ГОСТ 24055-2016 ТЕХНИКА СЕЛЬСКОХОЗЯЙСТВЕННАЯ. МЕТОДЫ ЭКСПЛУАТАЦИОННО-ТЕХНОЛОГИЧЕСКОЙ ОЦЕНКИ
Agricultural machinery. Methods of operational-technological evaluation
Дата введения - 1 января 2018 г.
Взамен ГОСТ 24055-88 и ГОСТ 24057-88
Предисловие
Цели, основные принципы и основной порядок проведения работ по межгосударственной стандартизации установлены в ГОСТ 1.0-2015 "Межгосударственная система стандартизации. Основные положения" и ГОСТ 1.2-2015 "Межгосударственная система стандартизации. Стандарты межгосударственные, правила и рекомендации по межгосударственной стандартизации. Правила разработки, принятия, обновления и отмены"
Сведения о стандарте
1 Разработан Новокубанским филиалом Федерального государственного бюджетного научного учреждения "Российский научно-исследовательский институт информации и технико-экономических исследований по инженерно-техническому обеспечению агропромышленного комплекса" (КубНИИТиМ)
2 Внесен Федеральным агентством по техническому регулированию и метрологии
3 Принят Межгосударственным советом по стандартизации, метрологии и сертификации (протокол от 29 февраля 2016 г. N 85-П)
За принятие проголосовали:
|
Краткое наименование страны по МК (ИСО 3166) 004-97 |
Код страны по МК (ИСО 3166) 004-97 |
Сокращенное наименование национального органа по стандартизации |
|
Беларусь Киргизия Россия |
BY KG RU |
Госстандарт Республики Беларусь Кыргызстандарт Росстандарт |
4 Приказом Федерального агентства по техническому регулированию и метрологии от 22 марта 2017 г. N 168-ст межгосударственный стандарт ГОСТ 24055-2016 введен в действие в качестве национального стандарта Российской Федерации с 1 января 2018 г.
5 Настоящий стандарт подготовлен на основе применения ГОСТ Р 52778-2007*
6 Взамен ГОСТ 24055-88 и ГОСТ 24057-88
Настоящий стандарт распространяется на сельскохозяйственную технику: тракторы, машины сельскохозяйственные (самоходные, навесные, полунавесные, прицепные, полуприцепные, монтируемые), стационарные, сельскохозяйственные агрегаты, машинно-тракторные агрегаты и технологическое оборудование (далее по тексту - машины).
Стандарт устанавливает общие положения, показатели эксплуатационно-технологической оценки, методы их получения, обработки и анализа при проведении испытаний вышеперечисленных типов сельскохозяйственной техники.
В настоящем стандарте применены нормативные ссылки на следующие стандарты:
ГОСТ 20915-2011 Испытания сельскохозяйственной техники. Методы определения условий испытаний.
Примечание - При пользовании настоящим стандартом целесообразно проверить действие ссылочных стандартов в информационной системе общего пользования - на официальном сайте Федерального агентства по техническому регулированию и метрологии в сети Интернет или по ежегодному информационному указателю "Национальные стандарты", который опубликован по состоянию на 1 января текущего года, и по выпускам ежемесячного информационного указателя "Национальные стандарты" за текущий год. Если ссылочный стандарт заменен (изменен), то при пользовании настоящим стандартом следует руководствоваться заменяющим (измененным) стандартом. Если ссылочный стандарт отменен без замены, то положение, в котором дана ссылка на него, применяется в части, не затрагивающей эту ссылку.
В настоящем стандарте применены термины с соответствующими определениями:
3.1 эксплуатационно-технологическая оценка: Оценка эксплуатационных качеств (свойств) сельскохозяйственной техники, характеризующих способность выполнять технологический процесс в пределах агротехнического срока, с оптимальной производительностью, при соблюдении заданного зональной технологией качества работы и минимальными потерями сменного времени.
3.2 контрольная смена: Период работы сельскохозяйственного агрегата в одну полную рабочую смену на одном фоне, при четкой организации труда, контроле и определении условий, режима работы и качества выполнения технологического процесса, с ведением хронографии или хронометража.
3.3 хронография: Регистрация всех операций и соответствующей им продолжительности времени в хронологической последовательности.
3.4 хронометраж: Регистрация определенных операций и соответствующей им продолжительности времени в течение периода времени работы машины.
3.5 вид работы: Технологическая операция, выполняемая в соответствии с назначением агрегата, с заданными технологическими параметрами, которые требуют регулировок или переоборудования, с определенным составом агрегата, входящая в состав машинной технологии возделывания сельскохозяйственной культуры.
3.6 фон: Определенное сочетание показателей для одного и того же вида работ, характеризующих условия работы сельскохозяйственной машины (влажность, твердость почвы, урожайность и др.).
3.7 типичный фон: Состояние фона (культуры, почвы, исходного технологического материала и др.), предусмотренного техническим заданием (ТЗ) или техническими условиями (ТУ) на машину.
