ГОСТ 2642.4-2016 ОГНЕУПОРЫ И ОГНЕУПОРНОЕ СЫРЬЕ. МЕТОДЫ ОПРЕДЕЛЕНИЯ ОКСИДА АЛЮМИНИЯ
Refractories and refractory raw materials. Methods for determination of aluminium oxide
Дата введения - 1 января 2017 г.
Взамен ГОСТ 2642.4-97
Предисловие
Цели, основные принципы и основной порядок проведения работ по межгосударственной стандартизации установлены ГОСТ 1.0-92 "Межгосударственная система стандартизации. Основные положения" и ГОСТ 1.2-2009 "Межгосударственная система стандартизации. Стандарты межгосударственные, правила и рекомендации по межгосударственной стандартизации. Правила разработки, принятия, применения, обновления и отмены"
Сведения о стандарте
1 Разработан Обществом с ограниченной ответственностью "Научно-технический центр "Огнеупоры" (ООО "НТЦ "Огнеупоры")
2 Внесен Федеральным агентством по техническому регулированию и метрологии (Росстандарт)
3 Принят Межгосударственным советом по стандартизации, метрологии и сертификации (протоколом от 29 февраля 2016 г. N 85-П)
За принятие проголосовали:
|
Краткое наименование страны по МК (ISO 3166) 004-97 |
Код страны по МК (ISO 3166) 004-97 |
Сокращенное наименование национального органа по стандартизации |
|
Армения |
AM |
Минэкономики Республики Армения |
|
Беларусь |
BY |
Госстандарт Республики Беларусь |
|
Казахстан |
KZ |
Госстандарт Республики Казахстан |
|
Киргизия |
KG |
Кыргызстандарт |
|
Россия |
RU |
Росстандарт |
|
Узбекистан |
UZ |
Узстандарт |
4 Приказом Федерального агентства по техническому регулированию и метрологии от 10 июня 2016 г. N 607-ст межгосударственный стандарт ГОСТ 2642.4-2016 введен в действие в качестве национального стандарта Российской Федерации с 1 января 2017 г.
5 Взамен ГОСТ 2642.4-97
Настоящий стандарт распространяется на огнеупорное сырье, кремнеземистые, алюмосиликатные, глиноземистые, глиноземоизвестковые, высокомагнезиальные, магнезиально-известковые, известковые, магнезиально-шпинелидные, магнезиально-силикатные огнеупоры и устанавливает методы количественного определения оксида алюминия:
- комплексонометрический метод определения оксида алюминия без отделения оксида кремния (IV) (при массовой доле от 15 до 99%);
- комплексонометрический метод определения оксида алюминия (при массовой доле от 0, 5 до 70%);
- ускоренный комплексонометрический метод определения оксида алюминия в огнеупорных глинах, каолинах, глиноземистых и алюмосиликатных огнеупорных материалах и изделиях (при массовой доле от 15 до 99%);
- фотометрический метод определения оксида алюминия в высокомагнезиальных и магнезиально-известковых материалах и изделиях (при массовой доле от 0, 05 до 1%).
В настоящем стандарте использованы нормативные ссылки на следующие межгосударственные стандарты:
ГОСТ 12.4.253-2013 (EN 166:2002) Система стандартов безопасности труда. Средства индивидуальной защиты глаз. Общие технические условия
ГОСТ 61-75 Реактивы. Кислота уксусная. Технические условия
ГОСТ OIML R 76-1-2011 Государственная система обеспечения единства измерений. Весы неавтоматического действия. Часть 1. Метрологические и технические требования. Испытания
ГОСТ 83-79 Реактивы. Натрий углекислый. Технические условия
ГОСТ 177-88 Водорода перекись. Технические условия
ГОСТ 199-78 Реактивы. Натрий уксуснокислый 3-водный. Технические условия
ГОСТ 1277-75 Реактивы. Серебро азотнокислое. Технические условия
ГОСТ 1381-73 Уротропин технический. Технические условия
ГОСТ 1770-74 (ИСО 1042-83, ИСО 4788-80) Посуда мерная лабораторная стеклянная. Цилиндры, мензурки, колбы, пробирки. Общие технические условия
ГОСТ 2642.0-2014 Огнеупоры и огнеупорное сырье. Общие требования к методам анализа
ГОСТ 2642.3-2014 Огнеупоры и огнеупорное сырье. Методы определения оксида кремния (IV)
ГОСТ 2642.5-2016 Огнеупоры и огнеупорное сырье. Методы определения оксида железа (III)
ГОСТ 2642.6-97 Огнеупоры и огнеупорное сырье. Методы определения оксида титана (IV)
ГОСТ 3117-78 Реактивы. Аммоний уксуснокислый. Технические условия
ГОСТ 3118-77 Реактивы. Кислота соляная. Технические условия
ГОСТ 3759-75 Реактивы. Алюминий хлористый 6-водный. Технические условия
ГОСТ 3760-79 Реактивы. Аммиак водный. Технические условия
ГОСТ 3769-78 Реактивы. Аммоний сернокислый. Технические условия
ГОСТ 3773-72 Реактивы. Аммоний хлористый. Технические условия
