ГОСТ 20907-2016 СМОЛЫ ФЕНОЛОФОРМАЛЬДЕГИДНЫЕ ЖИДКИЕ. ТЕХНИЧЕСКИЕ УСЛОВИЯ
Liquid phenolformaldehyde resins. Specifications
Дата введения - 1 ноября 2017 г.
Взамен ГОСТ 20907-75
Предисловие
Цели, основные принципы и основной порядок проведения работ по межгосударственной стандартизации установлены в ГОСТ 1.0-2015 "Межгосударственная система стандартизации. Основные положения" и ГОСТ 1.2-2015 "Межгосударственная система стандартизации. Стандарты межгосударственные, правила и рекомендации по межгосударственной стандартизации. Правила разработки, принятия, обновления и отмены"
Сведения о стандарте
1 Подготовлен Открытым акционерным обществом "Институт пластических масс имени Г.С. Петрова"
2 Внесен Федеральным агентством по техническому регулированию и метрологии
3 Принят Межгосударственным советом по стандартизации, метрологии и сертификации (протокол от 22 ноября 2016 г. N 93-П)
За принятие проголосовали:
|
Краткое наименование страны по МК (ИСО 3166) 004-97 |
Код страны по МК (ИСО 3166) 004-97 |
Сокращенное наименование национального органа по стандартизации |
|
Армения |
AM |
Минэкономики Республики Армения |
|
Беларусь |
BY |
Госстандарт Республики Беларусь |
|
Казахстан |
KZ |
Госстандарт Республики Казахстан |
|
Киргизия |
KG |
Кыргызстандарт |
|
Россия |
RU |
Росстандарт |
4 Приказом Федерального агентства по техническому регулированию и метрологии от 2 марта 2017 г. N 94-ст межгосударственный стандарт ГОСТ 20907-2016 введен в действие в качестве национального стандарта Российской Федерации с 1 ноября 2017 г.
5 Взамен ГОСТ 20907-75
Настоящий стандарт распространяется на жидкие фенолоформальдегидные смолы резольного типа, представляющие собой продукт поликонденсации фенола и формальдегида в присутствии катализатора с добавкой модифицирующих и стабилизирующих веществ или без них.
В настоящем стандарте использованы нормативные ссылки на следующие межгосударственные стандарты:
ГОСТ 12.1.004-91 Система стандартов безопасности труда. Пожарная безопасность. Общие требования
ГОСТ 12.1.018-93 Система стандартов безопасности труда. Пожаровзрывобезопасность статического электричества. Общие требования
ГОСТ 12.4.011-89 Система стандартов безопасности труда. Средства защиты работающих. Общие требования и классификация
ГОСТ 12.4.021-75 Система стандартов безопасности труда. Системы вентиляционные. Общие требования
ГОСТ 12.4.124-83 Система стандартов безопасности труда. Средства защиты от статического электричества. Общие технические требования
ГОСТ 17.2.3.01-86 Охрана природы. Атмосфера. Правила контроля качества воздуха населенных пунктов
ГОСТ 17.2.3.02-2014 Правила установления допустимых выбросов загрязняющих веществ промышленными предприятиями
ГОСТ 99-96 Шпон лущеный. Технические условия
ГОСТ 844-79 Магнезия жженая техническая. Технические условия
ГОСТ 1770-74 (ISO 1042-83, ISO 4788-80) Посуда мерная лабораторная стеклянная. Цилиндры, мензурки, колбы, пробирки. Общие технические условия
ГОСТ 3118-77 Реактивы. Кислота соляная. Технические условия
ГОСТ 4328-77 Реактивы. Натрия гидроокись. Технические условия
ГОСТ 5955-75 Реактивы. Бензол. Технические условия
ГОСТ 5799-78 Фляги для лакокрасочных материалов. Технические условия
ГОСТ 6247-79 Бочки стальные сварные с обручами катания на корпусе. Технические условия
ГОСТ 6613-86 Сетки проволочные тканые с квадратными ячейками. Технические условия
ГОСТ 6709-72 Вода дистиллированная. Технические условия
ГОСТ 8253-79 Мел химически осажденный. Технические условия
ГОСТ 8420-74 Материалы лакокрасочные. Методы определения условной вязкости
ГОСТ 9147-80 Посуда и оборудование лабораторные фарфоровые. Технические условия
ГОСТ 9620-94 Древесина слоистая клееная. Отбор образцов и общие требования при испытании
ГОСТ 9624-2009 Древесина слоистая клееная. Метод определения предела прочности при
скалывании
ГОСТ 9980.2-2014 Материалы лакокрасочные и сырье для них. Отбор проб. Контроль и подготовка образцов для испытаний
ГОСТ 10028-81 Вискозиметры капиллярные стеклянные. Технические условия
ГОСТ 11235-75 Смолы фенолоформальдегидные. Методы определения свободного фенола
ГОСТ 13950-91 Бочки стальные сварные и закатные с гофрами на корпусе. Технические условия
ГОСТ 14192-96 Маркировка грузов
ГОСТ 14870-77 Продукты химические. Методы определения воды
ГОСТ 16361-87 Мука древесная. Технические условия
ГОСТ 16704-71 Смолы фенолоформальдегидные. Методы определения свободного формальдегида
ГОСТ 18329-2014 Смолы и пластификаторы жидкие. Методы определения плотности
ГОСТ 18481-81 Ареометры и цилиндры стеклянные. Общие технические условия
ГОСТ 22261-94 Средства измерений электрических и магнитных величин. Общие технические условия
ГОСТ 25336-82 Посуда и оборудование лабораторные стеклянные. Типы, основные параметры и размеры
ГОСТ 25276-82 Полимеры. Метод определения вязкости ротационным вискозиметром при определении скорости сдвига
ГОСТ 25794.1-83 Реактивы. Методы приготовления титрованных растворов для кислотно-основного титрования
ГОСТ 29169-91 Посуда лабораторная стеклянная. Пипетки с одной отметкой
ГОСТ 29251-91 Посуда лабораторная стеклянная. Бюретки. Часть 1. Общие требования
Примечание - При пользовании настоящим стандартом целесообразно проверить действие ссылочных стандартов в информационной системе общего пользования - на официальном сайте Федерального агентства по техническому регулированию и метрологии в сети Интернет или по ежегодному информационному указателю "Национальные стандарты", который опубликован по состоянию на 1 января текущего года, и по выпускам ежемесячного информационного указателя "Национальные стандарты" за текущий год. Если ссылочный стандарт заменен (изменен), то при пользовании настоящим стандартом следует руководствоваться заменяющим (измененным) стандартом. Если ссылочный стандарт отменен без замены, то положение, в котором дана ссылка на него, применяется в части, не затрагивающей эту ссылку.
