Введен в действие постановлением Государственного комитета СССР по стандартам от 19 декабря 1985 г. N 4213
Государственный стандарт Союза ССР ГОСТ 26715-85
"УДОБРЕНИЯ ОРГАНИЧЕСКИЕ. МЕТОДЫ ОПРЕДЕЛЕНИЯ ОБЩЕГО АЗОТА"
Organic fertilizers. Methods for determination of total nitrogen
Срок действия установлен - с 1 января 1987 г.
до 1 января 1992 г.
Ограничение срока действия снято в 1991 г.
Настоящий стандарт распространяется на органические удобрения и устанавливает методы определения массовой доли общего азота.
1. Определение общего азота по методу Кьельдаля
Метод основан на минерализации анализируемого удобрения при нагревании с концентрированной серной кислотой в присутствии перекиси водорода, смешанного катализатора или раствора фенола в серной кислоте, с последующей отгонкой аммиака в раствор борной кислоты и титровании серной кислотой.
1.1. Метод отбора проб
1.1.1. Отбор проб - по ГОСТ 26712-85 со следующими дополнениями.
1.1.1.1. Для определения массовой доли общего азота используют сухой остаток навески органического удобрения после определения массовой доли влаги.
Из сухого остатка после его тщательного перемешивания отбирают не менее чем из пяти точек навеску для анализа.
Масса навески должна быть 1, 0 г. Взвешивание проводят с погрешностью не более 0, 001 г.
Если анализ проводят через 12 ч и более после определения массовой доли влаги, сухой остаток навески подсушивают в сушильном шкафу в течение 1 ч при температуре 100 - 105°С.
1.1.1.2. Допускается проводить определение массовой доли общего азота в пробе удобрения с исходной влажностью. Пробу удобрения тщательно перемешивают и отбирают не менее чем из 5 точек навеску для анализа.
Масса навески должна быть 20 г. Взвешивание проводят с погрешностью не более 0, 1 г.
1.2. Аппаратура, материалы и реактивы
Для проведения анализа применяют:
весы лабораторные 2-го класса точности с наибольшим пределом взвешивания 200 г и 4-го класса точности с наибольшим пределом взвешивания 500 г по ГОСТ 24104-80;
баню водяную типа БКЛ или любого другого типа;
нагреватель для колб типа НK или другое аналогичное устройство или газовые горелки;
установку для определения азота в органических соединениях по Кьельдалю типа ПАВ или другую аналогичную установку (чертеж);
палочку стеклянную;
колбы Кьельдаля исполнения 1 и 2, вместимостью 250 см3 по ГОСТ 25336-82;
колбы мерные исполнения 1 или 2, вместимостью 250 и 1000 см3, 2-го класса точности по ГОСТ 1770-74;
бюретки исполнения 1, 2 или 6, 7, вместимостью 5 см3, 2-го класса точности, О, по ГОСТ 20292-74;
пипетки исполнения 6 или 7, вместимостью 5 см3, 2-го класса точности, О, по ГОСТ 20292-74;
цилиндры исполнения 1, вместимостью 50, 250 и 1000 см3, 2-го класса точности, Н, по ГОСТ 1770-74;
воронки типа В диаметром 25 или 36 мм по ГОСТ 25336-82;
кружку фарфоровую N 4, вместимостью 1500 см3 по ГОСТ 9147-80;
ступку фарфоровую N 4 - 6 по ГОСТ 9147-80;
колбы плоскодонные исполнения 1 или 2 из термостойкого стекла, вместимостью 2 дм3 по ГОСТ 25336-82;
кружку фарфоровую N 2, вместимостью 1000 см3 по ГОСТ 9147-80;
реактив Несслера по ГОСТ 4517-75;
кислоту серную концентрированную по ГОСТ 4204-77 и раствор молярной концентрации 0, 05 моль/дм3, приготовленный по ГОСТ 25794.1-83; допускается использование стандарт-титра;
кислоту борную по ГОСТ 9656-75, раствор массовой долей 4%;
натрий гидроокись по ГОСТ 4328-77, раствор массовой долей 40%;
перекись водорода по ГОСТ 10929-76, раствор массовой долей 30%;
Установка для отгонки аммиака
медь сернокислую по ГОСТ 4165-78;
селен металлический, порошок;
индикатор смешанный кислотно-основной, рН 5, 4, приготовленный по ГОСТ 4919.1-77;
фенол по ГОСТ 6417-72;
пыль или стружку цинковую;
калий сернокислый по ГОСТ 4145-74;
фильтры бумажные по ГОСТ 12026-76;
бумагу индикаторную универсальную.
