ГОСТ 2642.5-2016 ОГНЕУПОРЫ И ОГНЕУПОРНОЕ СЫРЬЕ. МЕТОДЫ ОПРЕДЕЛЕНИЯ ОКСИДА ЖЕЛЕЗА (III)
Refractories and refractory raw materials. Methods for determination of iron (III) oxide
Дата введения -1 января 2017 г.
Взамен ГОСТ 2642.5-97
Предисловие
Цели, основные принципы и основной порядок проведения работ по межгосударственной стандартизации установлены ГОСТ 1.0-92 "Межгосударственная система стандартизации. Основные положения" и ГОСТ 1.2-2009 "Межгосударственная система стандартизации. Стандарты межгосударственные, правила и рекомендации по межгосударственной стандартизации. Правила разработки, принятия, применения, обновления и отмены"
Сведения о стандарте
1 Разработан Обществом с ограниченной ответственностью "Научно-технический центр "Огнеупоры" (ООО "НТЦ "Огнеупоры")
2 Внесен Федеральным агентством по техническому регулированию и метрологии (Росстандарт)
3 Принят Межгосударственным советом по стандартизации, метрологии и сертификации (протоколом от 29 февраля 2016 г. N 85-П)
За принятие проголосовали:
|
Краткое наименование страны по MК (ИСО 3166) 004-97 |
Код страны по МК (ИСО 3166) 004-97 |
Сокращенное наименование национального органа по стандартизации |
|
Армения |
AM |
Минэкономики Республики Армения |
|
Беларусь |
BY |
Госстандарт Республики Беларусь |
|
Казахстан |
KZ |
Госстандарт Республики Казахстан |
|
Киргизия |
KG |
Кыргызстандарт |
|
Россия |
RU |
Росстандарт |
|
Узбекистан |
UZ |
Узстандарт |
4 Приказом Федерального агентства по техническому регулированию и метрологии от 10 июня 2016 г. N 608-ст межгосударственный стандарт ГОСТ 2642.5-2016 введен в действие в качестве национального стандарта Российской Федерации с 1 января 2017 г.
5 Взамен ГОСТ 2642.5-97
Настоящий стандарт распространяется на огнеупорное сырье, кремнеземистые, алюмосиликатные, глиноземистые, глиноземоизвестковые, высокомагнезиальные, магнезиально-известковые, магнезиально-шпинелидные, магнезиально-силикатные огнеупоры и устанавливает методы количественного определения оксида железа (III):
- фотометрические методы: с сульфосалициловой кислотой (при массовой доле от 0, 05% до 6%), с о-фенантролином (при массовой доле от 0, 01% до 2, 5%) и с сульфосалициловой кислотой (при массовой доле металлического железа от 0, 01% до 0, 6%);
- комплексонометрический метод (при массовой доле от 0, 3% до 10%);
- титриметрический титанометрический метод (при массовой доле от 2, 5% до 20%);
- атомно-абсорбционный метод (при массовой доле от 0, 01% до 10%).
В настоящем стандарте использованы нормативные ссылки на следующие межгосударственные стандарты:
ГОСТ 12.4.253-2013 (EN 166:2002) Система стандартов безопасности труда. Средства индивидуальной защиты глаз. Общие технические условия
ГОСТ 61-75 Реактивы. Кислота уксусная. Технические условия
ГОСТ 83-79 Реактивы. Натрий углекислый. Технические условия
ГОСТ 199-78 Реактивы. Натрий уксуснокислый 3-водный. Технические условия
ГОСТ 1770-74 (ИСО 1042-83, ИСО 4788-80) Посуда мерная лабораторная стеклянная. Цилиндры, мензурки, колбы, пробирки. Общие технические условия
ГОСТ 2642.0-2014 Огнеупоры и огнеупорное сырье. Общие требования к методам анализа
ГОСТ 2642.3-2014 Огнеупоры и огнеупорное сырье. Методы определения оксида кремния (IV)
ГОСТ 2642.4-2016 Огнеупоры и огнеупорное сырье. Методы определения оксида алюминия
ГОСТ 3117-78 Реактивы. Аммоний уксуснокислый. Технические условия
ГОСТ 3118-77 Реактивы. Кислота соляная. Технические условия
ГОСТ 3760-79 Реактивы. Аммиак водный. Технические условия
ГОСТ 4139-75 Реактивы. Калий роданистый. Технические условия
ГОСТ 4199-76 Реактивы. Натрий тетраборнокислый 10-водный. Технические условия
ГОСТ 4204-77 Реактивы. Кислота серная. Технические условия
ГОСТ 4221-76 Реактивы. Калий углекислый. Технические условия
ГОСТ 4461-77 Реактивы. Кислота азотная. Технические условия
ГОСТ 4478-78 Реактивы. Кислота сульфосалициловая 2-водная. Технические условия
ГОСТ 5456-79 Реактивы. Гидроксиламина гидрохлорид. Технические условия
ГОСТ 6563-75 Изделия технические из благородных металлов и сплавов. Технические условия
ГОСТ 6709-72 Вода дистиллированная. Технические условия
ГОСТ 7172-76 Реактивы. Калий пиросернокислый
ГОСТ 10484-78 Реактивы. Кислота фтористоводородная. Технические условия
ГОСТ 10652-73 Реактивы. Соль динатриевая этилендиамин-N, N, N', N'-тетрауксусной кислоты 2-водная (трилон Б). Технические условия
ГОСТ 10929-76 Реактивы. Водорода пероксид. Технические условия
ГОСТ 13610-79 Железо карбонильное радиотехническое. Технические условия
ГОСТ 14183-78 Стекло органическое часовое. Технические условия
ГОСТ ИСО/МЭК 17025-2009 Общие требования к компетентности испытательных и калибровочных лабораторий
ГОСТ 24104-2001 Весы лабораторные. Общие технические требования*
ГОСТ 25336-82 Посуда и оборудование лабораторные стеклянные. Типы, основные параметры и размеры
ГОСТ 27067-86 Реактивы. Аммоний роданистый. Технические условия
Примечание - При пользовании настоящим стандартом целесообразно проверить действие ссылочных стандартов в информационной системе общего пользования - на официальном сайте Федерального агентства по техническому регулированию и метрологии в сети Интернет или по ежегодному информационному указателю "Национальные стандарты", который опубликован по состоянию на 1 января текущего года, и по выпускам ежемесячного информационного указателя "Национальные стандарты" за текущий год. Если ссылочный стандарт заменен (изменен), то при пользовании настоящим стандартом, следует руководствоваться заменяющим (измененным) стандартом. Если ссылочный стандарт отменен без замены, то положение, в котором дана ссылка на него, применяется в части, не затрагивающей эту ссылку.