ГОСТ 4147-74 Реактивы. Железа (III) хлорид 6-водный. Технические условия
ГОСТ 4165-78 Реактивы. Медь (II) сернокислая 5-водная. Технические условия
ГОСТ 4199-76 Реактивы. Натрий тетраборнокислый 10-водный. Технические условия
ГОСТ 4204-77 Реактивы. Кислота серная. Технические условия
ГОСТ 4221-76 Реактивы. Калий углекислый. Технические условия
ГОСТ 4234-77 Реактивы. Калий хлористый. Технические условия
ГОСТ 4236-77 Реактивы. Свинец (II) азотнокислый. Технические условия
ГОСТ 4328-77 Реактивы. Натрия гидроокись. Технические условия
ГОСТ 4461-77 Реактивы. Кислота азотная. Технические условия
ГОСТ 4478-78 Реактивы. Кислота сульфосалициловая 2-водная. Технические условия
ГОСТ 6563-75 Изделия технические из благородных металлов и сплавов. Технические условия
ГОСТ 6709-72 Вода дистиллированная. Технические условия
ГОСТ 7172-76 Реактивы. Калий пиросернокислый
ГОСТ 9147-80 Посуда и оборудование лабораторные фарфоровые. Технические условия
ГОСТ 10484-78 Реактивы. Кислота фтористоводородная. Технические условия
ГОСТ 10652-73 Реактивы. Соль динатриевая этилендиамин-N, N, N', N'-тетрауксусной кислоты 2-водная (трилон Б). Технические условия
ГОСТ 11069-2001 Алюминий первичный. Марки
ГОСТ 14183-78 Стекло органическое часовое. Технические условия
ГОСТ ИСО/МЭК 17025-2009 Общие требования к компетентности испытательных и калибровочных лабораторий
ГОСТ 18300-87 Спирт этиловый ректификованный технический. Технические условия*
ГОСТ 20478-75 Реактивы. Аммоний надсернокислый. Технические условия
ГОСТ 22867-77 Реактивы. Аммоний азотнокислый. Технические условия
ГОСТ 24104-2001 Весы лабораторные. Общие технические требования**
ГОСТ 24523.2-80 Периклаз электротехнический. Метод определения окиси алюминия
ГОСТ 25336-82 Посуда и оборудование лабораторные стеклянные. Типы, основные параметры и размеры
Примечание - При пользовании настоящим стандартом целесообразно проверить действие ссылочных стандартов в информационной системе общего пользования - на официальном сайте Федерального агентства по техническому регулированию и метрологии в сети Интернет или по ежегодному информационному указателю "Национальные стандарты", который опубликован по состоянию на 1 января текущего года, и по выпускам ежемесячного информационного указателя "Национальные стандарты" за текущий год. Если ссылочный стандарт заменен (изменен), то при пользовании настоящим стандартом, следует руководствоваться заменяющим (измененным) стандартом. Если ссылочный стандарт отменен без замены, то положение, в котором дана ссылка на него, применяется в части, не затрагивающей эту ссылку.
Общие требования к методам анализа - в соответствии с ГОСТ 2642.0.
Требования безопасности - по ГОСТ 2642.0 с дополнением по 4.1.
4.1 При проведении испытания должны применяться индивидуальные средства защиты глаз по ГОСТ 12.4.253.
5.1 Сущность метода
Метод основан на разложении алюмосиликатных и глиноземистых огнеупоров сплавлением со смесью, состоящей из равных по массе частей углекислого натрия, углекислого калия, тетраборнокислого натрия, с последующим переведением алюминия в алюминат и комплексонометрическом титровании его в среде ацетатного буферного раствора при рН (4, 8 - 5, 0) с использованием раствора сернокислой меди в качестве второго титранта и индикатора 1-(2-пиридил-азо)-2-нафтола (ПАН).
5.2 Аппаратура, реактивы, растворы и вспомогательные устройства
Печь муфельная с терморегулятором, обеспечивающая поддержание температуры нагрева (1000 - 1050)°С с пределами допустимого отклонения ±50°С.
Электроплитка по технической документации.
Весы по ГОСТ 24104, класс точности II или по ГОСТ OIML R 76-1.
Тигли и чашки платиновые N 100-7 по ГОСТ 6563.
Тигли серебряные N 102-8 по ГОСТ 6563.
Стекло органическое часовое по ГОСТ 14183.
Фильтр беззольный "красная лента" (складчатый) диаметром 11 см по технической документации.
Посуда мерная лабораторная стеклянная по ГОСТ 1770.
Посуда лабораторная стеклянная по ГОСТ 25336.
Вода дистиллированная по ГОСТ 6709.
Натрий углекислый по ГОСТ 83.
Кислота соляная по ГОСТ 3118 и разбавленная 1:1, 1:2 и 1:3.
Аммиак водный по ГОСТ 3760, разбавленный 1:1.
Калий углекислый по ГОСТ 4221.
Кислота серная по ГОСТ 4204.
Спирт этиловый ректификованный технический по ГОСТ 18300.
