буферного раствора с рН 10 и разбавляют дистиллированной водой до 100 см3. Добавляют (0, 15-6, 20) г индикаторной смеси эриохрома черного Т и титруют раствором трилона Б до перехода окраски раствора из малиновой в синюю. Для улучшения контрастности изменения цвета добавляют (2-3) см3 раствора триэтаноламина (1:1).
Массовую концентрацию раствора трилона Б по оксиду магния, ρТРБ (MgO), г/см3, вычисляют по формуле
,
(4)
где V - объем аликвотной части стандартного раствора оксида магния, см3;
ρMgO - массовая концентрация стандартного раствора оксида магния, г/см3;
V1 - объем раствора трилона Б, израсходованный на титрование, см3.
6.2.4 Массовую концентрацию раствора трилона Б по оксиду магния допускается устанавливать по азотнокислому свинцу.
В коническую колбу вместимостью 300 см3 помещают азотнокислый свинец массой (0, 2-0, 3) г, добавляют 100 см3 дистиллированной воды, нагретой до температуры (50-60) °С, 10 см3 ацетатного буферного раствора с рН (4, 8-5, 0), 0, 2 г индикаторной смеси ксиленолового оранжевого и титруют раствором трилона Б до перехода окраски раствора из малиновой в желтую.
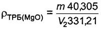
Массовую концентрацию раствора трилона Б по оксиду магния, ρТРБ (MgO), г/см3, вычисляют по формуле
,
(5)
где m - масса азотнокислого свинца, г;
40, 305 - молекулярная масса оксида магния;
V2 - объем раствора трилона Б, израсходованный на титрование, см3;
331, 21 - молекулярная масса азотнокислого свинца.
6.3 Проведение анализа
Аналитическую пробу массой 0, 1 г помещают в мерный стакан вместимостью 100 см3, растворяют в 15 см3 соляной кислоты (1:1), выпаривают до объема (1, 5-2) см3 на электроплитке закрытого типа.
Добавляют в мерный стакан 30 см3 горячей дистиллированной воды, (2-3) см3 раствора хлористого аммония, раствор кипятят и осторожно добавляют по каплям водный аммиак для осаждения гидроксидов железа и алюминия. Полноту осаждения контролируют по бумаге Конго. Затем раствор снова кипятят и отфильтровывают осадок на фильтр "красная лента". Небольшим количеством горячей дистиллированной воды обмывают стакан (3-4) раза. Осадок на фильтре промывают (5-6) раз.
Полученный фильтрат объемом около 100 см3 подогревают до кипения, добавляют 10 см3 раствора гидроксида калия, 0, 2 г индикаторной смеси эриохрома сине-черного Р и титруют раствором трилона Б с молярной концентрацией 0, 0125 моль/дм3 до перехода окраски раствора из малиновой в голубую.
В оттитрованный раствор добавляют соляной кислоты (1:1) до полного растворения гидроксида магния (изменение цвета бумаги Конго до синего). Добавляют 10 см3 аммиачного буферного раствора, 0, 2 г индикаторной смеси эриохрома черного Т и титруют раствором трилона Б с молярной концентрацией 0, 05 моль/дм3 до перехода окраски раствора из малиновой в синюю. Для усиления контрастности изменения цвета добавляют (2-3) см3 раствора триэтаноламина (1:1).
6.4 Обработка результатов
6.4.1 Массовую долю оксида магния, %, вычисляют по формуле
,
(6)
где V2 - объем раствора трилона Б, израсходованного на титрование магния, см3;
ρТРБ (MgO) - массовая концентрация раствора трилона Б по оксиду магния, г/см3;
m - масса аналитической пробы, г.
6.4.2 Нормы точности и нормативы контроля точности определений массовой доли оксида магния приведены в разделе 9.
7.1 Сущность метода
Метод основан на титровании суммы оксидов магния и кальция трилоном Б при рН 10 в присутствии индикаторов кислотного хром темно-синего, тимолфталексона или метилтимолового синего.
Алюминий и железо предварительно маскируют триэтаноламином.
Метод распространяется на высокомагнезиальные и магнезиальноизвестковые огнеупоры.
7.2 Аппаратура, реактивы, растворы и вспомогательные устройства
Печь муфельная с терморегулятором, обеспечивающая поддержание температуры нагрева 1000 °С с пределами допустимого отклонения ± 50 °С.
Весы по ГОСТ 24104 или по ГОСТ OIML R 76-1, класс точности II.
Плитка электрическая закрытого типа по техническому документу.
