электронный сборник нормативных документов по строительству
Обновления
29.04.2026 22:53
электронный сборник нормативных документов по строительству

ГОСТ 26716-85 УДОБРЕНИЯ ОРГАНИЧЕСКИЕ. МЕТОДЫ ОПРЕДЕЛЕНИЯ АММОНИЙНОГО АЗОТА

Утв. Постановлением Государственного комитета СССР по стандартам от 19 декабря 1985 г. N 4213
Государственный стандарт Союза ССР ГОСТ 26716-85
"УДОБРЕНИЯ ОРГАНИЧЕСКИЕ. МЕТОДЫ ОПРЕДЕЛЕНИЯ АММОНИЙНОГО АЗОТА"

Organic fertilizers. Methods for determination of ammonium nitrogen

Срок действия установлен - с 1 января 1987 г.
до 1 января 1992 г.
Ограничение срока действия снято в 1991 г.

Настоящий стандарт распространяется на органические удобрения и устанавливает методы определения массовой доли аммонийного азота.

1. Определение аммонийного азота по методу Кьельдаля

Метод основан на извлечении аммонийного азота из пробы органического удобрения раствором соляной кислоты молярной концентрации 0, 05 моль/дм3 с последующей отгонкой аммиака в раствор борной кислоты и титровании серной кислотой.

1.1. Метод отбора проб

1.1.1. Отбор проб - по ГОСТ 26712-85 с дополнениями.

Массовую долю аммонийного азота определяют в пробе органического удобрения с исходной влажностью.

После тщательного перемешивания из пробы отбирают не менее чем из 5 точек навеску для анализа. Масса навески должна быть 10 г.

Взвешивание проводят с погрешностью не более 0, 1 г.

1.2. Аппаратура, материалы и реактивы

Для проведения анализа применяют:

весы лабораторные 4-го класса точности с наибольшим пределом взвешивания 500 г и 2-го класса точности с наибольшим пределом взвешивания 200 г по ГОСТ 24104-80;

установку для определения азота в органических соединениях по Кьельдалю типа ПАВ или другую аналогичную (схема по ГОСТ 26715-85);

нагреватель для колб типа НК или другое аналогичное устройство или газовые горелки;

аппарат для встряхивания жидкости в лабораторной посуде типа АВУ или другой аналогичный аппарат;

кислоту соляную, раствор молярной концентрации 0, 05 моль/дм3 по ГОСТ 3118-77;

кислоту серную, раствор молярной концентрации 0, 01 моль/дм3 по ГОСТ 4204-77;

кислоту борную, раствор массовой долей 4% по ГОСТ 9656-75;

натрий гидроокись, раствор массовой долей 40% по ГОСТ 4328-77;

реактив Несслера по ГОСТ 4517-75;

индикатор кислотно-основной смешанный (рН 5, 4), приготовленный по ГОСТ 4919.1-77;

колбы мерные исполнения 1 или 2, вместимостью 500 и 1000 см3, 2-го класса точности, Н, по ГОСТ 1770-74;

пипетки исполнения 6 или 7, вместимостью 5 и 10 см3, 2-го класса точности, О, по ГОСТ 20292-74;

бюретки исполнения 6, вместимостью 2 см3, 2-го класса точности, О, по ГОСТ 20292-74;

цилиндры исполнения 1, вместимостью 25, 50 и 250 см3, 2-го класса точности, Н, по ГОСТ 1770-74;

колбы конические исполнения 1 или 2, вместимостью 250 см3, по ГОСТ 25336-82;

воронки В диаметром 75 - 100 мм по ГОСТ 25336-82;

кружку фарфоровую N 4 вместимостью 1500 см3 по ГОСТ 9147-80;

бумагу индикаторную универсальную;

фильтры бумажные по ГОСТ 12026-76.

1.3. Подготовка к анализу

1.3.1. Приготовление раствора соляной кислоты молярной концентрации 0, 05 моль/дм3

4, 1 см3 концентрированной соляной кислоты разбавляют дистиллированной водой в мерной колбе вместимостью 1 дм3, доводя объем раствора до метки.

Раствор хранят в холодильнике не более 3 мес.

1.3.2. Приготовление раствора серной кислоты молярной концентрации 0, 01 моль/дм3

28, 0 см3 концентрированной серной кислоты помещают в мерную колбу вместимостью 1 дм3, предварительно налив в нее небольшое количество дистиллированной воды. После охлаждения содержимого объем раствора в колбе доводят до метки дистиллированной водой. Из полученного раствора отбирают 20 см3, помещают в мерную колбу вместимостью 1 дм3 и доводят объем раствора дистиллированной водой до метки.