Натрий уксуснокислый 3-водный по ГОСТ 199.
Алюминий хлористый 6-водный по ГОСТ 3759, ч.д.а. или ч.
Алюминий марки А995 по ГОСТ 11069, стружка.
Алюминий хлористый безводный, ос.ч. по технической документации.
Аммоний хлористый по ГОСТ 3773.
Калий хлористый по ГОСТ 4234.
Цинк гранулированный по технической документации.
Серебро азотнокислое по ГОСТ 1277, раствор с массовой долей 1%.
Свинец II азотнокислый по ГОСТ 4236.
Натрий тетраборнокислый 10-водный по ГОСТ 4199.
Безводный тетраборнокислый натрий, изготовленный из натрия тетраборнокислого 10-водного, обезвоженного при температуре (400±20)°С.
Натрия гидроксид по ГОСТ 4328, х.ч., и раствор с массовой долей 30% (условия хранения - полиэтиленовая емкость).
Соль динатриевая этилендиамин-N, N, N', N'-тетрауксусной кислоты 2-водная (трилон Б) по ГОСТ 10652, раствор молярной концентрации 0, 025 или 0, 05 моль/дм3.
Кислота уксусная по ГОСТ 61, раствор молярной концентрации 2 моль/дм3.
Ацетатный буферный раствор с рН (4, 8 - 5, 0): 1 дм3 раствора уксусной кислоты молярной концентрации 2 моль/дм3 смешивают с 1 дм3 раствора, содержащего 540 г 3-водного уксуснокислого натрия.
Аммоний азотнокислый по ГОСТ 22867, раствор с массовой долей 2%, к которому добавляют несколько капель аммиака до изменения цвета по индикатору метиловому красному.
Смесь для сплавления: углекислый натрий, безводный тетраборнокислый натрий и углекислый калий в соотношении 1:1:1 (тройная смесь).
Смесь для сплавления: углекислый натрий и безводный тетраборнокислый натрий в соотношении 2:1 (рекомендуется для разложения проб с массовой долей оксида алюминия не более 70% наряду с тройной смесью).
Медь (II) сернокислая 5-водная (сульфат меди) по ГОСТ 4165, раствор молярной концентрации 0, 05 моль/дм3: 12, 5 г сульфата меди растворяют в дистиллированной воде, приливают 2 см3 серной кислоты, доводят объем раствора дистиллированной водой до 1000 см3 и перемешивают.
Медь (II) сернокислая 5-водная (сульфат меди) по ГОСТ 4165, раствор молярной концентрации 0, 025 моль/дм3: 6, 25 г сульфата меди растворяют в дистиллированной воде, приливают 2 см3 серной кислоты, доводят объем раствора дистиллированной водой до 1000 см3 и перемешивают.
Индикатор ксиленоловый оранжевый по технической документации: 0, 2 г индикатора растирают с 20 г хлористого калия (условия хранения - емкость из темного стекла).
Индикатор 1-(2-пиридил-азо)-2-нафтол (ПАН) по технической документации, спиртовой раствор с массовой долей 0, 2%.
Индикаторная бумага Конго по технической документации.
Индикатор метиловый красный по технической документации, спиртовой раствор с массовой долей 0, 1%.
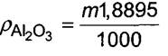
5.2.1 Приготовление стандартных растворов
Стандартный раствор оксида алюминия: (0, 625 - 0, 660) г металлического алюминия растворяют в 150 см3 соляной кислоты (1:1), переносят в мерную колбу вместимостью 1000 см3, доводят до метки дистиллированной водой и перемешивают. Массовую концентрацию стандартного раствора оксида алюминия ρAl₂O₃, г/см3, вычисляют по формуле:
,
(1)
где m - масса металлического алюминия, г;
1, 8895 - коэффициент пересчета алюминия на оксид алюминия;
1000 - объем раствора, см3.
Допускается использовать для приготовления этого стандартного раствора соли алюминия квалификации ч.д.а. или ч.
Стандартный раствор оксида алюминия с массовой концентрацией оксида алюминия примерно 0, 0012 г/см3: (5, 7 - 6, 0) г хлористого алюминия растворяют в 100 см3 соляной кислоты (1:3) в стакане вместимостью 200 см3. Раствор переносят в мерную колбу вместимостью 1000 см3, доливают до метки дистиллированной водой и перемешивают.
Точную массовую концентрацию раствора оксида алюминия устанавливают гравиметрическим методом: в стакан вместимостью (250 - 300) см3 отбирают 50 см3 стандартного раствора, добавляют (20 - 25) см3 дистиллированной воды, 2, 0 г хлористого аммония, нагревают до кипения и осаждают гидроксид алюминия раствором аммиака, добавляя его до слабого запаха. Раствор с осадком нагревают до кипения, дают осадку осесть и отфильтровывают на фильтре "красная лента" диаметром 11 см (складчатый). Осадок промывают горячим раствором азотнокислого аммония до отрицательной реакции на ион хлора [реакция в 3 см3 фильтрата с (2 - 3) каплями раствора азотнокислого серебра].