1.3. Подготовка к анализу
1.3.1. Приготовление смешанного катализатора
100, 0 г сернокислой меди и 3, 0 г металлического селена смешивают и тщательно растирают в фарфоровой ступке.
1.3.2. Приготовление раствора фенола в серной кислоте
40, 0 г фенола помещают в плоскодонную колбу из термостойкого стекла вместимостью 2 дм3 и приливают 1 дм3 концентрированной серной кислоты. Колбу закрывают корковой пробкой с длинной стеклянной трубкой (около 65 см), ставят на нагретую водяную баню и выдерживают на ней при периодическом и осторожном взбалтывании до полного растворения фенола.
Раствор хранят в холодильнике не более 3 мес.
1.3.3. Приготовление раствора борной кислоты массовой долей 4%
40, 0 г борной кислоты растворяют при нагревании в 200 см3 дистиллированной воды в мерной колбе вместимостью 1 дм3. После охлаждения объем раствора доводят до метки дистиллированной водой.
1.3.4. Приготовление раствора гидрата окиси натрия массовой долей 40%.
400, 0 г гидрата окиси натрия помещают в фарфоровый стакан вместимостью 1 дм3 и приливают 600 см3 дистиллированной воды при постоянном помешивании стеклянной палочкой. Перемешивание раствора ведут до тех пор, пока гидрат окиси натрия не растворится полностью. После охлаждения раствор помещают в полиэтиленовый флакон и закрывают пробкой.
Раствор хранят в вытяжном шкафу не более 3 мес.
1.3.5. Приготовление смеси сернокислой меди и сернокислого калия
10, 0 г сернокислой меди и 100, 0 г сернокислого калия смешивают и тщательно растирают в фарфоровой ступке.
1.4. Проведение анализа
1.4.1. Минерализация сухого органического удобрения
Минерализацию сухого органического удобрения проводят по методу Кьельдаля с использованием смешанного катализатора или перекиси водорода.
1.4.1.1. Минерализация навески сухого органического удобрения в присутствии смешанного катализатора
Навеску анализируемого удобрения помещают в колбу Кьельдаля, добавляют 20 см3 концентрированной серной кислоты и 0, 5 г смешанного катализатора. Содержимое колбы тщательно перемешивают легкими круговыми движениями, обеспечивая полное смачивание навески, и оставляют на 12 - 15 ч. Затем колбу помещают в вытяжной шкаф на колбонагреватель или над газовой горелкой таким образом, чтобы ее ось была наклонена под углом 35° к вертикали. В отверстие колбы помещают воронку и осторожно нагревают до тех пор, пока содержимое колбы не перестанет пениться. Потом нагрев усиливают, доводя смесь в колбе до слабого кипения.
Кипячение продолжают до полного обесцвечивания раствора. После обесцвечивания раствор в колбе кипятят еще в течение 15 - 20 мин, а затем колбу снимают с колбонагревателя и охлаждают.
1, 4.1.2. Минерализация навески сухого органического удобрения в присутствии перекиси водорода
Навеску анализируемого удобрения помещают в колбу Кьельдаля, добавляют 20 см3 концентрированной серной кислоты, 3 см3 раствора перекиси водорода массовой долей 30% и составляют на 12 - 15 ч. Затем в колбу добавляют еще 3 - 5 см3 того же раствора перекиси водорода и помещают колбу в вытяжной шкаф на колбонагреватель.
Далее минерализацию удобрения проводят по п. 1.4.1.1.
1.4.2. Минерализация органического удобрения с исходной влажностью
Минерализацию органического удобрения с исходной влажностью проводят по методам Кьельдаля или Иодльбауэра.