Общие требования к методам анализа - в соответствии с ГОСТ 2642.0.
Требования безопасности - по ГОСТ 2642.0 с дополнением по 4.1.
4.1 При проведении испытания должны применяться индивидуальные средства защиты глаз по ГОСТ 12.4.253.
5.1 Сущность метода
Метод основан на измерении оптической плотности трисульфосалицилатного комплекса железа, образующегося в аммиачной среде с сульфосалициловой кислотой, при использовании синего светофильтра (область светопропускания (400 - 450) нм).
Метод распространяется на огнеупорные глины, кремнеземистые, алюмосиликатные, высокомагнезиальные и магнезиально-известковые огнеупоры.
5.2 Аппаратура, реактивы, растворы и вспомогательные устройства
Весы по ГОСТ 24104, класс точности II.
Колориметр фотоэлектрический лабораторный или спектрофотометр.
Печь муфельная с терморегулятором, обеспечивающая поддержание температуры нагрева 1000°C с пределами допустимого отклонения ±50°С.
Шкаф сушильный, обеспечивающий поддержание заданной температуры 110°С с пределами допустимого ±5°С.
Электроплитка по технической документации.
Посуда мерная лабораторная стеклянная по ГОСТ 1770.
Посуда лабораторная стеклянная по ГОСТ 25336.
Тигли платиновые N 100 - 7 и N 100 - 10 по ГОСТ 6563.
Аммиак водный по ГОСТ 3760.
Аммоний виннокислый средний, раствор с массовой долей 25% по технической документации.
Вода дистиллированная по ГОСТ 6709.
Железа оксид по технической документации, х.ч., или железо карбонильное по ГОСТ 13610 или технической документации.
Калий пиросернокислый по ГОСТ 7172.
Калий углекислый по ГОСТ 4221.
Натрий углекислый по ГОСТ 83.
Натрий тетраборнокислый 10-водный по ГОСТ 4199.
Безводный тетраборнокислый натрий: натрий тетраборнокислый 10-водный по ГОСТ 4199, обезвоженный при температуре (400±20)°С.
Смесь для сплавления: углекислый натрий, безводный тетраборнокислый натрий и углекислый калий смешивают в соотношении 1:1:1 или углекислый натрий и безводный тетраборнокислый натрий - в соотношении 2:1.
Кислота азотная по ГОСТ 4461.
Кислота серная по ГОСТ 4204 и разбавленная 1:9.
Кислота соляная по ГОСТ 3118 и разбавленная 1:1 и 1:3.
Кислота сульфосалициловая 2-водная по ГОСТ 4478, раствор с массовой долей 30%.
Кислота фтористоводородная по ГОСТ 10484.
Стекло органическое часовое по ГОСТ 14183.
Фильтр беззольный "белая лента" по технической документации.
5.2.1 Приготовление стандартных растворов
Стандартный раствор с массовой концентрацией оксида железа (III) 0, 0001 г/см3 (раствор А): 0, 1 г высушенного при 110°С в течение 1 ч оксида железа помещают в коническую колбу вместимостью 500 см3, приливают 50 см3 соляной кислоты (1:1) и, накрыв колбу часовым стеклом, нагревают до полного растворения. Затем раствор охлаждают, переносят в мерную колбу вместимостью 1000 см3, доводят дистиллированной водой до метки и перемешивают.
Допускается готовить стандартный раствор с массовой концентрацией оксида железа (III) 0, 0001 г/см3 (раствор А) из карбонильного железа: 0, 6994 г карбонильного железа помещают в коническую колбу, приливают 100 см3 соляной кислоты (1:1) и, накрыв колбу часовым стеклом, нагревают до полного растворения. Затем добавляют по каплям азотную кислоту до прекращения вспенивания, нагревают до удаления оксидов азота, раствор охлаждают, переносят в мерную колбу вместимостью 1000 см3, доводят дистиллированной водой до метки и перемешивают. Перед использованием 10 см3 раствора переносят в мерную колбу вместимостью 100 см3, доводят дистиллированной водой до метки и перемешивают.
Стандартный раствор с массовой концентрацией оксида железа (III) 0, 00002 г/см3 (раствор Б): отбирают пипеткой 20 см3 стандартного раствора А в мерную колбу вместимостью 100 см3, приливают 1 см3 серной кислоты (1:9), доводят дистиллированной водой до метки и перемешивают.
5.3 Проведение анализа
5.3.1 Аналитическую пробу массой (0, 2 - 0, 5) г смешивают в платиновом тигле с (3 - 5) г смеси для сплавления и сплавляют в муфельной печи при температуре 950°С не менее 10 мин. В стакан наливают 60 см3 нагретой до (60 - 70)°С соляной кислоты (1:3), помещают в него тигель со сплавом и нагревают до полного растворения сплава.
Раствор охлаждают, переносят в мерную колбу вместимостью 250 см3, доводят до метки дистиллированной водой и перемешивают (раствор 1).