Фильтр с осадком помещают во взвешенный платиновый тигель, подсушивают, озоляют и прокаливают до постоянной массы в муфельной печи при температуре 1100°С.
Массовую концентрацию стандартного раствора оксида алюминия ρAl₂O₃, см3, вычисляют по формуле:
,
(2)
где m - масса осадка оксида алюминия, г;
50 - объем стандартного раствора оксида алюминия, взятый для анализа, см3.
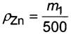
Стандартный раствор цинка: (0, 75 - 0, 90) г цинка растворяют в 50 см3 раствора соляной кислоты (1:3), переносят в мерную колбу вместимостью 500 см3, доводят объем раствора до метки дистиллированной водой и перемешивают.
Массовую концентрацию стандартного раствора цинка ρZn, г/ см3, вычисляют по формуле:
,
(3)
где m1 - масса цинка, г;
500 - объем раствора, см3.
5.2.2 Для установления массовой концентрации раствора трилона Б по оксиду алюминия в коническую колбу вместимостью 300 см3 переносят 10 см3 стандартного раствора оксида алюминия, приливают (2 - 3) см3 соляной кислоты, (70 - 100) см3 дистиллированной воды и 25 см3 раствора трилона Б. Содержимое колбы нагревают до кипения. Остывший до (70 - 80)°С раствор нейтрализуют раствором аммиака до изменения цвета индикаторной бумаги Конго, приливают (15 - 20) см3 ацетатного буферного раствора, 5 - 7 капель раствора индикатора ПАН и оттитровывают избыток раствора трилона Б раствором сернокислой меди до перехода окраски раствора из желто-зеленой в сине-фиолетовую. Проводят три параллельных титрования и вычисляют среднеарифметическое значение результатов.
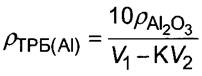
Массовую концентрацию раствора трилона Б по оксиду алюминия ρТРБ (Al), г/см3, вычисляют по формуле:
,
(4)
где 10 - объем стандартного раствора оксида алюминия, взятый для титрования, см3;
ρAl₂O₃ - массовая концентрация стандартного раствора оксида алюминия, г/см3;
V - объем прилитого раствора трилона Б, см3;
K - соотношение объемов раствора трилона Б и сернокислой меди;
V1 - объем раствора сернокислой меди, израсходованный на титрование, см3.
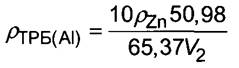
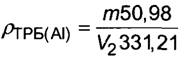
5.2.2.1 Допускается массовую концентрацию раствора трилона Б по оксиду алюминия устанавливать по азотнокислому свинцу.
В коническую колбу вместимостью 300 см3 помещают аналитическую пробу массой (0, 2 - 0, 3) г азотнокислого свинца, добавляют 100 см3 дистиллированной воды, нагретой до температуры (50 - 60)°С, 10 см3 ацетатного буферного раствора, 0, 2 г индикаторной смеси ксиленолового оранжевого и титруют раствором трилона Б до перехода окраски из малиновой в желтую. Проводят не менее трех титрований. Массовую концентрацию раствора трилона Б по оксиду алюминия ρТРБ (AL), г/см3, вычисляют по формуле:
,
(5)
где m - масса аналитической пробы свинца азотнокислого, г;
50, 98 - молекулярная масса оксида алюминия, деленная на 2, г;
V2 - объем раствора трилона Б, израсходованный на титрование, см3;
331, 21 - молекулярная масса азотнокислого свинца, г.
5.2.2.2 Допускается массовую концентрацию раствора трилона Б по оксиду алюминия устанавливать по стандартному раствору цинка. Для этого в коническую колбу вместимостью 300 см3 отбирают пипеткой 10 см3 раствора цинка, разбавляют дистиллированной водой до 100 см3, нагревают до кипения, прибавляют 10 см3 ацетатного буферного раствора, (0, 15 - 0, 20) г индикатора ксиленолового оранжевого и титруют раствором трилона Б до перехода окраски раствора из малиновой в желтую.
Массовую концентрацию раствора трилона Б по оксиду алюминия ρТРБ (Al), г/см3, вычисляют по формуле
,
(6)
где 10 - объем стандартного раствора цинка, взятый для титрования, см3;
ρZn - массовая концентрация стандартного раствора цинка, г/см3;
50, 98 - молекулярная масса оксида алюминия, деленная на 2, г;
65, 37 - молекулярная масса цинка, г;
V2 - объем раствора трилона Б, израсходованный на титрование, см3.
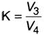
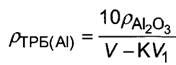
5.2.3 Устанавливают соотношение K объемов раствора трилона Б и сернокислой меди: 10 см3 раствора трилона Б помещают в коническую колбу вместимостью 300 см3, приливают примерно 100 см3 дистиллированной воды, нагревают до кипения, приливают (15 - 20) см3 ацетатного буферного раствора, (5 - 7) капель индикатора ПАН и титруют раствором сернокислой меди до перехода окраски раствора из желто-зеленой в сине-фиолетовую. Для определения соотношения между объемами растворов проводят не менее трех титрований и вычисляют среднеарифметическое значение результатов.