3.1 Жидкие фенолоформальдегидные смолы выпускают марок, указанных в таблице 1.
Таблица 1
|
Марка жидкой фенолоформальдегидной смолы |
Рекомендуемое назначение |
|
СФЖ-303; СФЖ-3031 |
В производстве асботехнических и асбофрикционных изделий |
|
СФЖ-3032 |
В производстве углепласта для шахтных креплений |
|
СФЖ-305; СФЖ-3012 |
В производстве теплозвукоизоляционных изделий |
|
СФЖ-309 |
В производстве клеев, лаков и компаундов для герметизации электрических изделий |
|
СФЖ-3011; СФЖ-3013; СФЖ-3014 |
В производстве фанеры, фанерной продукции и других целей |
|
СФЖ-3014 |
В производстве древесно-стружечных и древесно-волокнистых плит |
|
СФЖ-3016 |
В производстве клеев для склеивания деталей из древесных материалов и других целей |
|
СФЖ-3024 |
В производстве древесно-стружечных плит и других целей |
|
СФЖ-3038; СФЖ-3039 |
В производстве абразивных инструментов на гибкой основе |
|
СФЖ-323 |
В производстве стеклопластиков |
3.2 Обозначение марок жидких фенолоформальдегидных смол
Обозначение марок жидких фенолоформальдегидных смол состоит из букв "СФЖ" - смола фенолоформальдегидная жидкая и трех- или четырехзначного числа, написанного через тире "-", первые две цифры которого обозначают тип смолы, а последующие - номер рецептуры внутри типа.
Пример условного обозначения жидкой фенолоформальдегидной смолы резольного типа марки 3031:
СФЖ-3031 ГОСТ 20907
4.1 Жидкие фенолоформальдегидные смолы изготовляют в соответствии с требованиями настоящего стандарта по технологическому регламенту, утвержденному в установленном порядке.
4.2 Характеристики
4.2.1 Жидкие фенолоформальдегидные смолы должны соответствовать требованиям и нормам, указанным в таблице 2.
Таблица 2
|
Наименование показателя |
Норма для марки |
Метод испытания | |||||||||||||
|
СФЖ-3013 |
СФЖ-3014 |
СФЖ-3024 |
СФЖ-3011 |
СФЖ-3031 |
СФЖ-3032 |
СФЖ-303 |
СФЖ-309 |
СФЖ-3012 |
СФЖ-3038 |
СФЖ-3039 |
СФЖ-305 |
СФЖ-323 |
СФЖ-3016 | ||
|
1 Внешний вид |
Однородная жидкость от красновато-коричневого до темно-вишневого цвета, в пределах партии одного цвета, без механических примесей |
По 7.3 настоящего стандарта | |||||||||||||
|
2 Водородный показатель (рН среды) |
Не определяют |
7, 8 - 8, 2 |
Не определяют |
По 7.4 настоящего стандарта | |||||||||||
|
3 Вязкость 3.1 Динамическая вязкость, при температуре (20, 0±0, 1)°С, мПа·с | |||||||||||||||
|
Не определяют |
90 - 200 |
Не определяют |
250 - 350 |
250 - 1200 |
110 - 160 |
500 - 900 |
Не более 40 |
Не определяют |
80 - 150 |
150 - 450 |
По 7.5.1 настоящего стандарта | ||||
|
3.2 Условная вязкость, с |
40- 130 |
17- 130 |
20 - 40 |
120- 400 |
Не определяют |
150 - 250 |
800 - 1200 |
Не определяют |
По ГОСТ 8420 и 7.5.2 настоящего стандарта | ||||||
|
4 Массовая доля нелетучих веществ (сухой остаток), % |
39 - 43 |
46 - 52 |
38 - 42 |
43 - 47 |
Не определяют |
55 - 65 |
Не определяют |
Не менее |
По 7.6 настоящего стандарта | ||||||
|
40 |
70 |
75 |
60 |
55 |
55 | ||||||||||
|
5 Массовая доля щелочи, % |
4, 5 - 5, 5 |
6, 0 - 7, 5 |
5, 5 - 6, 5 |
3, 0 - 3, 5 |
Не определяют |
Не более 1, 0 |
По 7.7 настоящего стандарта | ||||||||
|
6 Массовая доля свободного фенола, %, не более |
0, 18 |
0, 10 |
0, 05 |
2, 50 |
8, 00 |
10, 00 |
20, 00 |
6, 00 |
Не определяют |
7, 00 |
5, 00 |
По ГОСТ 11235 и 7.8 настоящего стандарта | |||
|
7 Массовая доля ацетона, % |
Не определяют |
2-12 |
7-12 |
По ГОСТ 11235 и 7.8 настоящего стандарта | |||||||||||
|
8 Массовая доля свободного формальдегида, %, не более |
0, 18 |
0, 10 |
0, 05 |
1, 00 |
Не определяют |
3, 00 |
5, 00 |
3, 50 |
По ГОСТ 16704 и 7.9 настоящего стандарта | ||||||
|
9 Число осаждения, см3, не менее |
Не определяют |
35 |
Не определяют |
100 |
Не определяют |
200 |
Не определяют |
По 7.10 настоящего стандарта | |||||||
|
10 Время желатинизации, с |
Не определяют |
95 - 130 |
Не определяют |
170 - 250 |
Не определяют |
По 7.11 настоящего стандарта | |||||||||
|
11 Массовая доля нелетучего остатка при поликонденсации, %, не менее |
Не определяют |
65 |
Не определяют |
По 7.12 настоящего стандарта | |||||||||||
|
12 Предел прочности при скалывании по клеевому слою фанеры после кипячения в воде в течение 1 ч, МПа, не менее |
1, 47 |
1, 86 |
Не определяют |
По ГОСТ 9624 и 7.13 настоящего стандарта | |||||||||||
|
13 Массовая доля воды, %, не более |
Не определяют |
20 |
Не определяют |
По ГОСТ 14870 и 7.14 настоящего стандарта | |||||||||||
|
Примечания 1 Вязкость смол в момент сдачи техническому контролю предприятия-изготовителя должна быть: для СФЖ-3011 не более 150 с; СФЖ-3013 не более 70 с; СФЖ-3032 не более 550 мПа·с; для СФЖ-3014 от 35 до 70 с для партий, предназначенных для использования в производстве древесно-стружечных и древесно-волокнистых плит и от 17 до 140 с для партий, предназначенных для использования в производстве фанеры. 2 Для смол марок СФЖ-3013 и СФЖ-3014, предназначенных для использования в производстве фанеры, допускается увеличение вязкости при хранении до 200 с. 3 Смола марки СФЖ-309 не должна выделять надсмольную воду. 4 Для смолы марки СФЖ-303 при температуре ниже 10°С допускается расслоение. 5 Показатель 12 таблицы 2 определяют только для смол марок СФЖ-3014 и СФЖ-3024, предназначенных для использования в производстве фанеры. | |||||||||||||||
4.3 Маркировка
4.3.1 При маркировке следует соблюдать нормы законодательства, действующего в каждом из государств - участников соглашения и устанавливающего порядок маркирования продукции на государственном языке.