При проведении анализа кремнеземистых, полукислых, шамотных огнеупоров и огнеупорных глин с массовой долей оксида кремния (IV) более 40% исходный раствор 1 готовят по ГОСТ 2642.4, пункт 6.3.1.
Для определения оксида железа (III) допускается использовать аликвотную часть раствора 1 полученного по ГОСТ 2642.3 (раздел 5), раствора 3 - по ГОСТ 2642.3 (раздел 8), раствора Е - по ГОСТ 2642.3 (раздел 10).
5.3.2 В зависимости от массовой доли оксида железа (III) в мерную колбу вместимостью 100 см3 помещают аликвотную часть раствора в соответствии с таблицей 1.
Таблица 1
|
Массовая доля оксида железа (III), % |
Объем аликвотной части раствора, см3 |
|
От 0, 05 до 1, 00 включ. Св. 1, 00 " 3, 00 " " 3, 00 " 6, 00 " |
25 10 5 |
Аликвотную часть раствора помещают в мерную колбу вместимостью 100 см3, прибавляют 2 см3 раствора виннокислого аммония, 15 см3 раствора сульфосалициловой кислоты, водного аммиака до появления устойчивой желтой окраски и дополнительно приливают 3 см3 водного аммиака в избыток. Раствор охлаждают, доводят до метки дистиллированной водой и перемешивают. В случае выпадения осадка или появления мути раствор отфильтровывают на фильтр "белая лента".
Оптическую плотность раствора измеряют на фотоколориметре с синим светофильтром (область светопропускания (400 - 450 нм) в кювете толщиной поглощающего слоя 30 или 50 мм. Допускается использовать кюветы другой толщины поглощающего слоя в зависимости от типа колориметра при выполнении условий ГОСТ 2642.0 (пункт 7.3). В качестве раствора сравнения используют раствор контрольного опыта, содержащий все применяемые реактивы.
Массу оксида железа (III) в граммах определяют по градуировочному графику.
5.3.3 Для построения градуировочного графика в мерные колбы вместимостью 100 см3 каждая помещают аликвотные части стандартного раствора Б: 1, 0; 2, 5; 5, 0; 10, 0; 15, 0; 20, 0; 25, 0; 30, 0 см3, что соответствует 0, 00002; 0, 00005; 0, 0001; 0, 0002; 0, 0003; 0, 0004; 0, 0005; 0, 0006 г оксида железа (III).
Далее анализ проводят по 5.3.2.
Градуировочный график строят по измеренным значениям оптической плотности и соответствующим им массам оксида железа (III).
5.4 При построении градуировочного графика, периодическом контроле стабильности градуировочной характеристики, а также при выполнении анализов выполняют проверку приемлемости аналитических сигналов фотоэлектроколориметра или спектрофотометра, полученных в условиях повторяемости.
Результат проверки признается приемлемым при выполнении условия:
,
(1)
где Di1 и Di2 - значения оптической плотности, полученные для i-го градуировочного раствора при двух измерениях, Б;
Di - среднее значение результатов двух измерений оптической плотности i-го градуировочного раствора, Б;
Кф - норматив (допускаемое расхождение результатов измерений оптической плотности раствора), при доверительной вероятности 0, 95, %;
Кф=5%,
(2)
5.4.1 Градуировочную характеристику представляют в виде линейного уравнения или графика.
5.4.1.1 Градуировочная характеристика в виде линейного уравнения
На основе полученных данных строят градуировочную характеристику по уравнению
D̅=A+Bm,
(3)
где D̅ - среднее значение результатов двух измерений оптической плотности градуировочного раствора, Б;
m - масса оксида железа (III), г;
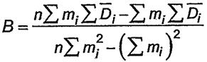
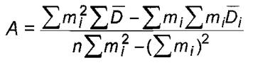
А и В - коэффициенты, определяемые методом наименьших квадратов по следующим формулам:
;
(3)
,(4)
где mi - масса оксида железа (III) в i-м градуировочном растворе, г;
D̅i- оптическая плотность i-го градуировочного раствора (среднеарифметическое значение по двум измерениям), Б;
i - номер градуировочного раствора;
n - количество градуировочных растворов.
5.4.1.2 Градуировочная характеристика в виде графика
На основании полученных данных строят градуировочный график в координатах: оптическая плотность Di - масса оксида железа (III) mi, указывают масштаб графика.
5.4.2 Проверка приемлемости градуировочной характеристики
Градуировочная характеристика считается удовлетворительной, если для каждого стандартного раствора отклонение среднего значения оптической плотности от градуировочной характеристики не превышает 5%.
5.5 Обработка результатов
5.5.1 Массовую долю оксида железа (III) WFe₂O₃, %, вычисляют по формуле
,
(5)
где 250 - исходный объем раствора, см3;
m - масса оксида железа (III), определенная по градуировочному графику, г;
V - объем аликвотной части раствора, см3;
m1 - масса аналитической пробы, г.
5.5.2 Нормы точности и нормативы контроля точности определений массовой доли оксида железа (III) приведены в таблице 3 раздела 11.
6.1 Сущность метода
Метод основан на предварительном восстановлении общего железа солянокислым гидроксиламином. Двухвалентные ионы железа образуют с о-фенантролином оранжево-красный комплекс, оптическую плотность которого измеряют при длине волны 510 нм или при использовании зеленого светофильтра.
Метод распространяется на огнеупорные глины и каолины, шамотные, шамотноуглеродистые, полукислые, алюмосиликатные, кремнеземистые, высокомагнезиальные и магнезиально-известковые огнеупоры.
Допускается при содержании массовой доли оксида железа (III) от 0, 04% до 0, 4% проводить испытания в соответствии с приложением А.
6.2 Аппаратура, реактивы, растворы и вспомогательные устройства
Натрий уксуснокислый 3-водный по ГОСТ 199, раствор с массовой долей 20%.