Соотношение K объемов раствора трилона Б и сернокислой меди вычисляют по формуле:
,
(7)
где V - объем раствора трилона Б, взятый для установления соотношения, см3;
V1 - объем раствора сернокислой меди, израсходованный на титрование, см3.
5.3 Проведение анализа
5.3.1 Аналитическую пробу массой (0, 10 - 0, 25) г смешивают в платиновом тигле с (3 - 5) г смеси для сплавления и сплавляют в муфельной печи при температуре 1000°С не менее 10 мин. Тигель со сплавом охлаждают и помещают в стакан вместимостью (250 - 300) см3, добавляют 60 см3 раствора соляной кислоты (1:3) и нагревают до полного растворения сплава.
Обмывают тигель небольшим количеством дистиллированной воды, охлаждают раствор до (40 - 50)°С, вводят раствор гидроксида натрия до красного цвета бумаги Конго и дополнительно приливают 30 см3 раствора гидроксида натрия в избыток.
Раствор с осадком кипятят (3 - 5) мин., быстро охлаждают, переносят в мерную колбу вместимостью (200 - 250) см3, доводят до метки дистиллированной водой, перемешивают и отфильтровывают на фильтре "красная лента" (складчатом). Две первые порции фильтрата отбрасывают.
Аликвотную часть раствора 100 см3 при массовой доле оксида алюминия не более 55% и 50 см3 при массовой доле оксида алюминия более 55% переносят в коническую колбу вместимостью (250 - 300) см3, нейтрализуют соляной кислотой до синего цвета бумаги Конго и добавляют (2 - 3) см3 соляной кислоты в избыток. Раствор кипятят (2 - 3) мин. Приливают (15 - 50) см3 раствора трилона Б (в зависимости от массовой доли оксида алюминия), нагревают до кипения, дают остыть до (70 - 80)°С, нейтрализуют раствором аммиака до изменения цвета бумаги Конго, приливают (15 - 20) см3 ацетатного буферного раствора, (5 - 7) капель раствора индикатора ПАН и титруют избыточное количество трилона Б раствором сернокислой меди до перехода окраски раствора из желто-зеленой в сине-фиолетовую.
При использовании аналитической пробы массой 0, 10 г и аликвотной части раствора 50 см3, а также для анализа материалов с массовой долей оксида алюминия менее 35% применяют раствор сернокислой меди молярной концентрации 0, 025 моль/дм3.
При определении в глинах, каолинах, полукислых, шамотных и муллитокремнеземистых огнеупорах массовой доли оксида железа (III) и оксида титана (IV) аналитическую пробу массой 0, 5 г сплавляют и растворяют сплав, как указано выше. Полученный прозрачный раствор переносят в мерную колбу вместимостью 250 см3, доводят дистиллированной водой до метки, перемешивают (раствор 1). Для определения массовой доли оксида алюминия отбирают аликвотную часть раствора, равную 100 см3, в стакан и проводят определение по описанной выше методике, начиная с нейтрализации гидроксидом натрия. Оставшийся раствор 1 используют для определения оксида железа (III) и оксида титана (IV).
Для подготовки раствора глин, каолинов, полукислых и шамотных изделий допускается использование серебряных тиглей и обезвоженного гидроксида натрия в качестве плавня.
В тигле плавят (4 - 5) г гидроксида натрия при температуре (420±20)°С до прекращения выделения пузырьков (спокойная поверхность расплавленной щелочи означает полное ее обезвоживание). На остывшую поверхность щелочи в тигель помещают аналитическую пробу массой 0, 5 г, присыпают (0, 5 - 1, 0) г гидроксида натрия, закрывают тигель крышкой и сплавляют при температуре (650±20)°С в течение (20 - 30) мин.
В стакан из термостойкого стекла вместимостью 400 см3 помещают тигель, тщательно отмывают крышку горячей дистиллированной водой и выщелачивают сплав горячей дистиллированной водой. После полного растворения сплава тигель извлекают из раствора и обмывают его над стаканом (2 - 3) раза дистиллированной водой.
Раствор с осадком в стакане накрывают часовым стеклом, кипятят (3 - 5) мин., быстро охлаждают, переносят в мерную колбу вместимостью 250 см3. Дальше определение проводят по описанной выше методике. Допускается для определения оксида алюминия использовать раствор 1 по ГОСТ 2642.3 (раздел 5).
5.4 Обработка результатов
5.4.1 Массовую долю оксида алюминия WAl₂O₃, %, вычисляют по формуле:
,
(8)
где V - объем прилитого раствора трилона Б, см3;
V1 - объем раствора сернокислой меди, израсходованный на титрование избытка раствора трилона Б, см3;
K - соотношение объемов раствора трилона Б и сернокислой меди;
250 - объем исходного раствора, см3;
ρТРБ (Al) - массовая концентрация раствора трилона Б по оксиду алюминия, г/см3;
m - масса аналитической пробы, г;
V2 - объем аликвотной части раствора, израсходованный на титрование, см3.