3.8 машинно-тракторный агрегат: Совокупность рабочих машин, энергосредств и устройств, оптимально взаимоувязанных по конструктивным и эксплуатационным параметрам и предназначенных для выполнения одной или нескольких технологических операций.
4.1 Эксплуатационно-технологическую оценку машины проводят в зонах, для которых она предназначена, с учетом условий эксплуатации и особенностей выполнения технологического процесса, на основных видах работ.
4.2 Во время контрольной смены воспроизводят режим работы машинно-тракторного агрегата (МТА), установленный в ТЗ (ТУ) и руководстве по эксплуатации, определяют эксплуатационно-технологические показатели и показатели качества выполнения технологического процесса по номенклатуре показателей, предусмотренных ТЗ (ТУ) и стандартами по типам машин.
4.3 При подготовке машины к проведению эксплуатационно-технологической оценки должны быть соблюдены следующие требования:
- техническое состояние машины, представленной на испытания, должно соответствовать требованиям ТЗ (ТУ) и руководства по эксплуатации;
- машина должна быть сагрегатирована с соответствующим энергетическим средством, отвечающим требованиям ТЗ (ТУ);
- техническое и технологическое обслуживание МТА (машины) следует проводить с использованием персонала и технических средств, предусмотренных руководством по эксплуатации;
- до проведения контрольных смен машина должна быть обкатана в соответствии с рекомендациями изготовителя.
4.4 На каждом виде работ проводят три контрольные смены продолжительностью не менее 8 ч сменного времени каждая, при испытании машин для защиты растений, зерна и семян - 6 ч.
4.5 Регистрацию всех элементов сменного времени проводят методом сплошной хронографии и поэлементного хронометража.
4.5.1 При регистрации элементов времени смены методом поэлементного хронометража число регистрируемых измерений элементов времени смены должно соответствовать указанному в таблице 1.
|
Наименование элемента времени смены |
Число измерений (не менее) |
|
Основное время - при делении основного времени на контрольные опыты (циклы) - при суммировании всего основного времени, ч |
10 Не менее трех контрольных смен общей продолжительностью не менее 24 ч сменного времени |
|
Время на технологический переезд; технологическое обслуживание (выгрузка, загрузка) Время одного поворота |
3 10 |
|
Время одного ежесменного технического обслуживания (ЕТО) и на заправку топливом; перевода в рабочее или транспортное положение; агрегатирования; проведения наладки и регулирования; переезда к месту работы (или обратно) |
3 |
4.6 При проведении контрольных смен в полевых условиях для обеспечения строго сопоставимых условий работы сравниваемых машин и получения достоверных результатов необходимо:
- испытания машин проводить на одном и том же поле и в одно и то же время;
- контрольные участки должны быть расположены рядом и равны по площади дневной наработки.
- при наличии на одном поле нескольких участков они должны чередоваться случайным образом;
- оптимальная схема движения агрегата должна быть задана исходя из его конструкционных возможностей и руководства по эксплуатации.
4.7 Эксплуатационно-технологическую оценку новых машин проводят путем сравнения полученных значений показателей по данной машине со значениями ТЗ и показателями базового варианта.
4.8 За базовый вариант для сравнения принимают технику изготовленную в данной стране или зарубежный вариант техники, используемый в зональной технологии конкретной страны.
4.9 Качество выполнения технологической операции, сохранность и качество продукции определяют в соответствии с нормативными документами (НД), действующими в конкретной стране.
4.10 Погрешность измерений не должна превышать значений, указанных в таблице 2.
|
Наименование измеряемой величины |
Погрешность измерения при контрольной смене |
|
Время |
±1 с |
|
Линейный размер |
±1% |
|
Масса |
±0,5% |
|
Расход топлива |
±2% |
|
Расход электроэнергии |
±1% |
|
Расход жидкости |
±3% |
5.1 При проведении контрольных смен определяют следующие показатели:
- дату и место испытаний;
- вид работы;
- состав машинно-тракторного агрегата, наименование и марку испытуемой машины;
- условия испытаний (фон);
- режим работы агрегата;
- объем выполненной работы;
- продолжительность элементов времени смены;
- расход топлива (газа, электроэнергии);
- расход вспомогательных материалов;
- количество обслуживающего персонала;
- качество выполнения технологического процесса.
5.1.1 Условия испытаний и режим работы агрегата определяют в соответствии с ГОСТ 20915 и стандартами на методы испытаний отдельных типов машин.
5.1.2 Объем выполненной работы за контрольную смену определяют:
- непосредственным измерением площади убранного (обработанного) участка в конце смены с использованием систем геопозиционирования (GPS, Глонасс), или другим способом, обеспечивающим заданную точность измерения;
- взвешиванием массы основного сельскохозяйственного продукта (убранного, внесенного, переработанного, перевезенного и т.д.) в течение контрольной смены с заданной точностью измерений;
5.1.3 При проведении контрольных смен методом сплошной хронографии регистрируют следующие элементы технологического времени:
- время основной работы (под нагрузкой);
- время на повороты;
- время на технологические переезды (время на переезды к месту загрузки (выгрузки), время на проезд гона вхолостую);
- время на технологическое обслуживание (загрузку, выгрузку семян, удобрений, зерна и т.п.);
- время на проведение наладки и регулирования;
- время на устранение нарушения технологического процесса.