1.4.2.1. Минерализация органического удобрения с исходной влажностью по методу Кьельдаля в присутствии смешанного катализатора
Навеску анализируемого удобрения помещают в колбу Кьельдаля, заливают 40 см3 концентрированной серной кислоты и добавляют 1, 0 - 1, 5 г смешанного катализатора. Далее минерализацию удобрения проводят по п. 1.4.1.1.
1.4.2.2. Минерализация навески органического удобрения по методу Иодльбауэра
Навеску анализируемого удобрения помещают в колбу Кьельдаля и добавляют 50 - 60 см3 раствора фенола в серной кислоте. При этом происходит разогревание содержимого колбы. После охлаждения колбы в нее добавляют 2, 0 - 3, 0 г цинковой пыли, содержимое колбы перемешивают, через 30 - 40 мин закрывают воронкой, помещают в вытяжной шкаф на колбонагреватель и подогревают. Сначала минерализацию проводят на слабом нагреве, а затем нагрев усиливают, доводя смесь в колбе до слабого кипения. Когда жидкость в колбе примет красноватый оттенок, колбу охлаждают и добавляют в нее 3, 0 - 4, 0 г смеси сернокислой меди и сернокислого калия. Колбу вновь нагревают и содержимое кипятят до обесцвечивания.
Через 15 - 20 мин после обесцвечивания раствора колбу снимают с колбонагревателя и охлаждают.
1.4.3. Разведение минерализата
После охлаждения минерализат, полученный по пп. 1.4.1 или 1.4.2, из колбы Кьельдаля количественно переносят в мерную колбу вместимостью 250 см3, предварительно налив в нее 25 - 30 см3 воды. При этом происходит разогревание содержимого колбы. После охлаждения объем раствора доводят до метки дистиллированной водой.
Полученный раствор минерализата служит исходным для определения массовой доли общих форм азота, фосфора и калия.
1.4.4. Определение общего азота
В реакционную колбу установки для отгонки аммиака (см. чертеж) помещают 35 - 50 см3 анализируемого раствора, полученного по п. 1.4.3. В приемник помещают 30 - 40 см3 раствора борной кислоты массовой долей 4% и прибавляют 3 - 5 капель смешанного индикатора. Приемник подставляют под холодильник так, чтобы барботер был полностью погружен в раствор борной кислоты.
В реакционную колбу через воронку прибора осторожно добавляют 25 - 30 см3 раствора гидрата окиси натрия массовой долей 40%. Воронку ополаскивают дистиллированной водой с таким расчетом, чтобы объем жидкости в реакционной колбе составил 100 - 150 см3, закрывают кран воронки, начинают нагрев реакционной колбы и доводят раствор до кипения. Нагрев регулируют так, чтобы кипение было спокойным. Отгонку ведут до тех пор, пока не перегонится 2/3 объема жидкости. Полноту отгонки контролируют пробой конденсата с реактивом Несслера. При отсутствии аммиака не должно появляться желтой окраски реактива Несслера.
Допускается проводить проверку полноты отгонки по индикаторной бумаге (рН 6 - 7).
После окончания отгонки приемник отсоединяют, барботер обмывают дистиллированной водой, собирая промывные воды в приемник, и содержимое приемника титруют раствором серной кислоты молярной концентрации 0, 05 моль/дм3 до перехода зеленой окраски в малиновую.
Одновременно проводят контрольный опыт через все стадии анализа в тех же условиях и с тем же количеством реактивов, но без анализируемого удобрения для внесения поправки в результат анализа, с целью учета содержания примесей аммония в реактивах.
1.5. Обработка результатов
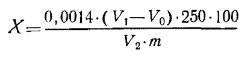
1.5.1. Массовую долю общего азота (X) в процентах в удобрении с исходной влажностью вычисляют по формуле

,
где 0, 0014 - масса азота, соответствующая 1 см3 раствора серной кислоты молярной концентрации 0, 05 моль/дм3, израсходованной на титрование анализируемого раствора, г;
V1 - объем раствора серной кислоты молярной концентрации 0, 05 моль/дм3, израсходованный на титрование анализируемого раствора, см3;
V0 - объем раствора серной кислоты молярной концентрации 0, 05 моль/дм3, израсходованный на титрование в контрольном опыте, см3;
250 - объем исходного раствора, см3;
V2- объем анализируемого раствора, взятый для отгонки, см3;
m - масса навески, г.