Тигли платиновые N 100-7 или N 100-8 по ГОСТ 6563.
Крышки платиновые N 101-7 или N 101-8 по ГОСТ 6563.
Фарфоровая ступка по ГОСТ 9147 или ступка корундовая по техническому документу.
Вода дистиллированная по ГОСТ 6709.
Натрий углекислый по ГОСТ 83.
Натрий тетраборнокислый 10-водный по ГОСТ 4199.
Безводный тетраборнокислый натрий, изготовленный из натрия тетраборнокислого 10-водного, обезвоженного при температуре (400 ± 20) °С.
Кислота соляная по ГОСТ 3118, разбавленная 1:3.
Спирт этиловый ректификованный технический по ГОСТ 18300.
Аммоний хлористый по ГОСТ 3773 и раствор с массовой долей 20 %.
Аммиак водный по ГОСТ 3760.
Калий хлористый по ГОСТ 4234.
Калий углекислый по ГОСТ 4221.
Соль динатриевая этилендиамин-N, N, N`, N`-тетрауксусной кислоты 2-водная (трилон Б) по ГОСТ 10652, раствор с молярной концентрацией 0, 075 моль/дм3: 14 г трилона Б растворяют в 200 см3 дистиллированной воды, доводят дистиллированной водой до объема 1000 см3 и перемешивают. Допускается использовать раствор трилона Б с молярной концентрацией 0, 025 моль/дм3.
Смесь для сплавления: углекислый натрий и безводный тетраборнокислый натрий в массовом соотношении 2:1.
Смесь для сплавления: углекислый натрий, безводный тетраборнокислый натрий и углекислый калий в массовом соотношении 1:1:1.
Триэтаноламин (2, 2`, 2``-нитрилотриэтанол) по техническому документу, разбавленный 1:3.
Аммиачный буферный раствор с рН 10: 67, 5 г хлористого аммония растворяют в (300-400) см3 дистиллированной воды, приливают 570 см3 водного аммиака, разбавляют дистиллированной водой до объема 1000 см3 и перемешивают.
Индикатор кислотный хром темно-синий по техническому документу раствор с массовой долей 0, 5 %: к 1 см3 раствора хлористого аммония с массовой долей 20 % прибавляют 1 см3 водного аммиака и 8 см3 дистиллированной воды. В полученной смеси растворяют 0, 5 г кислотного хром темно-синего, доводят этиловым спиртом до 100 см3 и перемешивают.
Индикатор тимолфталексон по техническому документу или индикатор метилтимоловый синий по техническому документу.
Смесь индикаторная: 0, 05 г тимолфталексона или метилтимолового синего и 50 г хлористого калия тщательно растирают в фарфоровой ступке.
Раствор сернокислого магния стандартной концентрации эквивалента сернокислого магния 0, 1 моль/дм3, приготовленный из фиксанала сернокислого магния. 1 см3 раствора содержит 0, 002016 г оксида магния.
Фильтр "красная лента" по техническому документу.
7.2.1 Для установления массовой концентрации раствора трилона Б по оксиду магния в коническую колбу вместимостью (250-300) см3 переносят 25 см3 стандартного раствора сернокислого магния, прибавляют (70-80) см3 дистиллированной воды, 2 см3 раствора триэтаноламина и перемешивают. Добавляют 15 см3 буферного раствора с рН 10, (5-7) капель раствора индикатора кислотного хром темно-синего и титруют раствором трилоном Б до перехода окраски раствора из розовой в синюю. При использовании индикаторной смеси тимолфталексона или метилтимолового синего с хлористым калием (0, 3-0, 4) г титруют раствором трилоном Б до изменения окраски раствора из ярко-голубой в бесцветную. В конечной точке титрования раствор может иметь неизменяющийся слабо-голубой цвет.
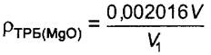
Массовую концентрацию раствора трилона Б по оксиду магния ρТРБ (MgO), г/см3, рассчитывают по формуле
,
(7)
где 0, 002016 - массовая концентрация стандартного раствора сернокислого магния с молярной концентрацией эквивалента сернокислого магния 0, 1 моль/дм3, вычисленная по оксиду магния;
V - объем стандартного раствора сернокислого магния, взятый для установления массовой концентрации, см3;
V1 - объем раствора трилона Б, израсходованный на титрование, см3.