5.1.4 Путем постановки контрольных опытов (наблюдений) регистрируют следующие регламентированные элементы сменного времени методом поэлементного хронометража:
- время агрегатирования сельскохозяйственной машины с энергосредством;
- время на проведение ежесменного технического обслуживания агрегата (сельскохозяйственные машины и энергосредства) и заправку топливом;
- время перевода МТА в рабочее и транспортное положение;
- время переезда к месту работы и обратно, время переезда с поля на поле.
5.1.4.1 Время на отдых оператора определяют по нормативу, установленному для данного типа машин в конкретной стране.
5.1.4.2 Продолжительность каждого элемента сменного времени измеряют секундомером и записывают на бумажный носитель по форме А.1 (приложение А). Погрешность измерения согласно таблице 2.
5.1.4.3 Допускается продолжительность каждого элемента сменного времени регистрировать с помощью электронных средств измерений с последующим переносом информации на бумажный носитель в соответствии с формой А.1 (приложение А) или непосредственно в ЭВМ для проведения расчетов эксплуатационно-технологических показателей.
5.1.5 Расход топлива (газа, электроэнергии и др.) определяют за весь период контрольной смены одним из следующих методов:
- с использованием прибора, регистрирующего расход топлива (газа, электроэнергии и др.);
- методом дозаправки топливом испытуемой машины до полного бака после окончания контрольной смены (аналогично началу работы) с использованием заправочного агрегата со счетчиком топлива и регистрацией массы долитого топлива в конце смены, которое определяется как общий расход топлива израсходованного за контрольную смену.
5.1.6 Расход вспомогательных материалов определяют путем измерения количества израсходованных вспомогательных материалов.
5.1.7 Количество обслуживающего персонала определяют по результатам проведения контрольных смен. При этом определяют потребность основного персонала (механизаторов, операторов и т.д.) и вспомогательного (мастера-наладчика, сеяльщика, сельскохозяйственных рабочих и других).
5.1.8 Показатели качества выполнения технологического процесса определяют в течение каждой контрольной смены по стандартам на методы испытания, действующие в конкретной стране для конкретных типов машин.
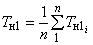
6.1 При проведении эксплуатационно-технологической оценки определяют следующие показатели:
- рабочую скорость МТА;
- рабочую ширину захвата МТА;
- объем выполненной работы;
- производительность за один час времени: основного, технологического, сменного;
- коэффициенты, характеризующие затраты времени смены: рабочих ходов, технологического обслуживания, надежности технологического процесса, использования технологического времени, использования сменного времени;
- удельный расход топлива (газа, электроэнергии и др.), вспомогательных материалов;
- количество обслуживающего персонала;
6.2 Рабочую скорость на каждом виде работ vр, км/ч, вычисляют по формуле
,
(1)
где W0 - производительность за 1 ч основного времени, га/ч;
Bp - рабочая ширина захвата агрегата, м.
6.2.1 Среднюю скорость во время прохождения рабочего гона v̅р, км/ч, и среднюю транспортную скорость агрегата v̅тр, км/ч, вычисляют на основе данных наблюдательного листа по формуле
,
(2)
где li - пройденное расстояние в i-м измерении (по данным наблюдательного листа), м;
Ti - время, за которое пройдено расстояние li, с;
m - число измерений, обеспечивающих заданную точность.
6.3 Рабочую ширину захвата агрегата Bp, м, вычисляют по формуле
,
(3)
где by - ширина обработанного участка, м;
k - общее число рабочих гонов (проходов) на обработанном участке, шт.
6.4 Производительность за 1 ч основного времени i-й контрольной смены W0i, га/ч (т/ч, шт./ч), вычисляют по формуле
,
(4)
где Fi - объем работы за i-ю контрольную смену, га (т, шт.);
Tф1i - фактическое основное время работы за i-ю контрольную смену, ч.
6.4.1 Производительность за 1 ч основного времени за период контрольных смен, W0, га/ч (т/ч, шт./ч), вычисляют по формуле
,
(5)
где n - число контрольных смен.
6.5 Производительность за 1 ч технологического времени за период контрольных смен Wтех, га/ч (т/ч, шт./ч), вычисляют по формуле
Wтех=W0Kтех,
(6)
где Kтех - коэффициент использования технологического времени за период контрольных смен.
6.6 Производительность за 1 ч сменного времени за период контрольных смен Wсм, га/ч (т/ч, шт./ч), вычисляют по формуле
Wсм=W0Kсм,
(7)
где Kсм - коэффициент использования сменного времени за период контрольных смен.
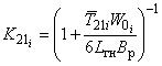
6.7 Коэффициент рабочих ходов за i-ю контрольную смену K21i вычисляют по формуле
,
(8)
где T̅21i - среднее время одного поворота за i-ю контрольную смену, мин;
Lгн - среднее значение длины гона в "модельном" хозяйстве, км.