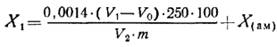
1.5.2. Массовую долю общего азота (Х1) в процентах в сухом удобрении вычисляют по формуле

,
где Х(ам) - массовая доля аммонийного азота, %, на сухой продукт, определенная по ГОСТ 26716-85.
1.5.3. Пересчет результатов определения массовой доли общего азота на продукт в сухом состоянии или с исходной влажностью - по ГОСТ 26712-85.
1.5.4. Оценка результатов анализа и контроль точности - по ГОСТ 26712-85.
1.5.5. Допускаемые расхождения между результатами двух параллельных определений при доверительной вероятности Р = 0, 95 не должны превышать значений, указанных в табл. 1.
Таблица 1
|
Массовая доля общего азота, % на сухой продукт
|
Допускаемые расхождения, %
|
|
До 1, 0
От 1, 0 до 3, 0
Более 3, 0
|
0, 1
0, 2
0, 3
|
1.5.6. Предел возможных значений погрешности определения массовой доли общего азота при доверительной вероятности Р = 0, 95 составляет, %: ±0, 1 - при массовой доле общего азота до 1%, ±0, 2 - от 1 до 3%, ±0, 3 - более 3%.
2. Фотометрический метод определения общего азота в модификации ЦИНАО
Метод основан на минерализации сухого органического удобрения при нагревании с концентрированной серной кислотой в присутствии перекиси водорода или смешанного катализатора с последующим измерением оптической плотности окрашенного индофенольного соединения, образующегося в щелочной среде при взаимодействии аммиака с гипохлоритом и салицилатом натрия.
2.1. Метод отбора проб
2.1.1. Отбор проб - по п. 1.1.1.1.
2.2. Аппаратура, материалы и реактивы
Для проведения анализа применяют:
весы лабораторные 2-го класса точности с наибольшим пределом взвешивания 200 г по ГОСТ 24104-80;
нагреватель для колб типа НK или другое аналогичное устройство или газовые горелки;
фотоэлектроколориметр или спектрофотометр любого типа;
колбы Кьельдаля исполнения 1 и 2, вместимостью 250 см3 по ГОСТ 25336-82;
колбы мерные исполнения 1 или 2, вместимостью 100, 250, 1000 и 2000 см3, 2-го класса точности, Н, по ГОСТ 1770-74;
пипетки исполнения 4, вместимостью 1 см3 и пипетки исполнения 6 или 7, вместимостью 5 и 10 см3, 2-го класса точности, О, по ГОСТ 20292-74;
цилиндры исполнения 1, вместимостью 50, 250, 1000 и 2000 см3, 2-го класса точности, Н, по ГОСТ 1770-74;
колбы плоскодонные исполнения 1 или 2, вместимостью 4 дм3 по ГОСТ 25336-82;
колбы конические исполнения 1 или 2, вместимостью 100 см3 по ГОСТ 25336-82;
стаканы исполнения 1, вместимостью 100, 500 и 1000 см3 по ГОСТ 25336-82;
банки бытовые по ГОСТ 5717-81;
бюретки исполнения 1 или 2, вместимостью 50 см3, 2-го класса точности, О, по ГОСТ 20292-74;
фильтры бумажные по ГОСТ 12026-76;
кислоту серную по ГОСТ 4204-77;
медь сернокислую по ГОСТ 4165-78;
селен металлический, порошок;
кислоту соляную по ГОСТ 3118-77, раствор молярной концентрации 1 моль/дм3;
натрий серноватистокислый, 5-водный (тиосульфат натрия) по ГОСТ 244-76, раствор молярной концентрации 0, 1 моль/дм3, приготовленный по ГОСТ 25794.1-83; допускается использование стандарт-титра;
натрий гидроокись по ГОСТ 4328-77; раствор молярной концентрации 2 моль/дм3;
натрий салициловокислый по ГОСТ 17628-72;
калий-натрий виннокислый (сегнетова соль) по ГОСТ 5845-79;
натрий нитропруссидный;
натрий углекислый по ГОСТ 83-79;
соль динатриевую этилендиамин-N, N, N, N'-тетрауксусной кислоты 2-водную (трилон Б) по ГОСТ 10652-73;
известь хлорную по ГОСТ 1692-58;
калий йодистый по ГОСТ 4232-74;
аммоний хлористый по ГОСТ 3773-72.
