электронный сборник нормативных документов по строительству
Обновления
17.04.2026 22:49
электронный сборник нормативных документов по строительству

ГОСТ 21073.2-75 МЕТАЛЛЫ ЦВЕТНЫЕ. ОПРЕДЕЛЕНИЕ ВЕЛИЧИНЫ ЗЕРНА МЕТОДОМ ПОДСЧЕТА ЗЕРЕН

Введен в действие постановлением Государственного комитета стандартов Совета Министров СССР от 15 августа 1975 г. N 2164
Межгосударственный стандарт ГОСТ 21073.2-75
"МЕТАЛЛЫ ЦВЕТНЫЕ. ОПРЕДЕЛЕНИЕ ВЕЛИЧИНЫ ЗЕРНА МЕТОДОМ ПОДСЧЕТА ЗЕРЕН"

Non-ferrous metals. Determination of grain size bu grain calkulation method

Группа В09
ОКСТУ 1709

Срок введения установлен с 1 июля 1976 г.

Настоящий стандарт распространяется на цветные металлы и устанавливает метод подсчета зерен для определения величины зерна.

Метод применяется для количественных характеристик величины зерна при исследовательских или опытных работах и т.д.

Метод подсчета зерен не следует применять для определения величины неравноосных зерен.

Стандарт соответствует СТ СЭВ 1959-79 в части метода подсчета зерен.

(Измененная редакция, Изм. N 1).

1. Общие требования

1.1. Общие требования к методу испытания - по ГОСТ 21073.0-75.

2. Проведение испытания

2.1. Для определения величины зерна поверхность шлифа просматривают и выбирают не менее трех типичных мест, а при определении статистических характеристик (Smin, Smax, σs) - не менее 15 типичных мест и производят соответствующее число измерений.

2.2. Для определения величины зерна применяют контрольную площадь подсчета.

2.3. Определение величины зерна производят при таком увеличении, чтобы внутри контрольной площади находилось целиком 30-100 зерен.

2.4. На изображение измеряемого места, наблюдаемого на матовом стекле микроскопа, на микрофотографии или непосредственно в окуляре микроскопа (если окуляр снабжен изображением контуров контрольной площади подсчета) наносят контуры контрольной площади подсчета.

2.5. В качестве контрольной площади подсчета используют следующие фигуры при 100-кратном (линейном) увеличении, ограничивающие на шлифе площадь 0, 5 мм2:

круг диаметром 79, 8 ± 0, 4 мм;

квадрат или прямоугольники размерами 70, 7Ч70, 7; 65Ч77; 60Ч83, 3; 55Ч91; 50Ч100 мм с предельными отклонениями± 0, 4 мм.

Указанные размеры берут по внутренним контурам фигур.

2.6. При увеличениях, отличных от 100-кратного, допускается применять площади подсчета других размеров в виде круга или прямоугольников с соотношением сторон от 1:2 до 2:1.

2.7. Величину зерна определяют подсчетом числа зерен n1, целиком находящихся внутри контрольной площади подсчета, и n2, рассекаемых внутренним контуром контрольной площади подсчета, исключая зерна, находящиеся на углах контрольной площади подсчета в виде квадрата или прямоугольника.

Разница при подсчете количества зерен на одном шлифе не должна составлять более 50 %.

(Измененная редакция, Изм. N 1).

3. Обработка результатов

3.1. За результат испытания принимают одну или несколько величин:

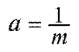
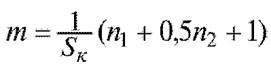
а) среднее число зерен m, приходящееся на 1 мм2 площади шлифа;

б) среднюю площадь сечения зерна a, мм2;

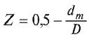
в) минимальную и максимальную площадь сечения зерна dmin и dmax соответственно, мм2;

г) среднеквадратическое отклонение единичных измерений площади сечения зерна σa, мм.

3.2. Расчет производят по формулам:

а) при контрольной площади подсчета в виде круга

image001.jpg,

где image002.jpg.

При контрольной площади подсчета в виде круга диаметром 79, 8 мм величина коэффициента a в зависимости от числа зерен приведена в таблице.

Число зерен внутри контрольной площади подсчета

a

30

0, 455

40

0, 460

50

0, 465

100

0, 475

б) при контрольной площади подсчета в виде квадрата или прямоугольника

image003.jpg;

в) при контрольной площади подсчета любых фигур:

image004.jpg.

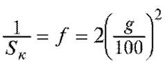
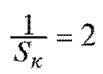
При соблюдении условий п. 2.5 и 100-кратном увеличении

image005.jpg.

При соблюдении условий п. 2.5, но при увеличении, отличном от 100-кратного

image006.jpg.

Величина коэффициента f для наиболее применительных увеличений приведена в приложении.

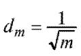
3.3. В качестве справочной величины, характеризующей размер зерна при определении его методом подсчета зерен, может быть вычислен средний диаметр зерна d по формуле

image007.jpg.

3.1-3.3. (Измененная редакция, Изм. N 1).

Приложение
Справочное

Значение коэффициента f для наиболее применительных увеличений

Увеличение (линейное)

f

Увеличение (линейное)

f

Увеличение (линейное)

f

10

0, 02

100

2, 00

300

18, 0

25

0, 125

150

4, 50

500

50, 0

50

0, 500

200

8, 00

750

112, 5

75

1, 125

250

12, 5

1000

200, 0

Яндекс.Метрика