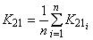
6.7.1 Коэффициент рабочих ходов за период контрольных смен K21 вычисляют по формуле
.
(9)
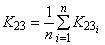
6.8 Коэффициент технологического обслуживания за i-ю контрольную смену K23i вычисляют по формуле
,
(10)
где Tн1i - основное время, приведенное к нормативной продолжительности смены за i-ю контрольную смену, ч;
Tн23i - время технологического обслуживания, приведенное к нормативной продолжительности смены за i-ю контрольную смену, ч;
Tн33i - время на проведение наладки и регулирования, приведенное к нормативной продолжительности смены за i-ю контрольную смену, ч.
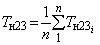
6.8.1 Коэффициент технологического обслуживания за период контрольных смен K23 вычисляют по формуле
.
(11)
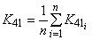
6.9 Коэффициент надежности технологического процесса за i-ю контрольную смену K41i вычисляют по формуле
,
(12)
где Tн41i - время устранения нарушения технологического процесса, приведенное к нормативной продолжительности смены за i-ю контрольную смену, ч.
6.9.1 Коэффициент надежности технологического процесса K41 за период контрольных смен, вычисляют по формуле
.
(13)
6.10 Коэффициент использования технологического времени за i-ю контрольную смену Kтехi вычисляют по формуле
,
(14)
где Tн.техi - технологическое время за i-ю контрольную смену, ч.
6.10.1 Технологическое время за i-ю контрольную смену Tн.техi, ч, вычисляют по формуле
Tн.техi=Tн1i+Tн21i+Tн22i+Tн23i+Tн33i+Tн41i,
(15)
где Tн21i - время на повороты, приведенное к нормативной продолжительности смены за i-ю контрольную смену, ч;
Tн22i - время на технологические переезды, приведенное к нормативной продолжительности смены за i-ю контрольную смену, ч.
6.10.2 Коэффициент использования технологического времени Kтех за период контрольных смен вычисляют по формуле
.
(16)
6.11 Коэффициент использования сменного времени за i-ю контрольную смену Kсмi вычисляют по формуле
,
(17)
где Tн.см - продолжительность нормативной смены в соответствии с 4.4, ч.
6.11.1 Коэффициент использования сменного времени Kсм за период контрольных смен вычисляют по формуле
.
(18)
6.12 Продолжительность нормативной смены Tн.см, ч, вычисляют и проверяют баланс времени смены по формуле
Tн.см=Tн.техi+Tconst=8(6) ч
(19)
или
Tн.см=Tн1i+Tн21i+Tн22i+Tн23i+Tн33i+Tн41i+T31+T32+T34+Tн5+T6.
(20)
6.12.1 Элементы технологического времени i-й контрольной смены, приведенные к нормативной продолжительности смены, вычисляют по формулам
- основное время
Tн1i=Tф1iKпрi,
(21)
- время на повороты
,
(22)
- время на технологические переезды
,
(23)
- время на технологическое обслуживание
Tн23i=Tф23iKпрi,
(24)
- время на проведение наладки и регулирование
Tн33i=Tф33iKпрi,
(25)
- время на устранения нарушения технологического процесса
Tн41i=Tф41iKпрi.
(26)
6.12.2 Элементы технологического времени за весь период контрольных смен, приведенные к нормативной продолжительности смены и приводимые в балансе времени смены по виду работы вычисляют по формулам:
- основное время
,
(27)
- время на повороты
,
(28)
- время на технологические переезды
,
(29)
- время на технологическое обслуживание
,
(30)
- время на проведение наладки и регулирование
,
(31)
- время на устранения нарушения технологического процесса
.
(32)
6.13 Время регламентированных внутрисменных элементов времени по машине Tconst, ч, вычисляют по формуле
Tconst= T31+T32+T'34+Tн5+T6,
(33)
где T31 - время на ежесменное техническое обслуживание агрегата (машины и энергосредства), заправку топливом, ч;
T32 - время перевода машины в рабочее и транспортное положение, ч;
T'34 - время агрегатирования сельскохозяйственной машины с энергосредством, приходящееся на смену, приведенную к нормативной смене, ч;
Tн5- время на отдых (принимается нормативным), ч;
T6 - время переезда к месту работы и обратно в начале и в конце смены, приведенное к нормативным данным (среднему по "модельному" хозяйству), ч.
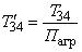
6.13.1 Время агрегатирования сельскохозяйственной машины с энергосредством, приходящееся на смену, приведенную к нормативной смене T'34, ч, вычисляют по формуле
.
(34)
где T34 - фактическое время агрегатирования сельскохозяйственной машины с энергосредством, ч;
Пагр - период от агрегатирования до очередного агрегатирования, число смен.
6.13.2 Время на переезды в начале и в конце смены определяют путем постановки контрольного опыта с ведением хронометража, при котором определяют расстояние переезда к месту работы (или обратно) lпер, км, и время его прохождения Tф.пер, ч.