Аммоний уксуснокислый по ГОСТ 3117, раствор с массовой долей 20%.
о-фенантролин по технической документации, раствор с массовой долей 0, 25%.
Гидроксиламин солянокислый по ГОСТ 5456, раствор с массовой долей 10%.
Бумага индикаторная универсальная по технической документации.
Остальные реактивы, растворы, аппаратура и вспомогательные устройства - по 5.2.
6.2.1 Приготовление стандартных растворов
Стандартный раствор с массовой концентрацией оксида железа (III) 0, 0001 г/см3 (раствор А) готовят по 5.2.
Стандартный раствор с массовой концентрацией оксида железа (III) 0, 00001 г/см3 (раствор Б): пипеткой переносят 20 см3, доводят до метки водой и перемешивают.
6.3 Проведение анализа
6.3.1 Растворы для проведения анализа готовят по 5.3.1. Допускается использовать аликвотную часть раствора, полученного после отделения оксида кремния (IV) по ГОСТ 2642.3 (разделы 5, 7, 8, 10).
6.3.2 В зависимости от массовой доли оксида железа (III) в мерную колбу вместимостью 100 см3 помещают аликвотную часть раствора в соответствии с таблицей 2.
Таблица 2
|
Массовая доля оксида железа (III), % |
Объем аликвотной части раствора, см3 |
|
От 0, 01 до 0, 5 включ. Св. 0, 5 " 1, 5 " " 1, 5 "2, 5 " |
25 10 5 |
Приливают 2 см3 раствора солянокислого гидроксиламина, перемешивают, через 10 мин добавляют 5 см3 раствора о-фенантролина, (10 - 15) см3 раствора уксуснокислого натрия или уксуснокислого аммония; рН раствора (3, 5 - 4, 0) (по универсальной индикаторной бумаге). Раствором сравнения служит раствор контрольного опыта, содержащий все применяемые реактивы. Массу оксида железа (III) в граммах определяют по градуировочному графику.
6.3.3 Для построения градуировочного графика в мерные колбы вместимостью 100 см3 отмеряют аликвотные части стандартного раствора Б: 0, 5; 1, 0; 5, 0; 10, 0; 15, 0; 20, 0; 25, 0; 30, 0 см3, что соответствует 0, 000005; 0, 00001; 0, 00005; 0, 0001; 0, 00015; 0, 0002; 0, 00025; 0, 0003 г оксида железа (III).
Далее проводят анализ по 6.3.2. Градуировочный график строят по определенным значениям оптической плотности и соответствующим им массам оксида железа (III).
6.4 Обработка результатов
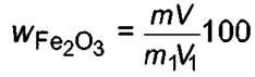
6.4.1 Массовую долю оксида железа (III) WFe₂O₃, %, вычисляют по формуле
,
(6)
где m - масса оксида железа (III), определенная по градуировочному графику, г;
V - общий объем исходного раствора, см3;
m1 - масса аналитической пробы, г;
V1 - объем аликвотной части раствора, см3.
Нормы точности и нормативы контроля точности определений массовой доли оксида железа (III) приведены в таблице 3 раздела 11.
7.1 Сущность метода
Метод основан на измерении оптической плотности образующегося в аммиачной среде комплекса трисульфосалицилата железа при использовании сульфосалициловой кислоты в качестве комплексообразователя.
Метод распространяется на муллитовые, муллитокорундовые и корундовые огнеупоры.
7.2 Аппаратура, реактивы, растворы и вспомогательные устройства
Шариковый воздушный холодильник по технической документации.
Фильтр "синяя лента" диаметром 11 см по технической документации.
Водорода пероксид по ГОСТ 10929, раствор с массовой долей 3%.
Остальные реактивы, растворы, аппаратура и вспомогательные устройства - по 5.2.
7.2.1 Приготовление стандартных растворов
Стандартный раствор с массовой концентрацией оксида железа (III) 0, 0001 г/см3 (раствор А) готовят по 5.2.
Стандартный раствор с массовой концентрацией оксида железа (III) 0, 00002 г/см3 (раствор Б): 20 см3 стандартного раствора А пипеткой переносят в мерную колбу вместимостью 100 см3, прибавляют 1 см3 серной кислоты (1:9), доводят дистиллированной водой до метки и перемешивают.
7.3 Проведение анализа
7.3.1 Аналитическую пробу массой 5 г помещают в коническую колбу вместимостью 300 см3, приливают 60 см3 соляной кислоты (1:1), (1 - 2) см3 раствора пероксида водорода и кипятят с шариковым воздушным холодильником в течение 7 мин.
Раствор охлаждают, переносят в мерную колбу вместимостью 250 см3, доводят до метки дистиллированной водой, перемешивают, отфильтровывают через фильтр "синяя лента" диаметром 11 см и удаляют первые две порции фильтрата.
7.3.2 В мерную колбу вместимостью 100 см3 в зависимости от содержания массовой доли металлического железа отбирают аликвотную часть раствора: 25 см3 - при массовой доле металлического железа менее 0, 1%, 10 см3 - при массовой доле металлического железа менее 0, 25% и 5 см3 - при массовой доле металлического железа более 0, 25%, прибавляют 2 см3 раствора виннокислого аммония, 5 см3 раствора сульфосалициловой кислоты, водного аммиака до появления устойчивой желтой окраски и дополнительно приливают 5 см3 водного аммиака в избыток. Раствор охлаждают, доводят до метки дистиллированной водой и перемешивают.
Оптическую плотность раствора измеряют на фотоколориметре с синим светофильтром (область светопропускания (400 - 450) нм) в кювете с толщиной поглощающего слоя 30 или 50 мм. Допускается использовать кюветы другой толщины поглощающего слоя в зависимости от типа колориметра при выполнении условий ГОСТ 2642.0 (пункт 7.3). В качестве раствора сравнения используют раствор контрольного опыта, содержащий все применяемые реактивы.