Установление точной концентрации полученного раствора проводят по ГОСТ 25794.1-83.

Раствор хранят в холодильнике не более 3 мес.

1.3.3. Приготовление раствора борной кислоты массовой долей 4% - по ГОСТ 26715-85.

1.3.4. Приготовление раствора гидрата окиси натрия с массовой долей 40% - по ГОСТ 26715-85.

1.4. Проведение анализа

1.4.1. Извлечение аммонийного азота

Навеску удобрения помещают в колбу вместимостью 500 см3 и приливают 200 см3 раствора соляной кислоты молярной концентрации 0, 05 моль/дм3. Колбу помещают на аппарат для встряхивания жидкости и встряхивают в течение 30 мин. Допускается настаивание полученного раствора в течение 12 - 15 ч. Полученный раствор взбалтывают и отфильтровывают через сухой складчатый фильтр в колбу вместимостью 500 см3. Содержимое на фильтре промывают 2 - 3 порциями (по 30 - 50 см3 каждая) раствора соляной кислоты молярной концентрации 0, 05 моль/дм3. Объем полученного в колбе фильтрата доводят до метки той же кислотой.

Полученный раствор используют для определения аммонийного азота по методу Кьельдаля и фотометрически в модификации ЦИНАО.

1.4.2. Отгонка аммиака

В реакционную колбу установки для отгонки (чертеж по ГОСТ 26715-85) приливают 30 - 50 см3 анализируемого раствора, полученного по п. 1.4.1.

В приемник помещают 30 - 40 см3 раствора борной кислоты массовой долей 4% и прибавляют 3 - 5 капель смешанного индикатора. Приемник подставляют под холодильник прибора так, чтобы барботер был погружен в раствор борной кислоты.

В реакционную колбу через воронку осторожно добавляют 25 - 30 см3 раствора гидрата окиси натрия массовой долей 40%. Воронку ополаскивают дистиллированной водой с таким расчетом, чтобы объем жидкости в реакционной колбе составил 100 - 150 см3, закрывают кран воронки и начинают нагрев реакционной колбы. Колбу нагревают с помощью газовой горелки или нагревателя для колб так, чтобы обеспечить равномерное кипение раствора.

Отгонку ведут до тек пор, пока не перегонится 2/3 объема жидкости. Полноту отгонки контролируют пробой конденсата с реактивом Несслера.

При отсутствии аммиака не должно появиться желтой окраски реактива Несслера.

Допускается проводить проверку полноты отгонки по индикаторной бумаге до рН 6 - 7.

После окончания отгонки приемник отсоединяют, барботер обмывают водой, собирая промывные воды в приемник, и содержимое приемника титруют раствором серной кислоты молярной концентрации 0, 01 моль/дм3 до перехода зеленой окраски в малиновую.

Одновременно проводят контрольный опыт через все стадии анализа, в тех же условиях и с тем же количеством реактивов, но без анализируемого продукта для внесения поправки в результат анализа, с целью учета содержания примесей аммония в реактивах.

1.5. Обработка результатов

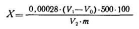
1.5.1. Массовую долю аммонийного азота (X) в процентах в пробе органического удобрения с исходной влажностью вычисляют по формуле

imasw3ge001.jpg,

где 0, 00028 - масса азота, соответствующая 1 см3 раствора серной кислоты молярной концентрации 0, 01 моль/дм3, израсходованной на титрование анализируемого раствора, г;

V1 - объем раствора серной кислоты молярной концентрации 0, 01 моль/дм3, израсходованный на титрование анализируемого раствора, см3;

V0 - объем раствора серной кислоты молярной концентрации 0, 01 моль/дм3, израсходованный на титрование в контрольном опыте, см3;

500 - общий объем фильтрата, см3;

V2 - объем фильтрата, взятый для отгонки, см3;

m - масса навески, г.

Пересчет результатов определения массовой доли аммонийного азота в органических удобрениях с исходной влажностью на сухое удобрение проводят по ГОСТ 26712-85.

1.5.2. Оценка результатов анализа и контроль точности - по ГОСТ 26712-85.

1.5.3. Допускаемые расхождения между результатами двух параллельных определений при доверительной вероятности Р = 0, 95 не должны превышать значений, указанных в табл. 1.