Время переезда в начале и в конце смены, приведенное к нормативным данным (среднему по "модельному" хозяйству) T6, ч, вычисляют по формуле
,
(35)
где lн.х. - расстояние переезда к месту работы в "модельном" хозяйстве, км.
6.13.2.1 Допускается определять время на переезды в начале и конце смены по формуле
,
(36)
где Vтр - транспортная скорость по ТЗ, км/ч.
6.14 Коэффициент приведения фактического элемента времени к нормативному (приведенному) элементу времени i-й контрольной смены Kпрi вычисляют по формуле
,
(37)
где Tф.техi - фактическое технологическое время, с учетом влияния длины гона и размера поля "модельного" хозяйства, i-й контрольной смены, ч.
6.14.1 Фактическое технологическое время, с учетом длины гона и размера поля базового хозяйства i-й контрольной смены, Tф.техi, ч, вычисляют по формуле
,
(38)
где Tф21i - фактическое время на повороты i-й контрольной смены, ч;
Tф22i - фактическое время на технологические переезды i-й контрольной смены, ч;
Tф23i - фактическое время на технологическое обслуживание (загрузку, выгрузку) i-й контрольной смены, ч;
Tф33i - фактическое время на проведение наладки и регулирования i-й контрольной смены, ч;
Tф41i - фактическое время устранения нарушения технологического процесса i-й контрольной смены, ч;
lг.фi - фактическая длина гона i-й контрольной смены, км;
lг.н - длина гона в "модельном" хозяйстве, км;
Sп.фi - фактическая площадь поля i-й контрольной смены, га;
Sп.н - площадь поля в "модельном" хозяйстве конкретной страны, га.
6.15 Удельный расход топлива (электроэнергии, газа) за сменное время i-й контрольной смены qтi, на единицу наработки, кг/га, кг/т, кг/шт., (кВт·ч/т, кВт·ч/шт., м3/га, м3/т, м3/шт.), вычисляют по формуле
,
(39)
где Qфi - фактический расход топлива (электроэнергии, газа) за сменное (или технологическое) время i-й контрольной смены, кг (кВт·ч,м3).
6.15.1 Удельный расход топлива (электроэнергии, газа) МТА за период контрольных смен qт, кг/га, кг/т, кг/шт., (кВт·ч/т,кВт·ч/шт., м3/т, м3/шт.), вычисляют по формуле
.
(40)
6.16 Потребность обслуживающего персонала следует определять с учетом всего персонала, занятого на выполнении основного технологического процесса.
6.17 Результаты эксплуатационно-технологической оценки заносят в форму В.1 (приложение В).
6.18 Условные обозначения приведены в приложении Г.
6.19 Контрольный пример обработки результатов испытаний приведен в приложении Д.
_____________________________
* Приказом Федерального агентства по техническому регулированию и метрологии от 22 марта 2017 г. N 168-ст ГОСТ Р 52778-2007 отменен с 1 января 2018 г.
Приложение А
(рекомендуемое)
Форма А.1 - Наблюдательный лист
Состав агрегата: ______________ + _________________ + ____________
Марка ______________ + _________________ + ____________
Наблюдатель ______________________________________________________
Механизатор ______________________________________________________

Продолжение формы А.1
Дата ______________ Марка _____________ + _______ + _____ с ________
|
Номер операции |
Наименование элемента времени смены |
Номер гона |
Время окончания операции |
Продолжительность, ч, мин, с |
Шифр элемента времени |
Число обслуживающего персонала (при работе, ЕТО, наладке и регулировании, устранении технических отказов, нарушении технологического процесса и др.), чел. | ||
|
Часы |
Минуты |
Секунды | ||||||
Окончание формы А.1
Дата ______________ Марка _____________ + _______ + _____ с ________
Сводные показатели по элементам времени смены
|
Номер шифра |
Число операций |
Суммарное время, ч |
Номер шифра |
Число операций |
Суммарное время, ч |
Замечания о работе машины
____________________________________________________________________
____________________________________________________________________
____________________________________________________________________
____________________________________________________________________
|
Основное время, ч | |
|
Режим работы: | |
|
- средняя ширина захвата, м | |
|
- средняя рабочая скорость, км/ч | |
|
Производительность за 1 ч основного времени, га, т, шт. | |
|
Удельный расход топлива (электроэнергии, газа) за контрольную смену, кг/га (кВт·ч/т,м3) |
Наблюдатель _______________ __________________ _____________________
должность личная подпись инициалы, фамилия
Ведущий инженер _______________ ___________________ ____________________
должность личная подпись инициалы, фамилия
Экономист ________________ ___________________ ____________________
должность личная подпись инициалы, фамилия
Приложение Б
(рекомендуемое)
|
Наименование элемента времени смены |