Массу оксида железа (III) в граммах находят по градуировочному графику.
7.3.3 Для построения градуировочного графика в мерные колбы вместимостью 100 см3 помещают аликвотные части стандартного раствора Б: 1, 0; 2, 5; 5, 0; 10, 0; 15, 0; 20, 0; 25, 0; 30, 0 см3, что соответствует 0, 00002; 0, 00005; 0, 0001; 0, 0002; 0, 0003; 0, 0004; 0, 0005; 0, 0006 г оксида железа (III). Добавляют соответственно 29, 0; 27, 5; 25, 0; 20, 0; 15, 0; 10, 0, 5, 0 см3 воды.
Далее анализ проводят по 7.3.2.
Градуировочный график строят по вычисленным среднеарифметическим значениям оптической плотности трех определений и соответствующим массам оксида железа (III).
7.4 Обработка результатов
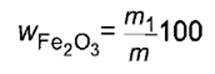
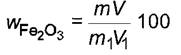
7.4.1 Массовую долю металлического железа в пересчете на оксид железа (III) WFe₂O₃, %, вычисляют по формуле
,
(7)
где 250 - исходный объем раствора, см3;
m - масса оксида железа (III), найденная по градуировочному графику, г;
V - объем аликвотной части раствора, см3;
m1 - масса аналитической пробы, г.
7.4.2 Нормы точности и нормативы контроля точности определений массовой доли оксида железа (III) приведены в таблице 3 раздела 11.
8.1 Сущность метода
Метод основан на титровании ионов железа раствором трилона Б при рН (1, 5 - 2, 0) в присутствии сульфосалициловой кислоты в качестве индикатора.
Метод распространяется на кремнеземистые, алюмосиликатные, высокомагнезиальные, магнезиально-известковые огнеупоры.
8.2 Аппаратура, реактивы, растворы и вспомогательные устройства
Кислота соляная по ГОСТ 3118, раствор молярной концентрации 1 моль/дм3.
Соль динатриевая этилендиамин-N, N, N', N'-тетрауксусной кислоты 2-водная (трилон Б) по ГОСТ 10652, раствор молярной концентрации 0, 025 моль/дм3.
Индикаторная бумага Конго по технической документации.
Остальные реактивы, растворы, аппаратура и вспомогательные устройства - по 5.2.
8.2.1 Приготовление стандартного раствора
Стандартный раствор с массовой концентрацией оксида железа (III) 0, 001 г/см3 (раствор В): 1, 0 г оксида железа (III), высушенного при температуре 110°С в течение 1 ч, помещают в коническую колбу вместимостью 500 см3, приливают 100 см3 соляной кислоты (1:1) и, накрыв колбу часовым стеклом, нагревают до полного растворения. Затем раствор охлаждают, переносят в мерную колбу вместимостью 1000 см3, доливают до метки дистиллированной водой и перемешивают.
Определение массовой концентрации раствора трилона Б по оксиду железа (III): в коническую колбу вместимостью 300 см3 помещают 20 см3 стандартного раствора оксида железа (III), приливают ориентировочно 100 см3 дистиллированной воды и (2 - 3) см3 соляной кислоты. Раствор нагревают до (60 - 70)°С, нейтрализуют водным аммиаком до изменения цвета бумаги Конго (появления легкой мути), приливают 10 см3 раствора соляной кислоты молярной концентрации 1 моль/дм3, несколько капель раствора сульфосалициловой кислоты в качестве индикатора и титруют раствором трилона Б до перехода окраски раствора из красно-фиолетовой в соломенно-желтую.
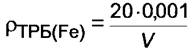
Массовую концентрацию трилона Б по оксиду железа (III) ρТРБ(Fe), г/см3, вычисляют по формуле
,
(8)
где 20 - объем стандартного раствора железа, см3;
0, 001 - массовая концентрация стандартного раствора оксида железа (III), г/см3;
V - объем раствора трилона Б, израсходованный на титрование, см3.
Выполняют не менее трех титрований и вычисляют среднеарифметическое значение.
8.3 Проведение анализа
Растворы для проведения анализа готовят по 5.3.1 или по ГОСТ 2642.4 (пункты 6.3.1; 6.3.2; 6.3.4.3).
Полученные растворы нагревают до (60 - 70)°С и нейтрализуют водным аммиаком до изменения цвета бумаги Конго (выпадение легкой мути).
Затем прибавляют 10 см3 раствора соляной кислоты молярной концентрации 1 моль/дм3, несколько капель раствора сульфосалициловой кислоты и титруют раствором трилона Б до перехода окраски раствора из красно-фиолетовой в соломенно-желтую.
8.4 Обработка результатов
8.4.1 Массовую долю оксида железа (III) WFe₂O₃, %, вычисляют по формуле
,
(9)
где V1 - объем раствора трилона Б, израсходованный на титрование, см3;
ρТРБ - массовая концентрация раствора трилона Б, г/см3;
m - масса аналитической пробы, г.
8.4.2 Нормы точности и нормативы контроля точности определений массовой доли оксида железа (III) приведены в таблице 3 раздела 11.
9.1 Сущность метода
Метод основан на восстановлении роданидного комплекса железа раствором сернокислой или солянокислой соли титана (III).
Метод рекомендован при анализе хромсодержащих огнеупоров, так как он не требует предварительного отделения хрома.
9.2 Аппаратура, реактивы, растворы и вспомогательные устройства
Установка для хранения раствора соли титана (III), рисунок 1.
Аммоний роданистый по ГОСТ 27067, раствор с массовой долей 5%.
Калий роданистый по ГОСТ 4139, раствор с массовой долей 10%.
Кислота серная по ГОСТ 4204.