2.3. Подготовка к анализу
2.3.1. Приготовление запасного окрашивающего раствора
56, 7 г салицилата натрия, 16, 7 г сегнетовой соли и 27, 0 г гидрата окиси натрия помещают в мерную колбу вместимостью 1 дм3 и приливают 700 см3 дистиллированной воды. Раствор кипятят около 20 мин для удаления следов аммиака. После охлаждения в полученный раствор добавляют 0, 4 г нитропруссида натрия и доводят объем раствора до метки дистиллированной водой.
Реактив хранят в склянке из темного стекла в холодильнике в течение 1 мес.
2.3.2. Приготовление рабочего окрашивающего раствора
В плоскодонную колбу вместимостью 4000 см3 помещают 250 см3 запасного окрашивающего раствора, приливают 2000 см3 дистиллированной воды и 100 см3 раствора гидрата окиси натрия молярной концентрации 2 моль/дм3, а затем 4, 7 г трилона Б.
Раствор готовят и используют в день проведения анализа.
2.3.3. Приготовление запасного раствора гипохлорита натрия
150 г хлорной извести перемешивают в стакане вместимостью 1 дм3 с 250 см3 дистиллированной воды. В другом стакане вместимостью 500 см3 растворяют 100 г углекислого натрия в 250 см3 дистиллированной воды. Затем оба раствора сливают в колбу или стакан вместимостью 1 дм3 при постоянном перемешивании раствора. Полученную суспензию оставляют на 1 - 2 сут для отстаивания, затем прозрачную надосадочную жидкость сливают через фильтр.
В полученном фильтрате определяют массовую долю хлора. Для этого 1 см3 фильтрата переносят пипеткой в коническую колбу вместимостью 100 см3, добавляют 40 - 50 см3 дистиллированной воды, 2, 0 г йодистого калия и 10 см3 раствора соляной кислоты молярной концентрации 1 моль/дм3.
Образовавшийся йод оттитровывают раствором тиосульфата натрия молярной концентрации 0, 1 моль/дм3 до исчезновения вишневой окраски раствора.
1 см3 раствора тиосульфата натрия молярной концентрации 0, 1 моль/дм3 соответствует 3, 55 мг хлора.
Массовая доля активного хлора в полученном растворе должна быть не менее 6, 0%.
Реактив хранят в склянке из темного стекла в холодильнике, периодически проверяя массовую долю хлора в растворе.
2.3.4. Приготовление рабочего раствора гипохлорита натрия
Запасной раствор гипохлорита натрия, приготовленный по п. 2.3.3, разбавляют дистиллированной водой без аммиака до массовой концентрации свободного хлора 0, 12 г в 100 см3.
Рабочий раствор гипохлорита натрия готовят и используют в день анализа.
2.3.5. Приготовление образцового раствора хлористого аммония
1, 910 г хлористого аммония, предварительно высушенного до постоянной массы при температуре 100 - 105°С, растворяют в дистиллированной воде в мерной колбе вместимостью 1 дм3 и доводят объем раствора до метки дистиллированной водой.
В 1 см3 полученного раствора содержится 0, 5 мг азота.
Раствор хранят в холодильнике не более 3 мес.
2.3.6. Приготовление растворов сравнения
В мерные колбы вместимостью 100 см3 помещают указанные в табл. 2 объемы образцового раствора хлористого аммония. Затем в каждую колбу добавляют по 50 см3 дистиллированной воды, по 8 см3 концентрированной серной кислоты и содержимое колб перемешивают.
Таблица 2
|
Характеристика раствора
|
Номер раствора сравнения
|
|
1
|
2
|
3
|
4
|
5
|
6
|
7
|
8
|
9
|
10
|
|
Объем образцового раствора, см3
|
0
|
2
|
4
|
8
|
12
|
16
|
20
|
24
|
28
|
32
|
|
Массовая доля азота, % на сухой продукт
|
0
|
0, 25
|
0, 5
|
1, 0
|
1, 5
|
2, 0
|
2, 5
|
3, 0
|
3, 5
|
4, 0
|
После охлаждения объемы растворов доводят дистиллированной водой до метки и снова перемешивают.