Значение элемента времени | ||
|
i-ой контрольной смены (фактическое) |
i-ой контрольной смены приведенное к нормативной продолжительности смены |
n - контрольных смен по виду работы | |
|
Основное время |
Tф1i |
Tн1i=Tф1iKпрi | |
|
Время на повороты |
Tф21i | ||
|
Время на технологические переезды |
Tф22i | ||
|
Время на технологическое обслуживание |
Tф23i |
Tн23i=Tф23iKпрi | |
|
Время на наладку регулирование |
Tф33i |
Tн33i=Tф33iKпрi | |
|
Время на устранение нарушения технологического процесса |
Tф41i |
Tн41i=Tф41iKпрi | |
|
Наименование фактического регламентированного элемента времени смены |
Значение элемента времени |
|
Время на ежесменное техническое обслуживание и заправку топливом T31 | |
|
Время перевода в рабочее и транспортное положение T32 | |
|
Время агрегатирования сельскохозяйственной машины с энергосредством, приходящееся на смену, приведенную к нормативной смене T'34 | |
|
Время на отдых T5 | |
|
Время на переезды к месту работы и обратно T6 | |
|
Время регламентированных внутрисменных элементов времени Tconst |
Tconst= T31+T32+T'34+Tн5+T6 |
Приложение В
(рекомендуемое)
Форма В.1 - Показатели эксплуатационно-технологической оценки ___________
|
Наименование показателя |
Значение показателя по | |||
|
нормативным документам |
данным испытаний | |||
|
вид работы | ||||
|
1 |
2 |
3 | ||
|
Период проведения оценки (дата) | ||||
|
Место проведения | ||||
|
Условия проведения оценки(1) | ||||
|
Состав агрегата | ||||
|
Культура (предшественник) | ||||
|
Технологическая операция | ||||
|
Режим работы: | ||||
|
- скорость движения, км/ч | ||||
|
- рабочая ширина захвата, м | ||||
|
Производительность за 1 ч времени, га (т, шт.): | ||||
|
- основного | ||||
|
- технологического | ||||
|
- сменного | ||||
|
Удельный расход топлива (электроэнергии, газа) за сменное время на единицу наработки, кг/га, кг/т, кг/шт. (кВт·ч/т,кВт·ч/шт., м3/га, м3/т, м3/шт.) | ||||
|
Удельный расход вспомогательных материалов, кг/ед. наработки | ||||
|
Эксплуатационно-технологические коэффициенты: | ||||
|
- рабочих ходов | ||||
|
- технологического обслуживания | ||||
|
- надежности технологического процесса | ||||
|
- использования технологического времени | ||||
|
- использования сменного времени | ||||
|
Число обслуживающего персонала, чел. | ||||
|
Показатели качества выполнения технологического процесса(1) | ||||
|
(1) Показатели определяются по номенклатуре, предусмотренной ТЗ (ТУ) и стандартам по типам машин. | ||||
Форма В.2 - Баланс времени смены при нормативной продолжительности
|
Наименование элемента времени |
Значение элемента времени | |||||
|
вид работы | ||||||
|
1 |
2 |
3 | ||||
|
ч |
% |
ч |
% |
ч |
% | |
|
Основное время Время на повороты Время на технологические переезды Время на технологическое обслуживание Время на ЕТО МТА, заправку топливом Время перевода машины в рабочее и транспортное положение Время на проведение наладки и регулирование Время агрегатирования Время на устранение нарушения технологического процесса Время на отдых Время на переезды к месту работы и обратно (в начале и в конце смены) | ||||||
|
Итого: сменное время |
100 |
100 |
100 | |||
Приложение Г
(рекомендуемое)
|
vр |
- рабочая скорость на каждом виде работ, км/ч; |
|
W0 |
- производительность за 1 ч основного времени, га (т, шт.); |
|
Bp |
- рабочая ширина захвата агрегата, м; |
|
v̅р |
- средняя скорость во время прохождения рабочего гона, км/ч; |
|
v̅тр |
- средняя транспортная скорость агрегата, км/ч; |
|
li |
- пройденное расстояние в i-м измерении (по данным наблюдательного листа), м; |
|
Ti |
- время, за которое пройдено расстояние, li, с; |
|
n |
- число измерений, обеспечивающих заданную точность; |
|
by |
- ширина обработанного участка, м; |
|
k |
- число рабочих гонов (проходов) на обработанном участке, шт.; |
|
W0i |
- производительность за 1 ч основного времени i-й контрольной смены, га (т, шт.); |
|
Fi |
- объем работы за i-ю контрольную смену, га (т, шт.); |
|
Tф1i |
- фактическое основное время работы за i-ю контрольную смену, ч; |
|
W0 |
- производительность за 1 ч основного времени за период контрольных смен, га (т, шт.); |
|
n |
- число контрольных смен; |
|
Wтех |
производительность за 1 час технологического времени за период контрольных смен, га (т, шт.); |
|
Kтех |
- коэффициент использования технологического времени за период контрольных смен; |
|
Wсм |
- производительность за 1 час сменного времени за период контрольных смен га (т, шт.); |
|
Kсм |
- коэффициент использования сменного времени за период контрольных смен; |
|
K21i |