5.4.2 Нормы точности и нормативы контроля точности определения массовой доли оксида алюминия приведены в разделе 9.
6.1 Сущность метода
Метод основан на комплексонометрическом определении оксида алюминия после предварительного отделения оксида кремния (IV) в кварцитах, кремнеземистых огнеупорных материалах и изделиях, оксидов кальция и магния в высокомагнезиальных, глиноземистоизвестковых, магнезиально-известковых, магнезиально-шпинелидных, магнезиально-силикатных, оксида хрома в магнезиально-шпинелидных огнеупорах.
6.2 Аппаратура, реактивы, растворы и вспомогательные устройства
Печь муфельная с терморегулятором, обеспечивающая поддержание температуры (950 - 1000)°С с пределами допускаемого отклонения ±50°С.
Электроплитка по технической документации.
Тигли платиновые N 100-7 и N 100-10 по ГОСТ 6563.
Весы по ГОСТ 24104, класс точности II или по ГОСТ OIML R 76-1.
Посуда мерная лабораторная стеклянная по ГОСТ 1770.
Посуда лабораторная стеклянная по ГОСТ 25336.
Пипетки или дозаторы по технической документации.
Фильтр беззольный "красная лента" (складчатый) диаметром 11 см по технической документации.
Стеклянная палочка по технической документации.
Щипцы по технической документации.
Кислота фтористоводородная по ГОСТ 10484.
Кислота хлорная по технической документации.
Кислота азотная по ГОСТ 4461.
Аммоний хлористый по ГОСТ 3773, раствор с массовой долей 25%.
Калий пиросернокислый по ГОСТ 7172.
Натрий пиросернокислый по технической документации.
Аммоний сернокислый по ГОСТ 3769.
Кислота соляная по ГОСТ 3118, разбавленная 1:20.
Сульфосалициловая кислота по ГОСТ 4478, раствор с массовой долей 30%.
Аммоний надсернокислый по ГОСТ 20478, х.ч.
Гексаметилентетрамин (уротропин) по ГОСТ 1381 или по технической документации, раствор с массовой долей 35%.
Остальные реактивы и растворы - по 5.2.
Установление массовой концентрации раствора трилона Б по оксиду алюминия проводят по 5.2.2.
Установление соотношения между объемами раствора трилона Б и сернокислой меди проводят по 5.2.3.
Метиловый красный, водно-спиртовой раствор с массовой долей 0, 1%: 0, 1 г метилового красного растворяют в 60 см3 этилового спирта и разбавляют до 100 см3.
Серебро азотнокислое по ГОСТ 1277, раствор с массовой долей 0, 5%.
Аммоний надсернокислый по ГОСТ 20478, раствор с массовой долей 20%.
Железо хлорное по ГОСТ 4147, раствор молярной концентрации 0, 05 или 0, 025 моль/дм3: 13, 52 или 6, 76 г хлорного железа растворяют в 1000 см3 солянокислого раствора, приготовленного из расчета 1, 5 см3 соляной кислоты на 1 см3 дистиллированной воды.
6.2.1 Для установления массовой концентрации раствора трилона Б по оксиду алюминия в коническую колбу вместимостью 300 см3 помещают 10 см3 стандартного раствора оксида алюминия, приготовленного по 5.2.1, приливают (2 - 3) см3 соляной кислоты, примерно 100 см3 дистиллированной воды, 25 см3 раствора трилона Б. Раствор нагревают до кипения, дают немного остыть и нейтрализуют раствором аммиака до красного цвета индикаторной бумаги Конго, добавляют 10 см3 ацетатного буферного раствора, 1 см3 раствора сульфосалициловой кислоты, охлаждают до комнатной температуры и оттитровывают избыток раствора трилона Б раствором хлорного железа до появления желто-кирпичной окраски раствора. Проводят три параллельных титрования. За результат принимают среднеарифметическое значение при условии приемлемости всех трех результатов.
Массовую концентрацию раствора трилона Б по оксиду алюминия ρТРБ (Al), г/см3, вычисляют по формуле:
,
(9)
где 10 - объем стандартного раствора оксида алюминия, взятый по 5.2.1, см3;
ρAl₂O₃ - массовая концентрация стандартного раствора оксида алюминия, г/см3;
V1 - объем прилитого раствора трилона Б, см3;
K - соотношение объемов раствора трилона Б и хлорного железа;
V2 - объем раствора хлорного железа, израсходованного на титрование, см3.
6.2.2 Устанавливают соотношение K объемов раствора трилона Б и хлорного железа: 10 см3 раствора трилона Б помещают в коническую колбу вместимостью 300 см3, приливают примерно 100 см3 дистиллированной воды, 10 см3 ацетатного буферного раствора, 1 см3 раствора сульфосалициловой кислоты и титруют раствором хлорного железа до появления желто-кирпичной окраски раствора.
Проводят три параллельных титрования. За результат принимают среднеарифметическое значение при условии приемлемости всех трех результатов.
Соотношение K объемов раствора трилона Б и хлорного железа вычисляют по формуле:
,
(10)
где V3 - объем раствора трилона Б, см3;
V4 - объем раствора хлорного железа, см3.