7.3 Проведение анализа
7.3.1 Аналитическую пробу массой (0, 25-0, 5) г перемешивают в платиновом тигле с 5, 0 г смеси для сплавления, закрывают тигель крышкой и сплавляют в муфельной печи при (950-1000) °С в течение (10-20) мин. В стакан вместимостью 250 см3 помещают остывший тигель со сплавом и выщелачивают в 60 см3 соляной кислоты (1:3). Тигель и крышку ополаскивают дистиллированной водой. Полученный раствор переносят в мерную колбу вместимостью 250 см3, доводят дистиллированной водой до метки и перемешивают. Отбирают аликвотную часть объемом (20-25) см3 в зависимости от массы аналитической пробы и концентрации трилона Б.
Полученный раствор может быть использован для определения оксида кальция по 5.3.7 ГОСТ 2642.7, оксида железа разделы 5 и 6 ГОСТ 2642.5, оксида кремния (IV) раздел 7 ГОСТ 2642.3.
Допускается применять аликвотную часть раствора, полученного по ГОСТ 2642.3, раздел 6.
7.3.2 Допускается готовить раствор без сплавления аналитической пробы. Для этого аналитическую пробу массой 0, 5 г помещают в стакан вместимостью 250 см3, приливают 30 см3 соляной кислоты (1:3), и нагревают в течение (6-15) мин при периодическом перемешивании до растворения аналитической пробы. Допускается присутствие нерастворимого остатка. Раствор переносят в мерную колбу вместимостью 250 см3, доливают дистиллированной водой до метки, перемешивают и фильтруют в сухую колбу через фильтр "красная лента", отбрасывая первую порцию фильтрата. Отбирают аликвотную часть объемом 25 см3.
7.3.3 Аликвотную часть анализируемого раствора переносят в коническую колбу вместимостью 250 см3, приливают (70-80) см3 дистиллированной воды, 2 см3 раствора триэтаноламина, тщательно перемешивают и добавляют 15 см3 аммиачного буферного раствора. Вводят (5-7) капель раствора индикатора кислотного хром темно-синего и титруют раствором трилона Б до перехода окраски раствора из розовой в синюю или прибавляют (0, 3-0, 4) г индикаторной смеси тимолфталексона или метилтимолового синего с хлористым калием и титруют раствором трилона Б до перехода окраски раствора из ярко-голубой в бесцветную. В конечной точке титрования раствор может иметь неизменяющийся слабо-голубоватый цвет.
7.4 Обработка результатов
7.4.1 Массовую долю оксида магния wMgO, %, вычисляют по формуле
,
(8)
где V1 - объем раствора трилона Б, израсходованный на титрование, см3;
ρТРБ (MgO) - массовая концентрация раствора трилона Б по оксиду магния, г/см3;
V- общий объем анализируемого раствора, см3;
m - масса аналитической пробы, г;
V2 - объем аликвотной части анализируемого раствора, см3;
0, 719 - коэффициент пересчета оксида кальция на оксид магния;
wCaO - массовая доля оксида кальция, определенная по ГОСТ 2642.7, %.
7.4.2 Нормы точности и нормативы контроля точности определения массовой доли оксида магния приведены в разделе 9.
8.1 Сущность метода
Метод основан на разложении пробы смесью фтористоводородной и серной кислот и измерении атомной абсорбции магния в пламени воздух - ацетилен при длине волны 285, 2 нм.
Метод распространяется на огнеупорное сырье, кремнеземистые, алюмосиликатные и глиноземистые огнеупоры.
8.2 Аппаратура, реактивы, растворы и вспомогательные устройства
Печь муфельная с терморегулятором, обеспечивающая поддержание температуры 1000 °С с пределами допустимого отклонения ± 50 °С.
Электроплитка закрытого типа по техническому документу.
Атомно-абсорбционный спектрофотометр с источником излучения для магния.
Чашки платиновые N 118-3 по ГОСТ 6563 или чашки из стеклоуглерода N 2 по техническому документу.
Посуда мерная лабораторная стеклянная по ГОСТ 1770.
Посуда лабораторная стеклянная по ГОСТ 25336.
Кислота серная по ГОСТ 4204.
Кислота соляная по ГОСТ 3118, разбавленная 1:1.
Кислота фтористоводородная по ГОСТ 10484.
Магния оксид по ГОСТ 4526.
Вода дистиллированная по ГОСТ 6709.
Оксид лантана по техническому документу, раствор с массовой концентрацией лантана 0, 1 г/см3: 29, 25 г оксида лантана растворяют в 50 см3 соляной кислоты, переливают в мерную колбу вместимостью 250 см3, доводят до метки дистиллированной водой и перемешивают.
Хлористый лантан по техническому документу или иные соли лантана, раствор с массовой концентрацией в пересчете на лантан 0, 1 г/см3.