Титан (III) сернокислый, раствор с массовой долей 15% по технической документации, разбавленный 1:10. На каждый 1 дм3 разбавленного раствора соли титана прибавляют 10 см3 серной кислоты. Раствор хранят в установке (рисунок 1) в среде водорода или углекислого газа.
Остальные реактивы, растворы, аппаратура и вспомогательные устройства - по 5.2.

Рисунок 1
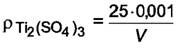
Стандартный раствор оксида железа (III) (раствор В), готовят по 8.2.
Определение массовой концентрации раствора сернокислого титана (III) по оксиду железа (III): в коническую колбу вместимостью 300 см3 помещают 25 см3 стандартного раствора оксида железа (III), прибавляют 10 см3 соляной кислоты (1:1), (50 - 70) см3 дистиллированной воды, 5 см3 раствора роданистого калия или роданистого аммония, (0, 3 - 0, 5) г углекислого натрия и титруют при постоянном перемешивании раствором сернокислого титана (III) до исчезновения красной окраски.
Массовую концентрацию раствора сернокислого титана (III), ρTi₂(SO₄)₃ г/см3, по оксиду железа (III), вычисляют по формуле
,
(10)
где 25 - объем стандартного раствора оксида железа (III) (раствора В), см3;
0, 001 - массовая концентрация стандартного раствора В по оксиду железа (III), г/см3;
V - объем раствора сернокислого титана (III), израсходованный на титрование, см3.
9.3 Проведение анализа
Для проведения анализа раствор готовят по 5.3.1 (кроме хромсодержащих материалов). После растворения сплавов полученные растворы переводят в коническую колбу вместимостью 300 см3.
При анализе хромсодержащих материалов в платиновом тигле N 100 - 10 аналитическую пробу массой 0, 5 г смешивают с (7 - 10) г пиросернокислого калия и сплавляют в муфельной печи при температуре (850 - 900)°С до полного разложения пробы. Сплав охлаждают и растворяют горячей дистиллированной водой с добавлением (15 - 20) см3 соляной кислоты.
В полученные исходные растворы прибавляют по 5 см3 раствора роданистого калия или роданистого аммония, (0, 3 - 0, 5) г углекислого натрия и сразу титруют раствором сернокислого титана (III) до исчезновения красной окраски раствора.
9.4 Обработка результатов
9.4.1 Массовую долю оксида железа (III) WFe₂O₃, %, вычисляют по формуле
,
(11)
где V - объем раствора сернокислого титана (III), израсходованный на титрование, см3;
ρTi₂(SO₄)₃ - массовая концентрация раствора сернокислого титана (III), г/см3 оксида железа (III);
m - масса аналитической пробы, г.
9.4.2 Нормы точности и нормативы контроля точности определений массовой доли оксида железа (III) приведены в таблице 3 раздела 11.
10.1 Сущность метода
Метод основан на измерении атомной абсорбции железа в пламени воздух-ацетилен при длине волны 248, 3 ам.
Метод распространяется на высокомагнезиальные и магнезиально-известковые огнеупоры.
10.2 Аппаратура, реактивы и растворы
Атомно-абсорбционный спектрофотометр с источником излучения для железа.
Фоновый раствор: ориентировочно 5 г смеси для сплавления растворяют в 60 см3 соляной кислоты (1:3). Затем раствор переводят в мерную колбу вместимостью 250 см3, доводят дистиллированной водой до метки и перемешивают.
Стандартный раствор оксида железа (III) и остальные реактивы - по 5.2.
10.3 Проведение анализа
10.3.1 Стандартные растворы для проведения анализа готовят по 5.2.1.
10.3.2 Определение массовой доли оксида железа (III): аликвотную часть раствора от 5 до 50 см3 [в зависимости от массовой доли оксида железа (III)] помещают в мерную колбу вместимостью 100 см3, доводят дистиллированной водой до метки, перемешивают и измеряют атомную абсорбцию железа в пламени воздух-ацетилен при длине волны 248, 3 нм.
Массу оксида железа (III) в граммах находят по градуировочному графику.
10.3.3 Для построения градуировочного графика в мерные колбы вместимостью 100 см3 отмеряют аликвотные части стандартного раствора Б: 1, 0; 2, 5; 5, 0; 10, 0; 15, 0; 20, 0; 25, 0 см3, что соответствует 0, 00002; 0, 00005; 0, 0001; 0, 0002; 0, 0003; 0, 0004; 0, 0005 г оксида железа (III), приливают по 25 см3 фонового раствора, доводят дистиллированной водой до метки, перемешивают и измеряют атомную абсорбцию градуировочных растворов железа в пламени воздух-ацетилен при длине волны 248, 3 нм.
Градуировочный график строят по определенным значениям атомной абсорбции, за вычетом атомной абсорбции контрольного опыта, и соответствующим им массам оксида железа (III) в граммах. Градуировочный график строят для каждой партии проб.
10.4 Обработка результатов
10.4.1 Массовую долю оксида железа (III) WFe₂O₃, %, вычисляют по формуле
,
(12)
где m1 - масса оксида железа (III), найденная по градуировочному графику, г;
m - масса аналитической пробы, содержащаяся в 100 см3 конечного раствора, г.
10.4.2 Нормы точности и нормативы контроля точности определений массовой доли оксида железа (III) приведены в таблице 3 раздела 11.
11.1 Проверка приемлемости
Проверяют приемлемость результатов определений массовой доли оксида железа (III). Результат проверки считают удовлетворительным, если выполняется условие
|WFe₂O₃1-WFe₂O₃2|≤r,
(13)
где WFe₂O₃1, WFe₂O₃2 - значения массовой доли оксида железа (III), полученные в условиях повторяемости опыта, %;
r - предел повторяемости, см. таблицу 3.
За результат определений массовой доли оксида железа (III) принимают среднеарифметическое значение W̅Fe₂O₃, полученное по двум последовательным определениям, удовлетворяющим требованию приемлемости.