4.3.2 Транспортная маркировка - по ГОСТ 14192 с нанесением манипуляционных знаков: "Беречь от нагрева" и "Беречь от влаги".
Смолы не относят к опасным грузам и не классифицируют по ГОСТ 19433.
4.3.3 Маркировка, характеризующая упакованную продукцию, должна соответствовать требованиям страны-изготовителя и содержать:
- наименование предприятия-изготовителя, его товарный знак и юридический адрес;
- наименование продукта;
- номер партии;
- массу нетто партии;
- дату изготовления;
- обозначение настоящего стандарта.
4.4 Упаковка
4.4.1 Жидкие фенолоформальдегидные смолы разливают в чистые сухие герметично закрываемые стальные бочки по ГОСТ 6247 или ГОСТ 13950, фляги по ГОСТ 5799, авто- или железнодорожные цистерны, а также другие виды тары (банки, бидоны), кроме тары, изготовленной из алюминия, и обеспечивающие сохранность смол.
При отгрузке жидких фенолоформальдегидных смол самовывозом допускается использовать другие виды тары, при этом ответственность за сохранность и качество продукции, а также безопасность транспортирования несет потребитель.
5.1 Жидкие фенолоформальдегидные смолы токсичны и оказывают раздражающее действие на кожу и слизистые оболочки глаз и верхних дыхательных путей, при производстве и применении жидких фенолоформальдегидных смол следует соблюдать требования санитарных правил [1] и [2].
5.2 В соответствии с гигиеническими нормативами [1] жидкие фенолоформальдегидные смолы относятся к 2 классу опасности (вещества высокоопасные).
5.3 Токсичность жидких фенолоформальдегидных смол определяется возможностью выделения паров фенола и формальдегида, а также ацетона (смолы марок СФЖ-305; СФЖ-303; СФЖ-3016).
Контроль воздуха рабочей зоны производственных помещений следует осуществлять по фенолу и формальдегиду (летучим продуктам фенолоформальдегидной смолы).
5.3.1 Фенол - яд, воздействующий на центральную нервную систему и вызывает острые и хронические отравления. Фенол способен проникать внутрь организма через незащищенные участки кожи. Вдыхание паров фенола вызывает раздражение верхних дыхательных путей, а при длительном воздействии - общее отравление, по гигиеническим нормативам [3] относится к 2 классу опасности (вещества высокоопасные).
Предельно допустимая концентрация паров фенола в воздухе рабочей зоны производственных помещений - 0, 1 мг/м3 по гигиеническим нормативам [3], в атмосферном воздухе населенных мест - 0, 01/0, 006 мг/м3 по гигиеническим нормативам [4].
5.3.2 Формальдегид - протоплазматический яд, вызывает острые и хронические отравления, оказывает сильное раздражающее действие на слизистые оболочки глаз и дыхательных путей. Формальдегид относится к веществам остронаправленного действия, является аллергеном, канцерогеном [5], действует на центральную нервную систему, по гигиеническим нормативам [3] относится к 2 классу опасности (вещества высокоопасные).
Предельно допустимая концентрация паров формальдегида в воздухе рабочей зоны производственных помещений - 0, 05 мг/м3 по гигиеническим нормативам [3], в атмосферном воздухе населенных мест - 0, 05/0, 01 мг/м3 по гигиеническим нормативам [4].
5.3.3 Ацетон - легковоспламеняющаяся жидкость, образует с воздухом взрывоопасные смеси.
Пары ацетона в концентрациях, превышающих ПДК, обладают наркотическим действием. При продолжительном вдыхании паров ацетон накапливается в организме, может всасываться через неповрежденную кожу, по гигиеническим нормативам [3] относится к 4 классу опасности.
Предельно допустимая концентрация паров ацетона в воздухе рабочей зоны производственных помещений - 800/200 мг/м3 по гигиеническим нормативам [3], в атмосферном воздухе населенных мест 0, 35 мг/м3 по гигиеническим нормативам [4].
5.4 Параметры микроклимата при производстве жидких фенолоформальдегидных смол и работе с ними - по санитарным правилам и нормам [6].
5.5 Контроль за санитарными параметрами производственной и окружающей среды осуществляют в соответствии с санитарными правилами [7].
5.6 Производственные помещения должны быть оборудованы механической приточно-вытяжной вентиляцией, обеспечивающей концентрацию вредных веществ в воздухе рабочей зоны производственных помещений, не превышающую предельно допустимую согласно гигиеническим нормативам [3]. Система вентиляции производственных, складских и вспомогательных помещений должна отвечать требованиям ГОСТ 12.4.021.
5.7 Производственный персонал должен быть обеспечен спецодеждой и индивидуальными средствами защиты в соответствии с ГОСТ 12.4.011 и типовыми отраслевыми нормативами.
5.8 Для защиты органов дыхания и зрения персонал должен использовать индивидуальные средства защиты - фильтрующий противогаз по нормативному документу или технической документации и очки по ГОСТ 12.4.253.
5.9 Персонал, занятый в производстве жидких фенолоформальдегидных смол и при работе с ними, должен проходить предварительные при поступлении на работу и периодические медицинские осмотры в соответствии с установленным порядком.
5.10 Смолы марок СФЖ-305, СФЖ-323 и СФЖ-3016 горючи и взрывоопасны, так как содержат ацетон. Температура вспышки ацетона минус 18°С, температура самовоспламенения 465°С, область воспламенения от 2, 2% до 13, 0% (по объему).
Общие требования по обеспечению пожаробезопасности при производстве жидких фенолоформальдегидных смол и при работе с ними - по ГОСТ 12.1.004 и по нормам пожарной безопасности [8].
При возникновении пожара используют средства пожаротушения - воздушно-механическую пену, химическую пену, тонкораспыленную воду, песок, порошковые и газовые огнетушители.