- коэффициент рабочих ходов за i-ю контрольную смену; |
|
T̅21i |
- среднее время одного поворота за i-ю контрольную смену, мин; |
|
Lгн |
- среднее значение длины гона в "модельном" хозяйстве, км; |
|
K21 |
- коэффициент рабочих ходов за период контрольных смен; |
|
K23i |
- коэффициент технологического обслуживания за i-ю контрольную смену; |
|
Tн1i |
- основное время, приведенное к нормативной продолжительности смены за i-ю контрольную смену, ч; |
|
Tн23i |
- время технологического обслуживания, приведенное к нормативной продолжительности смены за i-ю контрольную смену, ч; |
|
Tн33i |
- время на проведение наладки и регулирования, приведенное к нормативной продолжительности смены за i-ю контрольную смену, ч; |
|
K23 |
- коэффициент технологического обслуживания за период контрольных смен; |
|
K41i |
- коэффициент надежности технологического процесса за i-ю контрольную смену; |
|
Tн41i |
- время устранения нарушения технологического процесса, приведенное к нормативной продолжительности смены за i-ю контрольную смену, ч; |
|
K41 |
- коэффициент надежности технологического процесса за период контрольных смен; |
|
Kтехi |
- коэффициент использования технологического времени за i-ю контрольную смену; |
|
Tн.техi |
- технологическое время за i-ю контрольную смену, ч; |
|
Tн21i |
- время на повороты, приведенное к нормативной продолжительности смены за i-ю контрольную смену, ч; |
|
Tн22i |
- время на технологические переезды, приведенное к нормативной продолжительности смены за i-ю контрольную смену, ч; |
|
Kсмi |
- коэффициент использования сменного времени за i-ю контрольную смену; |
|
Tн.см |
- продолжительность нормативной смены, ч; |
|
Tconst |
- время регламентированных внутрисменных элементов времени по машине, ч; |
|
T31 |
- время на ежесменное техническое обслуживание агрегата (машины и энергосредства), заправку топливом, ч; |
|
T32 |
- время перевода машины в рабочее и транспортное положение, ч; |
|
T'34 |
- время агрегатирования сельскохозяйственной машины с энергосредством, приходящееся на смену, приведенную к нормативной смене, ч; |
|
Пагр |
- период от агрегатирования до очередного агрегатирования, ч; |
|
T34 |
- фактическое время агрегатирования сельскохозяйственной машины с энергосредством, ч; |
|
Tн5 |
- время на отдых, ч; |
|
T6 |
- время переезда к месту работы и обратно в начале и в конце смены, приведенное к нормативным данным (среднему по "модельному" хозяйству), ч; |
|
lпер |
- расстояние переезда к месту работы (или обратно) в начале (или в конце), км; |
|
Tф.пер |
- фактическое время переезда к месту работы (или обратно) в начале (или конце смены), ч; |
|
lн.х |
- расстояние переезда к месту работы в "модельном" хозяйстве, км; |
|
Vтр |
- транспортная скорость по ТЗ, км/ч; |
|
Kпрi |
- коэффициент приведения фактического элемента времени к нормативному (приведенному) элементу времени i-й контрольной смены; |
|
Tф.техi |
- фактическое технологическое время, с учетом влияния длины гона и размера поля "модельного" хозяйства i-й контрольной смены, ч; |
|
Tф21i |
- фактическое время на повороты i-й контрольной смены, ч; |
|
Tф22i |
- фактическое время на технологические переезды i-й контрольной смены, ч; |
|
Tф23i |
- фактическое время на технологическое обслуживание (загрузку, выгрузку) i-й контрольной смены, ч; |
|
Tф33i |
- фактическое время на проведение наладки и регулирования i-й контрольной смены, ч; |
|
Tф41i |
- фактическое время устранения нарушения технологического процесса i-й контрольной смены, ч; |
|
lг.фi |
- фактическая длина гона i-й контрольной смены, км; |
|
lг.н |
- длина гона в "модельном" хозяйстве, км; |
|
Sп.фi |
- фактическая площадь поля i-й контрольной смены, га; |
|
Sп.н |
- площадь поля в "модельном" хозяйстве конкретной страны, га; |
|
qтi |
- удельный расход топлива (электроэнергии, газа) за i-ю контрольную смену, кг/га, кг/т, кг/шт (кВт·ч/т,кВт·ч/шт, м3/га, м3/т, м3/шт.); |
|
Qфi |
- фактический расход топлива (электроэнергии, газа) за сменное (или технологическое) время i-й контрольной смены, кг (кВт·ч,м3); |
|
qт |
- удельный расход топлива МТА за период контрольных смен, кг/га, кг/т, кг/шт., (кВт·ч/т, кВт·ч/шт., м3/га, м3/т, м3/шт). |
Приложение Д
(справочное)
Д.1 Информация для заполнения результатов эксплуатационно-технологической оценки
Наименование агрегата ____________Трактор + комбинированный агрегат_____
Состав агрегата _______________________К-701+АКМ-4___________________
Период проведения оценки ________________22.09.2010____________________
Место проведения _____________________КубНИИТиМ____________________