Если условие (13) не выполнено, проводят два дополнительных определения и проверяют приемлемость вновь полученных результатов.
Если результаты дополнительных определений не удовлетворяют требованиям приемлемости, то за результат определений принимают среднеарифметическое значение четырех полученных значений при условии, что ряд последовательно полученных значений не возрастает или не убывает монотонно.
Примечание - Допускается проводить проверку приемлемости результатов в соответствии с документами, действующими на территории государства, применяющего стандарт**.
11.2 В документе о качестве результат определения массовой доли оксида железа (III) приводят в сокращенном формате без указания расширенной неопределенности.
По требованию заказчика результат определения массовой доли оксида железа (III) может быть приведен в полном формате
[wFe₂O₃±U(wFe₂O₃)],
(14)
где U(wFe₂O₃) - расширенная неопределенность при коэффициенте охвата k = 2.
Результат округляют до того же десятичного знака, которым заканчивается округленное значение расширенной неопределенности U(wFe₂O₃).
Примеры:
1 WFe₂O₃ = (0, 103±0, 021)%.
2 WFe₂O₃ = (10, 1±1, 3)%.
3 WFe₂O₃ = (8±9)%.
11.3 Контроль внутрилабораторной прецизионности
Рассчитывают расхождение результатов определений массовой доли оксида железа (III), полученное в условиях прецизионности (варьируемые факторы: время и оператор). При этом расхождение между двумя средними результатами определений не должно превышать норматив контроля Rп
|W̅Fe₂O₃1-W̅Fe₂O₃2|≤Rп,
(15)
где W̅Fe₂O₃1, W̅Fe₂O₃2 - первое и второе значения массовой доли оксида железа (III), %.
При превышении норматива измерения повторяют. При повторном превышении выясняют и устраняют причины, приводящие к неудовлетворительным результатам
11.4 Оперативный контроль точности
Контроль выполнения процедуры определений (контроль точности результатов измерений) проводят не реже одного раза в смену или одновременно с каждой партией рабочих проб. Для контроля точности результатов измерений применяют государственные стандартные образцы, стандартные образцы предприятия или смеси, аттестованные в установленном порядке. Если отклонение результата определения массовой доли оксида железа (III) в образце для контроля W̅Fe₂O₃ от аттестованного (расчетного) значения Aco не превышает норматива контроля KT (таблица 3)
|WFe₂O₃-Aco|≤KT,
(16)
результаты контрольной процедуры признают удовлетворительными. При невыполнении условия (16) определение повторяют. При повторном невыполнении условия (16) определения прекращают до выявления и устранения причин, приводящих к неудовлетворительным результатам.
Таблица 3
|
В процентах | |||||
|
Массовая доля оксида железа (III) |
Нормы точности и нормативы контроля точности | ||||
|
U(w) |
Rл |
r |
KT | ||
|
От 0, 01 до 0, 02 включ. |
0, 007 |
0, 009 |
0, 008 |
0, 005 | |
|
Св. 0, 02 " 0, 05 " |
0, 011 |
0, 014 |
0, 012 |
0, 007 | |
|
" 0, 05 " 0, 1 " |
0, 016 |
0, 020 |
0, 017 |
0, 011 | |
|
" 0, 1 " 0, 2 " |
0, 022 |
0, 028 |
0, 023 |
0, 014 | |
|
" 0, 2 " 0, 5 " |
0, 04 |
0, 05 |
0, 04 |
0, 02 | |
|
" 0, 5 " 1, 0 " |
0, 05 |
0, 06 |
0, 05 |
0, 03 | |
|
" 1 " 2 " |
0, 07 |
0, 09 |
0, 08 |
0, 05 | |
|
" 2 " 5 " |
0, 11 |
0, 14 |
0, 12 |
0, 07 | |
|
" 5 " 10 " |
0, 16 |
0, 20 |
0, 17 |
0, 11 | |
|
" 10 " 20 " |
0, 22 |
0, 28 |
0, 23 |
0, 14 | |
Результаты испытания записывают в протоколе, в котором указывают:
- обозначение настоящего стандарта;
- наименование организации, проводившей испытание;
- обозначение испытуемого огнеупора или огнеупорного сырья, марку, номер партии;
- наименование предприятия-изготовителя;
- дату проведения испытания;
- метод определения оксида железа (III);
- значение результата определения оксида железа (III);
- должность, фамилию, имя, отчество исполнителя;
- подпись исполнителя.
Примечание - Допускается проводить оформление результатов измерений в соответствии с ГОСТ ИСО/МЭК 17025 либо с правилами, действующими на конкретном предприятии.
_____________________________
* На территории Российской Федерации действует ГОСТ Р 53228-2008 "Весы неавтоматического действия. Часть 1. Метрологические и технические требования. Испытания".
** На территории Российской Федерации действует ГОСТ Р ИСО 5725-6-2002 "Точность (правильность и прецизионность) методов и результатов измерений. Часть 6. Использование значений точности на практике".
Приложение А
(обязательное)
А.1 Сущность метода
Метод основан на предварительном восстановлении общего железа солянокислым гидроксиламином. Двухвалентные ионы железа образуют с о-фенантролином оранжево-красный комплекс, оптическую плотность которого измеряют при длине волны 510 нм или при использовании зеленого светофильтра.
А.2 Аппаратура, реактивы и растворы
Весы по ГОСТ 24104, класс точности II.
Колориметр фотоэлектрический лабораторный или спектрофотометр.
Печь муфельная с терморегулятором, обеспечивающая поддержание температуры нагрева 1000°С с пределами допустимого отклонения ±50°С.
Шкаф сушильный, обеспечивающий поддержание заданной температуры 110°С с пределами допустимого отклонения ±5°С.
Электроплитка по технической документации.
Тигли платиновые N 100-7 и N 100-8 по ГОСТ 6563.