Электрооборудование и освещение должны быть во взрывобезопасном исполнении, оборудование и трубопроводы - заземлены.
В производственных помещениях должна быть предусмотрена герметизация оборудования, аппаратов, процессов слива и налива. При сливно-наливных операциях защита от статического электричества - по ГОСТ 12.1.018, ГОСТ 12.1.045 и ГОСТ 12.4.124.
5.11 Охрана окружающей среды - по ГОСТ 17.2.3.01; выбросы вредных веществ в атмосферу - по ГОСТ 17.2.3.02 и санитарным правилам и нормам [9], сточные воды при производстве фенолоформальдегидных смол не образуются.
5.12 Утилизация отходов - по санитарным правилам и нормам [10].
6.1 Жидкие фенолоформальдегидные смолы принимают партиями.
Партией считают количество смолы одной марки, сопровождаемое одним документом о качестве. При поставке смол в цистернах партией считают каждую цистерну.
6.2 В документе о качестве указывают:
- наименование предприятия-изготовителя или его товарный знак;
- обозначение продукта;
- номер партии;
- массу нетто;
- результаты проведенных испытаний или подтверждение о соответствии качества продукта требованиям настоящего стандарта;
- дату изготовления;
- обозначение настоящего стандарта.
6.3 Объем выборки для контроля качества партии - 10% упаковочных единиц от партии, но не менее трех упаковочных единиц. При числе упаковочных единиц в партии менее трех пробы отбирают от каждой единицы упаковки.
При поставке смол в цистернах пробы отбирают от каждой цистерны.
6.4 Для проверки соответствия смол требованиям настоящего стандарта проводят приемо-сдаточные и типовые испытания.
6.4.1 Приемо-сдаточным испытаниям подвергают каждую партию смолы на соответствие требованиям показателей 1, 3, 4, 9, 11, 13 таблицы 2.
Кроме того, смолы марок СФЖ-3031 и СФЖ-3032 испытывают по показателю 10 таблицы 2, а смолу марки СФЖ-3011 - по показателю 12 таблицы 2.
Каждую десятую партию смол марок СФЖ-303, СФЖ-3011, СФЖ-3031 и каждую пятую партию смолы марки СФЖ-3032 испытывают по показателям 2, 5 - 8, 10 и 12 таблицы 2.
При поставке смол в цистернах приемо-сдаточным испытаниям подвергают содержимое каждой цистерны на соответствие показателям 1 - 5, 7 и 9 - 13 таблицы 2, испытания на соответствие показателям 6 и 8 таблицы 2 проводят на каждой десятой партии.
Для смолы марок СФЖ-3014, СФЖ-3024 показатель 12 определяют не реже одного раза в квартал.
6.4.2 Типовые испытания проводят на соответствие всем показателям таблицы 2 при изменении технологического процесса получения смол, а также при замене исходных компонентов.
6.5 При получении неудовлетворительных результатов испытаний хотя бы по одному из показателей по нему проводят повторные испытания пробы, отобранной от удвоенной выборки той же партии или на удвоенной пробе.
Результаты повторных испытаний распространяются на всю партию.
7.1 Общие указания
Допускается применение других средств измерений с метрологическими характеристиками и оборудования с техническими характеристиками не хуже, а также реактивов по качеству не ниже, указанных в настоящем стандарте.
7.2 Отбор проб - по ГОСТ 9980.2.
7.3 Определение внешнего вида
Для определения внешнего вида смолу наливают в цилиндр вместимостью 100 см3 по ГОСТ 1770 и просматривают ее в проходящем свете.
7.4 Определение водородного показателя (рН среды)
Водородный показатель определяют при температуре (20, 0 ± 0, 5)°С, используя рН-метр-милливольтметр типа рН-340 или другого аналогичного типа со стеклянным и проточным хлорсеребряным электродами в соответствии с инструкцией, прилагаемой к прибору.
7.5 Определение вязкости
7.5.1 Определение динамической вязкости смол марок СФЖ-303, СФЖ-305, СФЖ-309, СФЖ-323, СФЖ-3012, СФЖ-3016, СФЖ-3024, СФЖ-3031, СФЖ-3032
7.5.1.1 Средства измерений, аппаратура
Термометр с ценой деления 0, 1°С.
Секундомер механический.
Вискозиметры капиллярные типов ВПЖ-1, ВПЖ-2 или ВПЖ-4 по ГОСТ 10028.
Термостат водяной или термостатирующее устройство, обеспечивающий температуру испытания (20, 0 ± 0, 1)°С.
Сетка 016 Н, 018 Н или 020 Н по ГОСТ 6613 или аналогичного типа.
7.5.1.2 Подготовка к испытанию
Вискозиметр подбирают таким образом, чтобы время истечения было не менее 80 с и не более 300 с.
Перед испытанием вискозиметр следует тщательно промыть и высушить.
Устанавливают температуру в термостате (20, 0 ± 0, 1)°С, причем отметка 20°С на шкале термометра должна быть погружена в воду или выступать над ее поверхностью не более чем на 10 мм.
7.5.1.3 Проведение испытания
Заполняют вискозиметр фильтрованной через сетку смолой.
Заполненный вискозиметр устанавливают в термостате вертикально так, чтобы верхнее расширение вискозиметра было ниже уровня воды. Выдерживают заполненный вискозиметр в термостате при заданной температуре не менее 15 мин при закрытой широкой трубке.
Определяют время истечения смолы в соответствии с инструкцией к вискозиметру.
Проводят не менее трех параллельных определений, абсолютное допускаемое расхождение между наиболее отличающимися значениями времени истечения не должны превышать 1 с.
7.5.1.4 Обработка результатов
Динамическую вязкость η, мПа·с, вычисляют по формуле
η=с·τ·ρ20,
(1)
где с - постоянная вискозиметра, мм2/с2;
τ- среднеарифметическое значение времени истечения испытуемой смолы, с;
ρ20 - плотность смолы при 20°С, определяемая по ГОСТ 18329, раздел 4, г/см3.
За результат измерения динамической вязкости принимают среднеарифметическое значение результатов двух параллельных определений, относительное расхождение между которыми не должно превышать предела повторяемости, равного 3% при доверительной вероятности 0, 95.
Результат вычисляют с точностью до первого десятичного знака и округляют до целого числа.
Допускаемая относительная суммарная погрешность результата испытания ±1% при доверительной вероятности 0, 95.
7.5.1.5 Динамическую вязкость смолы СФЖ-3024 допускается определять по ГОСТ 25276 на ротационном вискозиметре, оборудованном измерительной системой "пластина-конус".