Растворы сравнения хранят в холодильнике не более 3 мес.
Растворы сравнения используют для градуировки фотоэлектроколориметра в день проведения анализа.
Окрашивание растворов сравнения проводят аналогично окрашиванию анализируемых растворов и одновременно с ними.
2.4. Проведение анализа
2.4.1. Минерализация органического удобрения - по п. 1.4.1.1 и 1.4.1.2.
2.4.2. Разведение минерализата - по п. 1 4.3.
2.4.3. Определение общего азота
В химические стаканы или конические колбы вместимостью 100 см3 или бытовые банки в кассетах помещают по 0, 5 см3 раствора, полученного по п. 2.4.2, и растворов сравнения и добавляют по 50 см3 рабочего окрашивающего раствора. Растворы перемешивают, прибавляют по 2, 5 см3 рабочего раствора гипохлорита натрия и снова перемешивают. Растворы оставляют на 1 ч при комнатной температуре для полного развития окраски.
Оптическую плотность растворов измеряют относительно раствора сравнения N 1, при длине волны 655 нм, используя кюветы толщиной поглощающего свет слоя 10 мм.
Одновременно через все стадии анализа проводят контрольный опыт в тех же условиях и с тем же количеством реактивов, но без анализируемого продукта для внесения поправки в результат анализа, для учета содержания примесей аммония в реактивах.
2.5. Обработка результатов
2.5.1. По результатам определения оптической плотности окрашенных растворов сравнения в день проведения анализа строят градуировочный график, отмечая по оси абсцисс массовую долю азота в процентах на сухой продукт, а по оси ординат соответствующие им значения оптической плотности.
Каждая точка градуировочного графика должна представлять собой среднее арифметическое результатов двух параллельных определений.
Для построения градуировочного графика необходимо не менее пяти точек, которые должны быть равномерно распределены по диапазону измерений.
Градуировочный график должен представлять собой прямую линию.
Пользуясь градуировочным графиком, по результатам определения оптической плотности анализируемых растворов находят массовую долю общего азота.
Массовую долю общего азота (Х2) в процентах в пересчете на сухой продукт вычисляют по формуле
Х2=(Х3-Х4)+Х(ам),
где Х3 - массовая доля азота в анализируемой пробе, найденная по градуировочному графику, % на сухой продукт;
Х4 - массовая доля азота в контрольном опыте, найденная по градуировочному графику, %;
Х(ам) - массовая доля аммонийного азота, % на сухой продукт, определенная по ГОСТ 26716-85.
Пересчет результатов массовой доли общего азота на продукт с исходной влажностью проводят по ГОСТ 26712-85.
2.5.2. Если результат измерения оптической плотности анализируемого раствора выходит за пределы градуировочного графика, определение повторяют, предварительно разбавив анализируемый раствор дистиллированной водой. Результат, найденный по графику, умножают на коэффициент Р показывающий, во сколько раз проведено разбавление, который вычисляют по формуле

,
где V1 - объем разбавленного раствора, см3;
V - объем анализируемого раствора, взятый для разведения, см3.
2.5.3. Оценка результатов анализа и контроль точности - по ГОСТ 26712-85.
2.5.4. Допускаемые расхождения между результатами двух параллельных определений при доверительной вероятности Р = 0, 95 не должны превышать значений, указанных в табл. 3.
Таблица 3
|
Массовая доля общего азота, % на сухой продукт
|
Допускаемые расхождения, %
|
|
До 1, 0
От 1, 0 до 3, 0
Более 3, 0
|
0, 1
0, 2
0, 3
|
2.5.5. Предел возможных значений погрешности определения массовой доли общего азота при доверительной вероятности Р = 0, 95 составляет, %: ±0, 1 - при массовой доле общего азота до 1, 0%, ±0, 2 - от 1, 0 до 3, 0%, ±0, 3 - более 3%.