Крышки платиновые N 100-7 и N 100-8 по ГОСТ 6563.
Посуда мерная стеклянная по ГОСТ 1770.
Посуда лабораторная стеклянная по ГОСТ 25336.
Аммиак водный по ГОСТ 3760.
Вода дистиллированная по ГОСТ 6709.
Гидроксиламин солянокислый по ГОСТ 5456, раствор с массовой долей 10%.
Железо карбонильное по ГОСТ 13610 или технической документации.
Кислота азотная по ГОСТ 4461.
Кислота соляная по ГОСТ 3118 и разбавленная 1:1.
Кислота уксусная по ГОСТ 61 и разбавленная 1:1.
Натрий углекислый по ГОСТ 83.
Натрий тетраборнокислый 10-водный по ГОСТ 4199.
Безводный тетраборнокислый натрий: натрий тетраборнокислый 10-водный по ГОСТ 4199, обезвоженный при температуре (400±20)°С.
Смесь для сплавления: углекислый натрий и натрий тетраборнокислый в соотношении 2:1.
о-фенантролин по технической документации, раствор с массовой долей 1%: 1 г о-фенантролина растворяют в 100 см3 уксусной кислоты (1:1).
Стекло органическое часовое по ГОСТ 14183.
Бумага индикаторная универсальная по технической документации.
А.3 Приготовление растворов
Буферный раствор с рН 6: 140 см3 уксусной кислоты разбавляют в 1700 см3 дистиллированной воды и при постоянном перемешивании приливают 140 см3 водного аммиака. Затем раствор охлаждают, добавляют водный аммиак или уксусную кислоту, рН раствора 6 (по универсальной индикаторной бумаге).
Стандартный раствор с массовой концентрацией оксида железа (III) 0, 001 г/см3 (раствор А): 0, 6994 г карбонильного железа помещают в коническую колбу, приливают 100 см3 соляной кислоты (1:1) и, накрыв колбу часовым стеклом, нагревают до полного растворения. Затем добавляют по каплям азотную кислоту до прекращения вспенивания, нагревают до удаления оксидов азота, раствор охлаждают, переносят в мерную колбу вместимостью 1000 см3, доводят дистиллированной водой до метки и перемешивают.
Стандартный раствор с массовой концентрацией оксида железа (III) 0, 0001 г/см3 (раствор Б): 10 см3 стандартного раствора А переносят пипеткой в мерную колбу вместимостью 100 см3, доводят дистиллированной водой до метки и перемешивают. Раствор готовят перед использованием.
Стандартный растворе массовой концентрацией оксида железа (III) 0, 00001 г/см3 (раствор В): 10 см3 стандартного раствора Б переносят пипеткой в мерную колбу вместимостью 100 см3, доводят до метки дистиллированной водой и перемешивают. Раствор готовят перед использованием.
А.4 Проведение анализа
Аналитическую пробу массой 0, 5 г смешивают в платиновом тигле с 5, 0 г смеси для сплавления и сплавляют в муфельной печи при температуре 950°С в течение (10 - 15) мин. В стакан наливают 60 см3 нагретой до (60 - 70)°С соляной кислоты (1:1), в него помещают остывший тигель со сплавом и нагревают до полного растворения сплава.
Раствор охлаждают, переносят в мерную колбу вместимостью 250 см3, доводят до метки дистиллированной водой и перемешивают.
Аликвотную часть раствора объемом 25 см3 наливают в мерную колбу вместимостью 100 см3, добавляют 2 см3 раствора солянокислого гидроксиламина и перемешивают, через 10 мин приливают 5 см3 раствора о-фенантролина, рН раствора (3, 5 - 4) (по универсальной индикаторной бумаге). Через 15 мин раствор доводят до метки дистиллированной водой и перемешивают.
Оптическую плотность раствора измеряют на спектрофотометре или фотоколориметре с зеленым светофильтром (область светопропускания (480 - 580) нм) и в кювете толщиной поглощающего слоя 30 мм.
Раствором сравнения служит раствор контрольного опыта, содержащий все применяемые реактивы. Массу оксида железа (III) в граммах определяют по градуировочному графику.
А.5 Построение градуировочного графика
Для построения градуировочного графика в мерные колбы вместимостью 100 см3 отмеряют аликвотные части стандартного раствора В: 1, 0; 2, 0; 5, 0; 10, 0; 20, 0 и 25, 0 см3, что соответствует 0, 00001; 0, 00002; 0, 00005; 0, 00010; 0, 00020 и 0, 00025 г оксида железа (III) и далее проводят измерения по А.4. Градуировочный график строят по вычисленным значениям оптической плотности и соответствующим им массам оксида железа (III).
А.6 Обработка результатов
Массовую долю оксида железа (III) WFe₂O₃, %, вычисляют по формуле
,
(A.1)
где m - масса оксида железа (III), найденная по градуировочному графику, г;
V - общий объем исходного раствора, см3;
m1 - масса аналитической пробы, г;
V1 - объем аликвотной части раствора, см3.
Нормы точности и нормативы контроля точности определений массовой доли оксида железа (III) приведены в таблице А.1.
Таблица А.1
|
В процентах | ||||
|
Массовая доля оксида железа (III) |
Нормы точности и нормативы контроля точности | |||
|
U(w) |
Rл |
r |
Кт | |
|
От 0, 04 до 0, 05 включ. |
0, 011 |
0, 014 |
0, 012 |
0, 007 |
|
Св. 0, 05 до 0, 10 включ. |
0, 016 |
0, 020 |
0, 017 |
0, 010 |
|
Св. 0, 1 до 0, 2 включ. |
0, 02 |
0, 03 |
0, 02 |
0, 01 |
|
Св. 0, 2 до 0, 4 включ. |
0, 03 |
0, 04 |
0, 03 |
0, 02 |