Культура ______________________________пшеница______________________
Технологическая операция ________предпосевная обработка почвы___________
|
Наименование показателя |
Значение показателя |
|
Удельный расход вспомогательных материалов, кг/ед. наработки |
0 |
|
Число контрольных смен |
1 |
|
Наименование показателя |
Значение показателя |
|
Время на ежесменное техническое обслуживание агрегата (машины и энергосредства), заправку топливом, ч |
0,33 |
|
Время перевода машины в рабочее и транспортное положение, ч |
0,002 |
|
Время агрегатирования с.-х. машины с энергосредством, ч |
0,004 |
|
Период (время) агрегатирования (до очередного агрегатирования), ч |
40 |
|
Время переезда в начале смены, ч |
0,5 |
|
Пройденный путь при переезде в начале смены, км |
8 |
|
Наименование показателя |
Значение показателя |
|
Продолжительность нормативной смены, ч |
8 |
|
Нормативное время на отдых во время смены, ч |
0,5 |
|
Расстояние переезда к месту работы в "модельном" хозяйстве, км |
3,7 |
|
Длина гона в "модельном" хозяйстве, км |
1,1 |
|
Площадь поля в "модельном" хозяйстве, га |
55 |
Д.2 Исходная информация по результатам контрольных смен
Наименование агрегата _________Трактор + комбинированный агрегат________
Состав агрегата ______________________К-701+АКМ-4____________________
Период проведения оценки ______________22.09.2010______________________
Место проведения _____________________КубНИИТиМ____________________
Культура _______________________________пшеница_____________________
Технологическая операция _______предпосевная обработка почвы ___________
|
Наименование показателя |
Значение показателя | ||
|
Контрольная смена | |||
|
1 |
2 |
3 | |
|
Фактическое основное время, ч |
0,882 | ||
|
Фактическое время на повороты, ч |
0,096 | ||
|
Среднее время одного поворота, мин |
0,821 | ||
|
Фактическое время на технологические переезды, ч |
0 | ||
|
Фактическое время на технологическое обслуживание (загрузку, выгрузку), ч |
0 | ||
|
Фактическое время на наладки и регулирования, ч |
0 | ||
|
Фактическое время на устранения нарушения технологического процесса, ч |
0,017 | ||
|
Ширина обработанного участка, м |
30,4 | ||
|
Число рабочих гонов (проходов) на обработанном участке, шт. |
8 | ||
|
Фактическая длина гона, км |
0,97 | ||
|
Фактическая площадь поля, га |
50 | ||
|
Объем работы: | |||
|
- площадь участка, га |
2,95 | ||
|
- объем работы, т |
0 | ||
|
Фактический расход: | |||
|
- топлива, кг |
1,68 | ||
|
Число обслуживающего персонала, чел. |
1 | ||
Д.3 Показатели эксплуатационно-технологической оценки
Наименование агрегата _______Трактор + комбинированный агрегат__________
Состав агрегата _______________________К-701+АКМ-4___________________
|
Наименование показателя |
Значение показателя |
|
Период проведения оценки |
22.09.2010 |
|
Место проведения оценки |
КубНИИТиМ |
|
Культура |
пшеница |
|
Технологическая операция Режим работы: - скорость движения, км/ч - рабочая ширина захвата, м |
предпосевная обработка почвы 8,803 3,8 |
|
Производительность за 1 ч времени (га): - основного - технологического - сменного |
3,345 3,000 2,512 |
|
Удельный расход за сменное время: - топлива, кг/га |
0,569 |
|
Удельный расход вспомогательных материалов, кг/ед. наработки |
0 |
|
Эксплуатационно-технологические коэффициенты: - рабочих ходов - технологического обслуживания - надежности технологического процесса - использования технологического времени - использования сменного времени |
0,901 1 0,981 0,897 0,751 |
|
Число обслуживающего персонала |
1 |
Д.4 Баланс времени смены при нормативной продолжительности
Наименование агрегата ___Трактор + комбинированный агрегат______________
Состав агрегата ___________________К-701+АКМ-4_______________________
Культура _____________________________пшеница_______________________
Технологическая операция _________предпосевная обработка почвы_________
|
Наименование элемента времени |
Значение элемента | |
|
ч |
% | |
|
Основное время |
6,01 |
75,125 |
|
Время на повороты |
0,577 |
7,212 |
|
Время на технологические переезды |
0 |
0 |
|
Время на технологическое обслуживание (загрузку, выгрузку) |
0 |
0 |
|
Время на ЕТО МТА, заправку топливом |
0,33 |
4,125 |
|
Время перевода машины в рабочее и транспортное положение |
0,002 |
0,025 |
|
Время на проведение наладки и регулирование |
0 |
0 |
|
Время агрегатирования |
0,0001 |
0,001 |
|
Время на устранение нарушения технологического процесса |
0,116 |
1,45 |
|
Время на отдых |
0,5 |
6,25 |
|
Время на переезды к месту работы и обратно (в начале и в конце смены) |
0,463 |
5,787 |
|
Итого: сменное время |
8 |
100 |