Фильтр "синяя лента" по техническому документу.
Стандартный раствор оксида магния с массовой концентрацией оксида магния 0, 001 г/см3 (раствор А): 1 г оксида магния, прокаленного при температуре 950 °С до постоянной массы, растворяют в 40 см3 раствора соляной кислоты (1:1) при нагревании. Раствор охлаждают, переносят в мерную колбу вместимостью 1000 см3, доливают дистиллированной водой до метки и перемешивают.
Стандартный раствор оксида магния с массовой концентрацией оксида магния 0, 000025 г/см3 (раствор Б): 5 см3 стандартного раствора А приливают в колбу вместимостью 200 см3, доливают дистиллированной водой до метки и перемешивают.
Серию градуировочных растворов оксида магния готовят следующим образом. В мерные колбы вместимостью 100 см3 приливают 1, 0; 2, 0; 3, 0; 4, 0; 6, 0; 8, 0; 10, 0; 12, 0; 14, 0; 16, 0 см3 стандартного раствора Б, что соответствует 0, 000025; 0, 000050; 0, 000075; 0, 000100; 0, 000150; 0, 000200; 0, 000250; 0, 000300; 0, 000350 и 0, 000400 г оксида магния. В каждую колбу добавляют 5 см3 раствора лантана, доливают до метки дистиллированной водой и перемешивают.
8.3 Проведение анализа
8.3.1 Аналитическую пробу массой 0, 5 г помещают в платиновую чашку или чашку из стеклоуглерода, смачивают водой, приливают 15 см3 фтористоводородной кислоты, (2-3) см3 серной кислоты и выпаривают на закрытой электроплитке при периодическом помешивании до появления паров серного ангидрида. Чашку охлаждают, обмывают стенки дистиллированной водой и выпаривают содержимое чашки досуха. Сухой остаток прокаливают в муфельной печи при температуре 600 °С в течение (2-3) мин. Остывшую чашку с сухим остатком помещают в мерный термостойкий стакан вместимостью 250 см3 и растворяют при нагревании в (20-30) см3 соляной кислоты (1:1). Раствор кипятят (8-10) мин, охлаждают, переносят в мерную колбу вместимостью 250 см3, тщательно очищая дно и стенки чашки стеклянной палочкой с резиновым наконечником, доводят до метки дистиллированной водой и перемешивают. Затем фильтруют через двойной сухой фильтр "синяя лента", отбрасывая первые две порции фильтрата.
8.3.2 Аликвотная часть фильтрата в зависимости от предполагаемой массовой доли оксида магния приведена в таблице 1.
Таблица 1
|
Массовая доля оксида магния, % |
Аликвотная часть раствора, см3 |
|
От 0, 1 до 0, 8 включ. |
10 |
|
Св. 0, 8 " 1, 5 " |
5 |
|
" 1, 5 " 10 " |
2 |
Аликвотную часть фильтрата помещают в мерную колбу вместимостью 100 см3, добавляют 5 см3 раствора лантана, доливают до метки дистиллированной водой и перемешивают.
Измеряют абсорбцию магния при длине волны 285, 2 нм в пламени воздух-ацетилен.
Измерение проводят методом ограничивающих растворов. При смене растворов систему распыления промывают водой и проверяют нуль прибора.
8.4 Обработка результатов
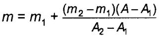
8.4.1 Массу оксида магния m, г, в аликвотной части анализируемого раствора вычисляют по формуле
,
(9)
где m1 и m2 - масса оксида магния в градуировочных растворах (m1 > m2), г;
А - атомное поглощение анализируемого раствора;
A1, A2 - атомное поглощение градуировочных стандартных растворов.
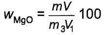
8.4.2 Массовую долю оксида магния, %, вычисляют по формуле
,
(10)
где m - масса оксида магния в аликвотной части анализируемого раствора, г;
V - общий объем исходного раствора, см3;
m3 - масса аналитической пробы, г;
V1 - объем аликвотной части раствора, см3.
8.4.3 Нормы точности и нормативы контроля точности определения массовой доли оксида алюминия приведены в разделе 9.
9.1 Проверка приемлемости
Проверяют приемлемость результатов определений массовой доли оксида магния. Результат проверки считают удовлетворительным, если выполняется условие
|wMgO₁- wMgO₂|≤r,
(11)
где wMgO₁, wMgO₂ - значения массовой доли оксида магния, полученные в условиях повторяемости, %;
r - предел повторяемости, таблица 2.