6.3 Проведение анализа
6.3.1 Определение оксида алюминия в кварцитах и кремнеземистых огнеупорных материалах и изделиях
Аналитическую пробу массой 0, 5 г помещают в платиновый тигель, смачивают несколькими каплями дистиллированной воды, прибавляют 0, 5 см3 серной кислоты, 10 см3 фтористоводородной кислоты и выпаривают досуха на электроплитке при слабом нагреве и при периодическом встряхивании тигля с помощью щипцов. Сухой остаток нагревают в муфельной печи при температуре (600±20)°С до полного удаления паров серной кислоты. Осадок в тигле смешивают с (3, 0 - 5, 0) г пиросернокислого калия или пиросернокислого натрия и сплавляют в муфельной печи до получения прозрачного расплава. Сплав помещают в стакан, растворяют горячей дистиллированной водой с добавлением 20 см3 раствора соляной кислоты (1:3) (раствор 1).
Допускается сухой остаток сплавлять со смесью для сплавления, состоящий из углекислого натрия, безводного тетраборнокислого натрия и углекислого калия в соотношении 1:1:1, и растворять в 60 см3 соляной кислоты (1:3).
Полученный прозрачный раствор охлаждают до (40 - 50)°С, нейтрализуют раствором гидроксида натрия до красного цвета бумаги Конго и добавляют (15 - 20) см3 раствора гидроксида натрия в избыток. Раствор с осадком кипятят (3 - 5) мин., охлаждают, переносят в мерную колбу вместимостью 250 см3, доводят дистиллированной водой до метки, перемешивают и фильтруют через фильтр "красная лента" (складчатый), отбрасывая первые две порции фильтрата. Затем отбирают аликвотную часть раствора 100 см3, помещают в коническую колбу вместимостью 300 см3, нейтрализуют соляной кислотой до синего цвета бумаги Конго и вводят (3 - 5) см3 соляной кислоты в избыток.
В полученный кислый раствор в зависимости от массовой доли оксида алюминия приливают от 15 до 50 см3 раствора трилона Б молярной концентрации 0, 025 моль/дм3 и далее определения проводят по 5.3.
В случае необходимости определения массовой доли оксида железа (III) допускается последовательное определение оксида железа (III) и оксида алюминия. При массовой доле оксида алюминия не более 5% раствор 1 переносят в коническую колбу вместимостью 300 см3, при массовой доле оксида алюминия 5% и более раствор 1 переносят в мерную колбу вместимостью 250 см3, доводят до метки дистиллированной водой и перемешивают. Аликвотную часть полученного раствора объемом 100 см3 переносят в коническую колбу вместимостью 300 см3.
Определение оксида железа (III) проводят по ГОСТ 2642.5 (раздел 8).
В раствор после титрования железа (III) прибавляют от 15 до 40 см3 раствора трилона Б, нагревают до (70 - 80)°С, нейтрализуют раствором аммиака до изменения цвета бумаги Конго, приливают (10 - 15) см3 ацетатного буферного раствора, добавляют (5 - 7) капель индикатора ПАН и оттитровывают избыток трилона Б раствором сернокислой меди до перехода окраски раствора из желтой в сине-фиолетовую.
Массовую долю оксида алюминия WAl₂O₃, %, вычисляют по формуле:
,
(11)
где V - объем прилитого раствора трилона Б, см3;
K - соотношение объемов раствора трилона Б и сернокислой меди;
V1 - объем раствора сернокислой меди, израсходованный на титрование, см3;
ρТРБ (Al) - массовая концентрация раствора трилона Б по оксиду алюминия, г/см3;
m - масса аналитической пробы, г.
Допускается использовать раствор 1 или 3, подготовленный по ГОСТ 2642.3 (разделы 5, 8).
6.3.2 Определение оксида алюминия в высокомагнезиальных и магнезиально-известковых огнеупорных материалах и изделиях
Аналитическую пробу массой (0, 2 - 0, 5) г помещают в платиновый тигель, смешивают с (5, 0 - 6, 0) г смеси для сплавления и сплавляют в муфельной печи при температуре 1000°С в течение (15 - 20) мин. В мерный стакан наливают 60 см3 соляной кислоты (1:3), нагретой до кипения, помещают в него остывший тигель со сплавом и проводят дальнейшее растворение при нагревании на электроплитке (раствор 2).
Допускается готовить анализируемый раствор растворением аналитической пробы массой 0, 5 г в 30 см3 соляной кислоты (1:3) с добавлением (5 - 6) капель азотной кислоты. Растворение ведут при нагревании до полного растворения аналитической пробы. В мерный стакан добавляют (50 - 70) см3 горячей дистиллированной воды и доводят до кипения (раствор 3).
В полученный раствор 2 или 3 приливают 15 см3 раствора хлористого аммония и осаждают полуторные оксиды и кремневую кислоту раствором аммиака или уротропина. Отфильтровывают осадок на фильтр "красная лента" (складчатый), промывают его не менее 7 раз горячим раствором азотнокислого аммония. Фильтрат собирают в мерную колбу вместимостью 500 см3 (раствор 4) и применяют для определения оксидов кальция и магния.