Таблица 1

Массовая доля аммонийного азота, % на продукт с исходной влажностью

Допускаемые расхождения, %

До 0, 1

От 0, 1 до 0, 4

Более 0, 4

0, 03

0, 07

0, 10

1.5.4. Предел возможных значений погрешности определения массовой доли аммонийного азота при доверительной вероятности Р = 0, 95 составляет, %: ±0, 03 - при массовой доле аммонийного азота до 0, 1%, ±0, 06 - от 0, 1 до 0, 4%.

2. Фотометрический метод определения аммонийного азота в модификации ЦИНАО

Метод основан на извлечении аммонийного азота раствором соляной кислоты молярной концентрации 0, 05 моль/дм3 с последующим измерением оптической плотности окрашенного индофенольного соединения в фильтрате, образующегося в щелочной среде при взаимодействии аммиака с гипохлоритом и салицилатом натрия.

2.1. Метод отбора проб

2.1.1. Отбор проб - по п. 1.1.1.

2.2. Аппаратура, материалы и реактивы

Для проведения анализа применяют:

весы лабораторные 2-го класса точности с наибольшим пределом взвешивания 200 г и 4-го класса точности с наибольшим пределом взвешивания 500 г по ГОСТ 24104-80;

фотоэлектроколориметр или спектрофотометр любого типа;

нагреватель для колб типа НК или другое аналогичное устройство или газовые горелки;

аппарат для встряхивания жидкости в лабораторной посуде типа АВУ или другой аналогичный аппарат;

кислоту соляную по ГОСТ 3118-77, раствор молярной концентрации 0, 05 и 1 моль/дм3;

натрий серноватистокислый, 5-водный (тиосульфат натрия) по ГОСТ 244-76, раствор молярной концентрации 0, 1 моль/дм3, приготовленный по ГОСТ 25794.1-83; допускается использование стандарт-титра;

натрий гидроокись по ГОСТ 4328-77;

натрий салициловокислый по ГОСТ 17628-72;

калий-натрий виннокислый (сегнетова соль) по ГОСТ 5845-79;

натрий нитропруссидный;

натрий углекислый по ГОСТ 83-79;

соль динатриевую этилендиамин-N, N, N', N'-тетрауксусной кислоты 2-водную (трилон Б) по ГОСТ 10652-73;

известь хлорную по ГОСТ 1692-58;

калий йодистый по ГОСТ 4232-74;

аммоний хлористый по ГОСТ 3773-72;

банки бытовые по ГОСТ 5717-81;

пипетки исполнения 4 или 5, вместимостью 1 см3, 2-го класса точности, О, по ГОСТ 20292-74;

пипетки исполнения 6 или 7, вместимостью 5 и 10 см3, 2-го класса точности, О, по ГОСТ 20292-74;

колбы мерные исполнения 1 или 2, вместимостью 100, 500, 1000 и 2000 см3, 2-го класса точности, Н, по ГОСТ 1770-74;

колбы плоскодонные исполнения 1 или 2, вместимостью 4 дм3 по ГОСТ 25336-82;

колбы конические исполнения 1 или 2, вместимостью 100 см3 по ГОСТ 25336-82;

стаканы исполнения 1, вместимостью 100, 500 см3 и 1 дм3 по ГОСТ 25336-82;

цилиндры исполнения 1 или 2, вместимостью 50, 250, 1000 и 2000 см3, 2-го класса точности, Н, по ГОСТ 1770-74;

бюретки исполнения 1 или 2, вместимостью 25 см3, 2-го класса точности, О, по ГОСТ 20292-74;

фильтры бумажные по ГОСТ 12026-76.

2.3. Подготовка к анализу

2.3.1. Приготовление раствора соляной кислоты молярной концентрации 0, 05 моль/дм3 - по п. 1.3.1.

2.3.2. Приготовление запасного окрашивающего раствора - по ГОСТ 26715-85.

2.3.3. Приготовление рабочего окрашивающего раствора

К 250 см3 запасного окрашивающего раствора приливают 2100 см3 дистиллированной воды, а затем добавляют 4, 7 г трилона Б.

Раствор готовят и используют в день проведения анализа.

2.3.4. Приготовление запасного раствора гипохлорита натрия - по ГОСТ 26715-85.

2.3.5. Приготовление рабочего раствора гипохлорита натрия - по ГОСТ 26715-85.

2.3.6. Приготовление образцового раствора хлористого аммония - по ГОСТ 26715-85.