За результат определения массовой доли оксида магния принимают среднее арифметическое значение w̅MgO, полученное по двум последовательным определениям, удовлетворяющим требованию приемлемости.
Если условие (11) не выполнено, проводят два дополнительных определения и проверяют приемлемость вновь полученных результатов.
Если результаты дополнительных определений не удовлетворяют требованиям приемлемости, то за результат определений принимают среднее арифметическое из четырех полученных значений при условии, что ряд последовательно полученных значений не возрастает или не убывает монотонно.
Примечание - Допускается проводить проверку приемлемости результатов в соответствии с документами, действующими на территории государства, применяющего стандарт*.
──────────────────────────────
* На территории Российской Федерации действует ГОСТ Р ИСО 5725-6-2002 "Точность (правильность и прецизионность) методов и результатов измерений. Часть 6. Использование значений точности на практике".
9.2 В документе о качестве результат определения массовой доли оксида магния приводят в сокращенном формате без указания расширенной неопределенности.
По требованию заказчика результат определения массовой доли оксида магния может быть приведен в полном формате
[wMgO±U(wMgO)],
(12)
где U(wMgO) - расширенная неопределенность при коэффициенте охвата k = 2.
Результат округляют до того же десятичного знака, которым заканчивается округленное значение расширенной неопределенности U(wMgO).
Примеры
wAl₂O₃ = (0, 103 ± 0, 021) %
wAl₂O₃ = (10, 1 ± 1, 3) %
9.3 Контроль внутрилабораторной прецизионности
Рассчитывают расхождение результатов определений массовой доли оксида магния, полученное в условиях прецизионности. При этом расхождение между двумя средними результатами определений не должно превышать норматив контроля (Rл)
|w̅MgO₁- w̅MgO₂|≤Rл,
(13)
где w̅MgO₁, w̅MgO₂ - первое и второе значения массовой доли оксида магния, %.
При превышении норматива измерения повторяют. При повторном превышении выясняют и устраняют причины, приводящие к неудовлетворительным результатам.
9.4 Оперативный контроль точности
Контроль выполнения процедуры определений (контроль точности результатов измерений) проводят не реже одного раза в смену или одновременно с каждой партией рабочих проб. Для контроля точности результатов измерений применяют государственные стандартные образцы, стандартные образцы предприятия или смеси, аттестованные в установленном порядке. Если отклонение результата определения массовой доли оксида магния в образце для контроля w̅MgO от аттестованного (расчетного) значения Асо не превышает норматива контроля KT (таблица 2)
|w̅MgO-Aco|≤Kт,
(14)
результаты контрольной процедуры признают удовлетворительными. При невыполнении условия (14) определение повторяют. При повторном невыполнении условия (14) определения прекращают до выявления и устранения причин, приводящих к неудовлетворительным результатам.
Таблица 2
В процентах
|
Массовая доля оксида магния |
Нормы точности и нормативы контроля точности | |||
|
U(w) |
Rл |
r |
KT | |
|
От 0, 1 до 0, 2 включ. |
0, 04 |
0, 05 |
0, 04 |
0, 03 |
|
Св. 0, 2 " 0, 5 " |
0, 06 |
0, 08 |
0, 06 |
0, 04 |
|
" 0, 5" 1 " |
0, 08 |
0, 10 |
0, 08 |
0, 05 |
|
" 1 " 2 " |
0, 09 |
0, 12 |
0, 10 |
0, 06 |
|
" 2 " 5 " |
0, 14 |
0, 20 |
0, 15 |
0, 10 |
|
" 5 "10 " |
0, 20 |
0, 25 |
0, 20 |
0, 15 |
|
" 10 " 20 " |
0, 3 |
0, 4 |
0, 3 |
0, 2 |
|
" 20 " 50 " |
0, 5 |
0, 6 |
0, 5 |
0, 3 |
|
" 50 "99 " |
0, 6 |
0, 7 |
0, 6 |
0, 4 |
Результаты определений записывают в протокол, в котором указывают:
- обозначение настоящего стандарта;
- наименование организации, проводившей испытание;
- обозначение испытуемого огнеупора или огнеупорного сырья, марку, номер партии;
- наименование предприятия-изготовителя;
- дату проведения испытания;
- метод определения оксида магния;
- значение результата определения оксида магния;
- должность, фамилию, имя, отчество исполнителя;
- подпись исполнителя.
Примечание - Допускается проводить оформление результатов измерений в соответствии с ГОСТ ИСО/МЭК 17025 либо с правилами, действующими на конкретном предприятии.