Для проведения измерения выбирают минимальную скорость сдвига кратную 5 или 10 с-1 так, чтобы показания на шкале прибора находились в пределах (50 ± 30)% диапазона шкалы, температура термостатирования (20, 0 ± 0, 1)°С, время термостатирования - до установления температуры прибора 20, 0°С, но не менее 30 с, показания отсчитывают после установления постоянного значения на шкале прибора, но не более чем через 180 с, объем пробы от 0, 2 до 0, 5 см3.
Условия проведения анализа (модель прибора, номер шпинделя и скорость оборотов шпинделя при проведении измерения) указывают в документе о качестве.
В случае разногласий динамическую вязкость определяют по 7.5.1.1 - 7.5.1.4.
7.5.2 Условную вязкость смол марок СФЖ-3011, СФЖ-3013, СФЖ-3014, СФЖ-3038, СФЖ-3039, СФЖ-3024 определяют по ГОСТ 8420, используя вискозиметр ВЗ-246 с диаметром сопла 4 мм.
Перед определением смолы фильтруют, используя сетки 016 Н, 018 Н или 020 Н по ГОСТ 6613 или аналогичного типа.
7.6 Определение массовой доли нелетучих веществ (сухого остатка)
7.6.1 Средства измерения, оборудование, реактивы
Весы лабораторные, обеспечивающие взвешивание в граммах с точностью до четвертого десятичного знака.
Термометр с ценой деления 1°С.
Секундомер.
Шкаф сушильный любого типа, обеспечивающий необходимую температуру сушки.
Эксикатор по ГОСТ 25336 любого исполнения, заполненный хлористым кальцием.
Стаканчик СВ-34/12 по ГОСТ 25336.
Стеклянная палочка.
Кальций хлористый технический, предварительно прокаленный при температуре от 200°С до 250°С в течение 6 ч.
7.6.2 Проведение испытания
Открытый стаканчик для взвешивания с крышкой помещают в сушильный шкаф, предварительно нагретый до температуры (100 ± 2)°С, после выдержки в течение 30 мин стаканчик и крышку извлекают из сушильного шкафа, помещают в эксикатор, охлаждают до температуры окружающей среды, извлекают из эксикатора и взвешивают.
В стаканчик помещают (1, 000 ± 0, 100) г анализируемой смолы, затем тонким слоем распределяют содержимое стаканчика по его дну при помощи стеклянной палочки, закрывают стаканчик крышкой и взвешивают.
Стаканчик с испытуемой пробой помещают в сушильный шкаф, предварительно нагретый до температуры сушки анализируемой смолы, затем крышку стаканчика снимают и располагают рядом со стаканчиком.
Температура сушки и время выдержки указаны в таблице 3.
Таблица 3
|
Марка жидкой фенолоформальдегидной смолы |
Температура сушки, °С |
Время сушки, мин |
|
СФЖ-303 |
100±3 |
140 |
|
СФЖ-305 |
105±3 |
140 |
|
СФЖ-3012 |
100±3 |
140 |
|
СФЖ-3011 |
105±3 |
140 |
|
СФЖ-3013 |
120±3 |
120 |
|
СФЖ-3014 |
100±3 |
140 |
|
СФЖ-3016 |
105±3 |
140 |
|
СФЖ-3024 |
120±3 |
120 |
|
СФЖ-3038 |
100±3 |
140 |
|
СФЖ-3039 |
100±3 |
140 |
|
СФЖ-323 |
100±3 |
140 |
По окончании выдержки стаканчике пробой закрывают крышкой, извлекают из сушильного шкафа и охлаждают в эксикаторе с прокаленным хлористым кальцием до температуры окружающей среды, затем стаканчик, закрытый крышкой, взвешивают.
Результаты всех взвешиваний в граммах записывают с точностью до четвертого десятичного знака.
7.6.3 Обработка результатов
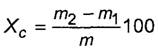
Массовую долю нелетучих веществ (сухого остатка), Хс, %, вычисляют по формуле
,
(2)
где m2 - масса стаканчика с пробой смолы после проведения сушки, г;
m1 - масса пустого стаканчика, г;
m - масса пробы смолы, г.
За результат испытания принимают среднеарифметическое значение результатов двух параллельных определений, абсолютное расхождение между которыми не превышает предела повторяемости, равного 1% при доверительной вероятности 0, 95.
Результат вычисляют с точностью до первого десятичного знака и округляют до целого числа.
7.7 Определение массовой доли щелочи
7.7.1 Средства измерений, посуда, реактивы
рН-метр-милливольтметр типа рН-340 или другого аналогичного типа со стеклянным и проточным хлорсеребряным электродами.
Весы лабораторные, обеспечивающие взвешивание в граммах с точностью до четвертого десятичного знака.
Мешалка магнитная типа ММ-3.
Стакан типа В исполнения 1 вместимостью 150 см3 по ГОСТ 25336 или стакан вместимостью 150 см3, изготовленный из полиэтилена высокого давления или полипропилена.
Цилиндр вместимостью 100 см3 по ГОСТ 1770.
Пипетка вместимостью 20 см3 по ГОСТ 29169.
Бюретки вместимостью 5 и 25 см3 по ГОСТ 29251.
Кислота соляная по ГОСТ 3118, водный раствор концентрации с (HCI) = 0, 1 моль/дм3, приготовленный по ГОСТ 25794.1.
Натрия гидроокись по ГОСТ 4328, водный раствор концентрации 0, 1 моль/дм3.
Спирт этиловый (кроме денатурированного) по нормативному документу или технической документации.
Вода дистиллированная по ГОСТ 6709.
7.7.2 Подготовка к испытанию
рН-метр готовят к работе по инструкции, прилагаемой к прибору.
В стакане взвешивают около 1 г смолы, результат взвешивания в граммах записывают с точностью до четвертого десятичного знака.
Смолы марок СФЖ-3016, СФЖ-323, СФЖ-305 растворяют в 20 см3 этилового спирта, а затем добавляют 50 см3 дистиллированной воды. Смолы марок СФЖ-3011, СФЖ-3013, СФЖ-3014, СФЖ-3024 растворяют в 70 см3 дистиллированной воды.
Растворение проводят с использованием магнитной мешалки.
Этиловый спирт и дистиллированную воду перед использованием нейтрализуют до рН, равного 7.
7.7.3 Проведение испытания
В стакан с раствором смолы погружают электроды рН-метра и при непрерывном перемешивании титруют содержимое раствором соляной кислоты до рН, равного 7.