2.3.7. Приготовление растворов сравнения

В мерные колбы вместимостью 100 см3 помещают указанные в табл. 2 объемы образцового раствора хлористого аммония. Затем в каждую колбу добавляют по 50 см3 дистиллированной воды, по 8 см3 концентрированной серной кислоты и содержимое колб перемешивают. После охлаждения объемы растворов доводят дистиллированной водой до метки и снова перемешивают.

Таблица 2

Характеристика раствора

Номер раствора сравнения

1

2

3

4

5

6

7

8

9

Объем образцового раствора, см3

0

1

2

4

6

8

10

12

14

Массовая доля азота, % на продукт с исходной влажностью

0

0, 025

0, 050

0, 100

0, 150

0, 200

0, 250

0, 300

0, 350

Растворы сравнения хранят в холодильнике не более 3 мес.

Растворы сравнения используют для градуировки фотоэлектроколориметра в день проведения анализа.

Окрашивание растворов сравнения проводят аналогично окрашиванию анализируемых растворов и одновременно с ними.

2.4. Проведение анализа

2.4.1. Извлечение аммонийного азота

Получение вытяжки - по п. 1.4.1.

2.4.2. Определение аммонийного азота

В химические стаканы или конические колбы вместимостью 100 см3 или бытовые банки помещают по 0, 5 см3 анализируемого раствора, полученного по п. 2.4.1, и растворов сравнения и добавляют по 50 см3 рабочего окрашивающего раствора. Все растворы перемешивают, прибавляют по 2, 5 см3 рабочего раствора гипохлорита натрия, снова перемешивают и оставляют на 1 ч при комнатной температуре для полного развития окраски.

Оптическую плотность растворов измеряют относительно раствора сравнения N 1 при длине волны 655 нм, используя кюветы толщиной поглощающего свет слоя 10 мм.

Одновременно через все стадии анализа проводят контрольный опыт в тех же условиях и с тем же количеством реактивов, но без анализируемого удобрения, для внесения поправки в результат анализа с целью учета содержания примесей аммония в реактивах.

2.5. Обработка результатов

2.5.1. По результатам определения оптической плотности окрашенных растворов сравнения в день проведения анализа строят градуировочный график, отмечая по оси абсцисс массовую долю аммонийного азота в процентах на продукт с исходной влажностью, а по оси ординат - соответствующие им значения оптической плотности. Каждая точка градуировочного графика должна представлять собой среднее арифметическое результатов двух параллельных определений.

Для построения градуировочного графика необходимо не менее пяти точек, которые должны быть равномерно распределены по диапазону измерений. Градуировочный график должен представлять собой прямую линию.

Пользуясь градуировочный графиком, по результатам определения оптической плотности анализируемых растворов находят массовую долю аммонийного азота в процентах на продукт с исходной влажностью.

Массовую долю аммонийного азота (X1) в процентах вычисляют по формуле

X1=X2-X3,

где X2 - массовая доля аммонийного азота в анализируемой пробе, найденная по градуировочному графику, % на продукт с исходной влажностью;

X3 - массовая доля аммонийного азота в контрольном опыте, найденная по градуировочному графику, %.

Пересчет результатов массовой доли аммонийного азота на сухой продукт проводят по ГОСТ 26712-85.

2.5.2. Если результат измерения оптической плотности анализируемого раствора выходит за пределы градуировочного графика, определение повторяют, предварительно разбавив анализируемый раствор дистиллированной водой. Результат, найденный по графику, умножают на коэффициент Р, показывающий во сколько раз проведено разбавление, который вычисляют по формуле

imasw3ge002.jpg,

где V1 - объем разбавленного раствора, см3;

V - объем исходного раствора, взятый для разбавления, см3.

2.5.3. Оценка результатов анализа и контроль точности - по ГОСТ 26712-85.

2.5.4. Допускаемые расхождения между результатами двух параллельных определений при доверительной вероятности P = 0, 95 не должны превышать значений, указанных в табл. 3.

Таблица 3

Массовая доля аммонийного азота, % на продукт с исходной влажностью

Допускаемые расхождения, %

До 0, 1

От 0, 1 до 0, 4

Более 0, 4

0, 03

0, 07

0, 1

2.5.5. Предел возможных значений погрешности определения массовой доли аммонийного азота при доверительной вероятности Р = 0, 95 составляет, %: ±0, 03 - при массовой доле аммонийного азота до 0, 1%, ±0, 06 - от 0, 1 до 0, 4%.

Последние добавленные документы

Яндекс.Метрика