Смолы марок СФЖ-3016, СФЖ-323, СФЖ-305 титруют, используя бюретку вместимостью 5 см3.
7.7.4 Обработка результатов
Массовую долю щелочи Хщ, %, вычисляют по формуле
,
(3)
где V - объем раствора соляной кислоты концентрации точно 0, 1 моль/дм3, израсходованный на титрование, см3;
0, 004 - масса щелочи, соответствующая 1 см3 раствора соляной кислоты концентрации точно 0, 1 моль/дм3, г;
m3 - масса пробы смолы, г.
За результат испытания принимают среднеарифметическое результатов двух параллельных определений, абсолютное расхождение между которыми не превышает предела повторяемости, равного 0, 1% при массовой доле щелочи до 1% и равного 0, 2% при массовой доле щелочи более 1%.
Результат округляют до первого десятичного знака.
Допускаемая абсолютная суммарная погрешность результата испытания ±0, 2% при доверительной вероятности 0, 95.
7.8 Определение массовой доли свободного фенола и ацетона
7.8.1 Массовую долю свободного фенола в смолах марок СФЖ-3013; СФЖ-3014; СФЖ-3024; СФЖ-3011; СФЖ-3031; СФЖ-3032; СФЖ-303; СФЖ-309; СФЖ-3012 определяют по ГОСТ 11235, метод 1.
Для смол марок СФЖ-3014 и СФЖ-3024 в качестве растворителя допускается использовать дистиллированную воду.
Для смол с массовой долей свободного фенола выше 6% допускается его определение на хроматографе с детектором по теплопроводности с чувствительностью не менее 1, 5·103 мВ·см3/мг по пропану с использованием гелия в качестве газа-носителя. В качестве "внутреннего эталона" используют м-крезол или смесь этилового спирта и воды в соотношении 20:80 по объему.
Хроматографирование проводят на колонке длиной от 1 до 2 м, внутренним диаметром 3 мм, с насадкой, содержащей от 10% до 15% полиэтиленгликольадипината, нанесенного на хроматон N-AW или динахром П, при следующих рабочих условиях:
|
температура термостата |
от 160°С до 180°С |
|
температура испарителя |
от 210°С до 250°С |
|
расход газа-носителя (гелия) |
от 40 до 60 см3/мин, |
сила тока детектора в соответствии с инструкцией к прибору.
7.8.2 Массовую долю свободного фенола, Хф, %, и ацетона Ха, %, в смолах марок СФЖ-305, СФЖ-3016, СФЖ-323 определяют по ГОСТ 11235, метод 1 с программированием температуры на хроматографе с детектором ионизации в пламени.
В качестве насадки используют от 10% до 15% полиэтиленгликоля-1500, нанесенного на порохром, или от 10% до 15% полиэтиленгликоля-20М, нанесенного на хроматон N-AW. В качестве растворителя используют пропиловый спирт.
Хроматографирование проводят при следующих рабочих условиях:
|
температура термостата |
от 50°С до 170°С |
|
температура испарителя |
от 210°С до 250°С |
|
скорость нагрева термостата |
30°С/мин |
|
расход газа-носителя (гелия) |
от 35 до 50 см3/мин |
Порядок выхода компонентов приведен на рисунках 1 и 2

Рисунок 1 - Хроматограмма жидких фенолоформальдегидных смол

Рисунок 2 - Хроматограмма жидких фенолоформальдегидных смол, содержащих ацетон
Массовую долю ацетона ХА, %, определяют по формуле
,
(4)
где SА - площадь пика ацетона, мм2;
КА - калибровочный коэффициент для ацетона, определяемый по искусственным смесям;
R - отношение массы внутреннего эталона к массе пробы смолы;
Sэт - площадь пика внутреннего эталона, мм2.
7.9 Определение массовой доли свободного формальдегида
7.9.1 Массовую долю свободного формальдегида в смолах марок СФЖ-3011, СФЖ-3013, СФЖ-3014, СФЖ-3024 определяют по ГОСТ 16704, метод 1.
7.9.2 Для вычисления массовой доли свободного формальдегида в смолах марок СФЖ-305, СФЖ-323, СФЖ-3016 определяют суммарную массовую долю формальдегида и ацетона в пересчете на формальдегид Хфд+а, %, по ГОСТ 16704, метод 1.
Массовую долю свободного формальдегида в смолах марок СФЖ-305, СФЖ-323, СФЖ-3016 Хфд, %, вычисляют по формуле
,
(5)
где ХФД+А - суммарная массовая доля формальдегида и ацетона в смоле в пересчете на формальдегид, %;
ХА - массовая доля ацетона (см. 7.8.2), %;
30 - молярная масса формальдегида, г/моль;
58 - молярная масса ацетона, г/моль.
7.10 Определение числа осаждения
7.10.1 Посуда и реактивы
Колба коническая вместимостью 100 см3 по ГОСТ 25336.
Пипетки вместимостью 10 и 25 см3 по ГОСТ 29169.
Бюретка вместимостью 50 или 100 см3 по ГОСТ 29251.
Вода дистиллированная по ГОСТ 6709.
7.10.2 Проведение испытания
В коническую колбу, используя пипетку, помещают 10 см3 смол марок СФЖ-305 или СФЖ-3012; 25 см3 смол марок СФЖ-3031 или СФЖ-3032
Из бюретки добавляют в колбу дистиллированную воду до появления устойчивой мути.
За число осаждения принимают объем дистиллированной воды, см3, который вызывает помутнение 100 см3 смолы.
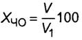
7.10.3 Обработка результатов
Число осаждения ХЧО, см3, вычисляют по формуле
,
(6)
где V - объем добавленной дистиллированной воды, см3;
V1 - объем смолы, см3.
За результат испытания принимают среднеарифметическое результатов двух параллельных определений, абсолютное расхождение между которыми не превышает предела повторяемости, равного 0, 5 см3.
Результат округляют до целого числа.
Допускаемая относительная суммарная погрешность результата испытания ±1% при доверительной вероятности 0, 95.
7.11 Определение времени желатинизации
7.11.1 Средства измерений, аппаратура, посуда, реактивы
Весы лабораторные, обеспечивающие взвешивание в граммах с точностью до второго десятичного знака.
Термометр с ценой деления 1°С.
Секундомер.
Прибор, представляющий собой стальную плиту длиной и шириной 160 мм, толщиной от 20 до 30 мм, горизонтально укрепленную на электронагревательном приборе мощностью 600 Вт. Стальная плита в боковой грани имеет отверстие для термометра, доходящее до центра плиты. На центральной части поверхности плиты очерчен квадрат размером 50 x 50 мм.
Примечание - Для очистки плиты рекомендуется применять парафин, который наносят тонким слоем на горячую поверхность плиты. Затем парафин снимают вместе с остатками смолы стальным ножом, а затем протирают плиту чистой тканью.
Автотрансформатор типа ЛАТР-1М или другой аналогичного типа.
Амперметр по ГОСТ 22261 с пределом измерения от 0 до 2 А.
Тигель низкий 2 по ГОСТ 9147.
Палочка стеклянная с оплавленным концом.
Экран трехсторонний из листовой стали, выступающий над поверхностью плиты не менее чем на 155 мм.
Нож стальной.
7.11.2 Подготовка к испытанию
Прибор для определения времени желатинизации защищают от охлаждения экраном. Электронагревательный прибор включают в электросеть через автотрансформатор и, регулируя напряжение, наблюдая за температурой по термометру, вставленному в боковое отверстие плиты, устанавливают температуру плиты (150 ± 2)°С.
7.11.3 Проведение испытания
Около 1, 5 г смолы, взвешенной в фарфоровом тигле, наносят на центральную часть плиты и включают секундомер. Затем смолу равномерно распределяют при помощи стеклянной палочки в пределах площади, ограниченной квадратом, и непрерывно перемешивают круговыми движениями.
Когда смола начнет густеть, из нее периодически вытягивают нити на высоту не более 2 см. При первом обрыве нити останавливают секундомер.
Время в секундах, прошедшее с момента нанесения смолы на плиту до момента обрыва нитей, принимают за время желатинизации.
За результат испытания принимают среднеарифметическое результатов трех параллельных определений, расхождение между наиболее отличающимися значениями которых не превышает предела повторяемости, равного 5 с, при доверительной вероятности 0, 95.
7.12 Определение массовой доли нелетучего остатка при поликонденсации
7.12.1 Средства измерений, оборудование, посуда
Весы лабораторные, обеспечивающие взвешивание в граммах с точностью до четвертого десятичного знака.
Шкаф сушильный любого типа, обеспечивающий температуру сушки (190 ± 3)°С.
Стаканчик для взвешивания типа СВ 34/12 по ГОСТ 25336.
Эксикатор по ГОСТ 25336, заполненный силикагелем или прокаленным хлористым кальцием.
7.12.2 Проведение испытания
Около 1 г смолы взвешивают в стаканчике, помещают стаканчик со смолой в сушильный шкаф и выдерживают при температуре (190 ± 3)°С в течение 10 мин.
Затем стаканчик с пробой извлекают из сушильного шкафа, охлаждают в эксикаторе до температуры окружающей среды и взвешивают.
Результаты всех взвешиваний в граммах записывают с точностью до четвертого десятичного знака.
7.12.3 Обработка результатов
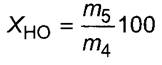
Массовую долю нелетучего остатка при поликонденсации ХНО, %, вычисляют по формуле
,
(7)
где m5 - масса смолы после высушивания, г;
m4 - масса смолы до высушивания, г.
За результат испытания принимают среднеарифметическое результатов трех параллельных определений, абсолютное расхождение между наиболее отличающимися значениями которых не превышает предела повторяемости, равного 0, 5%.
Результат округляют до целого числа.
Допускаемая абсолютная суммарная погрешность результата испытания ±0, 8% при доверительной вероятности 0, 95.
7.13 Определение предела прочности при скалывании по клеевому слою фанеры после кипячения в воде в течение 1 ч
7.13.1 Средства измерений, аппаратура, материалы, реактивы
Весы, обеспечивающие взвешивание в граммах с точностью до первого десятичного знака.
Вискозиметр ВЗ-246 с соплом диаметром 4 мм.
Пресс с плитами размером не менее 240 x 240 мм, обеспечивающий температуру плит от 125°С до 150°С и давление от 0, 78 до 2, 45 МПа.
Станок клеенаносящий, лабораторный с гладкими металлическими валами.
Шкаф сушильный электрический с терморегулятором, обеспечивающий температуру сушки (125 ± 3)°С и (150 ± 3)°С.
Стакан из термостойкого стекла вместимостью 1000 см3 по ГОСТ 25336.
Стеклянный или фарфоровый стакан.
Шпон березовый по ГОСТ 99, номинальной толщиной 1, 15 и 1, 50 мм с влажностью от 4% до 8%.
Мел по ГОСТ 8253.
Мука древесная по ГОСТ 16361.
Параформ марки А по нормативному документу или технической документации.
Магнезия по ГОСТ 844.
Вода дистиллированная по ГОСТ 6709.
7.13.2 Изготовление образцов фанеры для испытаний
7.13.2.1 Образцы фанеры для испытаний смолы марки СФЖ-3011 готовят следующим образом:
- смолу наносят с обеих сторон на листы шпона толщиной 1, 15 мм, предназначенные для внутреннего слоя фанеры, расход смолы от 100 до 120 г на 1 м2;
- листы шпона с нанесенной смолой сушат в сушильном шкафу при температуре от 40°С до 45°С до массовой доли летучих веществ и воды не более 12%;
- из одного листа, предназначенного для внутреннего слоя фанеры, и двух листов, предназначенных для наружных слоев фанеры, собирают трехслойный пакет, располагая волокна древесины взаимно перпендикулярно;
- из четырех трехслойных пакетов комплектуют один общий пакет, который склеивают в прессе при рабочей температуре плит пресса от 145°С до 150°С, давлении от 1, 96 до 2, 45 МПа; время выдержки пакета в прессе - 13 мин.
7.13.2.2 Для испытания смол марок СФЖ-3013, СФЖ-3014 и СФЖ-3024 готовят клей по рецептуре, приведенной в таблице 4.
Таблица 4
|
Марка смолы |
Масса компонента клея, г | |||||
|
смола |
мука древесная |
мел |
параформ |
магнезия |
вода | |
|
СФЖ-3013, СФЖ-3014 |
100, 0 |
3, 0 |
от 9, 0 до 12, 0 |
0, 2 |
- |
от 0 до 5 |
|
СФЖ-3024 |
100, 0 |
4, 5 |
4, 5 |
- |
1, 0 |
- |
В стеклянный или фарфоровый стакан помещают в соответствии с рецептурой мел, древесную муку, магнезию, параформ и тщательно перемешивают, затем при интенсивном перемешивании вводят небольшими порциями смолу. Приготовленный клей должен быть однородной консистенции.
Определяют условную вязкость приготовленного клея, используя вискозиметр ВЗ-246 с соплом диаметром 4 мм.
При необходимости добавляют в клей дистиллированную воду в количестве, необходимом для получения условной вязкости клея от 90 до 150 с.
Из шпона толщиной 1, 5 мм вырезают девять листов длиной и шириной не менее 240 мм и собирают три трехслойных пакета.
Для этого на 3 листа подготовленного шпона, предназначенного для внутреннего слоя фанеры, последовательно с обеих сторон равномерно наносят клей.
Расход клея на основе смол марок СФЖ-3013 и СФЖ-3014 - от 120 до 130 г/м2.
Расход клея на основе смолы марки СФЖ-3024 - от 110 до 125 г/м2.
После нанесения клея на одну сторону листа шпона ее накрывают листом шпона, предназначенного для наружного слоя фанеры, располагая волокна древесины взаимно перпендикулярно, затем наносят клей на вторую сторону листа шпона, предназначенного для внутреннего слоя, и накрывают ее листом шпона, предназначенного для наружного слоя фанеры, располагая волокна древесины взаимно перпендикулярно.
Из трех трехслойных пакетов комплектуют общий пакет, который подпрессовывают в холодном прессе. Давление подпрессовки от 0, 78 до 0, 98 МПа, время подпрессовки от 7 до 10 мин.
Подпрессованный пакет склеивают в прессе при рабочей температуре плит пресса (125 ± 3)°С и давлении от 1, 76 до 1, 96 МПа, при этом получают три листа трехслойной фанеры.
Время выдержки пакета в прессе для смол марок СФЖ-3013, СФЖ-3014 - 9 мин, марки СФЖ-3024 - 11 мин.
7.13.2.3 Из каждого пакета вырезают по шесть образцов в соответствии с ГОСТ 9620 и помещают их в стакан с кипящей водой на 1 ч.
7.13.3 Проведение испытания
После кипячения образцы извлекают из стакана и через 10 мин испытывают по ГОСТ 9624.
7.13.4 Обработка результатов
7.13.4.1 За результат испытания принимают среднеарифметическое значение результатов испытания шести образцов, при этом результат испытания каждого образца должен быть не ниже нормы, предусмотренной настоящим стандартом.
7.13.4.2 В случае получения неудовлетворительного результата испытания по данному показателю хотя бы одного образца проводят повторное испытание новых образцов.
Если разрушение образца произошло по древесине и при этом величина предела прочности при скалывании ниже нормы, предусмотренной настоящим стандартом, результат испытания этого образца не учитывают при вычислении результата испытания (см. 7.13.4.1).
Результаты повторных испытаний являются окончательными.
7.14 Определение массовой доли воды
Массовую долю воды определяют по ГОСТ 14870, раздел 2 (метод Фишера), масса пробы смолы - (0, 10 ± 0, 01) г, растворитель - 10 см3 метанола по ГОСТ 2222.
Допускается определение по ГОСТ 14870, раздел 4 (метод Дина и Старка).
В случае возникновения разногласий определение проводят методом Фишера.
8.1 Жидкие фенолоформальдегидные смолы следует перевозить в чистых транспортных средствах (крытых железнодорожных вагонах, цистернах, автомашинах и др.) в соответствии с правилами перевозки грузов, действующими на данном виде транспорта.
8.2 Смолы хранят в плотно закрытой таре при температуре не выше 20°С в закрытом проветриваемом помещении, исключающем попадание прямых солнечных лучей, на расстоянии не менее 1 м от нагревательных приборов.
Не допускается хранение смол в одном помещении с легковоспламеняющимися и самовоспламеняющимися веществами.
В период комплектования вагонов допускается хранить смолы на стеллажах или площадках, оборудованных навесом, исключающим попадание прямых солнечных лучей и атмосферных осадков, без нарушения герметичности упаковки.
9.1 При поступлении потребителю жидкой фенолоформальдегидной смолы с температурой выше 20°С смолу следует охладить до 20°С, а при поступлении замерзшей смолы следует выдержать ее в помещении при температуре не выше 25°С до оттаивания.
Принудительный разогрев смолы не допускается.
10.1 Изготовитель гарантирует соответствие жидких фенолоформальдегидных смол требованиям настоящего стандарта при соблюдении условий хранения и транспортирования, установленных настоящим стандартом.
10.2 Гарантийные сроки хранения жидких фенолоформальдегидных смол устанавливаются со дня изготовления:
20 дней для смолы марки СФЖ-309;
1 мес для смол марок СФЖ-303, СФЖ-3011;
1, 5 мес для смол марок СФЖ-3031, СФЖ-3032, СФЖ-3013;
2 мес для смол марок СФЖ-3016, СФЖ-3024, СФЖ-3014;
3 мес для смол марок СФЖ-3012, СФЖ-305;
6 мес для смол марок СФЖ-3038, СФЖ-3039, СФЖ-323.
Библиография
|
[1] |
Санитарные правила СП 4783-88 |
Санитарные правила для производств синтетических полимерных материалов и предприятий по их переработке |
|
[2] |
Санитарные правила СП 2.2.2.1327-03 |
Гигиенические требования к организации технологических процессов, производственному оборудованию и рабочему инструменту |
|
[3] |
Гигиенические нормативы ГН 2.2.5.1313-03 |
Предельно допустимые концентрации (ПДК) вредных веществ в воздухе рабочей зоны |
|
[4] |
Гигиенические нормативы ГН 2.1.6.1338-03 |
Предельно допустимые концентрации (ПДК) загрязняющих веществ в атмосферном воздухе населенных мест |
|
[5] |
Санитарные правила и нормы СанПиН 1.2.2353-08 |
Канцерогенные факторы и основные требования к профилактике канцерогенной опасности |
|
[6] |
Санитарные правила и нормы СанПиН 2.2.4.548-96 |
Гигиенические требования к микроклимату производственных помещений |
|
[7] |
Санитарные правила СП 1.1.1058-01 |
Организация и проведение производственного контроля за соблюдением санитарных правил и выполнением санитарно-противоэпидемических (профилактических) мероприятий |
|
[8] |
Нормы пожарной безопасности НПБ 105-2003 |
Определение категорий помещений, зданий и наружных установок по взрывопожарной и пожарной опасности |
|
[9] |
Санитарные правила и нормы СанПиН 2.1.6.1032-01 |
Гигиенические требования к обеспечению качества атмосферного воздуха населенных мест |
|
[10] |
Санитарные правила и нормы СанПиН 2.1.7.1322-03 |
Гигиенические требования к размещению и обезвреживанию отходов производства и потребления |