Промытый осадок вместе с фильтром помещают в мерный стакан, где велось осаждение, и растворяют в (20 - 30) см3 соляной кислоты (1:20). Раствор разбавляют дистиллированной водой до 100 см3 и нагревают до кипения.
Допускается осадок полуторных оксидов озолить и сплавить со смесью для сплавления с последующим растворением расплава в 60 см3 соляной кислоты (1:3).
Полученные растворы используют для последовательного определения оксида алюминия по 6.3.1 и оксида железа (III) по ГОСТ 2642.5 (раздел 8). Допускается в качестве обратного титранта использовать хлорное железо. Для этого в раствор после титрования железа (III) приливают точно отмеренный объем трилона Б в количестве от 15 до 40 см3, нагревают, нейтрализуют раствором аммиака до появления красного цвета бумаги Конго, добавляют 10 см3 ацетатного буферного раствора, охлаждают до комнатной температуры и титруют избыточный трилон Б раствором хлорного железа до появления желто-кирпичной окраски раствора.
Массовую долю оксида алюминия WAl₂O₃, %, вычисляют по формуле:
,
(12)
где V2 - объем прилитого раствора трилона Б, см3;
K - соотношение объемов раствора трилона Б и хлорного железа;
V3 - объем раствора хлорного железа, израсходованный на титрование, см3;
ρТРБ (Al) - массовая концентрация раствора трилона Б по оксиду алюминия, г/см3;
m - масса аналитической пробы, г.
При анализе магнезиальных огнеупоров с добавкой глинозема используют исходный раствор 2, а далее ведут последовательное определение оксида железа (III) и оксида алюминия без отделения полуторных оксидов, как описано выше.
Допускается проводить совместное определение титрованием оксидов алюминия, железа (III) и титана (IV) в высокомагнезиальных и магнезиально-известковых огнеупорных материалах и изделиях. Обработка результатов - по 7.4.
6.3.3 Определение оксида алюминия в магнезиально-шпинелидных и глиноземоизвестковых огнеупорных материалах и изделиях
Аналитическую пробу массой (0, 20 - 0, 25) г помещают в платиновый тигель, смешивают с (5 - 6) г смеси для сплавления и сплавляют в муфельной печи при температуре 1000°С в течение (15 - 30) мин. В стакан наливают 60 см3 соляной кислоты (1:3), нагретой до кипения, помещают в него остывший тигель со сплавом и растворяют сплав при нагревании на электроплитке.
В полученный раствор прибавляют 15 см3 раствора хлористого аммония и осаждают полуторные оксиды и кремневую кислоту раствором аммиака или уротропина.
Отфильтровывают осадок на фильтр "красная лента" (складчатый), промывают его не менее 7 раз горячим раствором азотнокислого аммония. Осадок полуторных оксидов помещают в платиновый тигель, озоляют и сплавляют со смесью для сплавления. В стакан вместимостью (250 - 300) см3 наливают 60 см3 соляной кислоты (1:3), нагретой до кипения, помещают в него тигель со сплавом и проводят дальнейшее растворение при нагревании на электроплитке. Далее анализ проводят по 5.3, начиная с операции нейтрализации раствором гидроксида натрия.
6.3.4 Определение оксида алюминия в хромсодержащих огнеупорных материалах и изделиях
6.3.4.1 Анализ проводят методом разложения аналитической пробы в смеси кислот с последующим удалением хрома в виде хлористого хромила. Для этого аналитическую пробу массой (0, 2 - 0, 5) г растворяют в смеси 20 см3 хлорной и 10 см3 серной кислот при нагревании на электроплитке до полного растворения пробы.
При анализе необожженных огнеупорных материалов и изделий аналитическую пробу предварительно кипятят в 5 см3 азотной кислоты, после чего разлагают смесью хлорной и серной кислот, как описано выше. Затем для удаления хрома в виде хлористого хромила по каплям добавляют (5 - 6) капель соляной кислоты. После того как раствор снова пожелтеет, операцию повторяют.
Отгонку хрома проводят, обрабатывая раствор соляной кислотой до полного удаления хрома. Полученный раствор охлаждают, разбавляют дистиллированной водой до объема примерно 60 см3 и далее анализ проводят по 5.3, начиная с операции нейтрализации раствором гидроксида натрия.
Ввиду высокой токсичности соединений хрома (VI) работы, связанные с удалением хлористого хромила, проводят только в шкафах с вытяжной вентиляцией.
6.3.4.2 Допускается проведение анализа разложением пробы смесью для сплавления, растворением сплава в сернокислой среде и отделением оксидов железа (III) и алюминия от оксида хрома (III) осаждением раствором аммиака.
Для этого аналитическую пробу массой 0, 2 г смешивают с (5, 0 - 7, 0) г смеси для сплавления и сплавляют в муфельной печи при температуре (1000 - 1050)°С до полного разложения аналитической пробы. В стакан наливают 70 см3 серной кислоты (1:5), нагретой до (70 - 80)°С, помещают в него остывший тигель со сплавом и проводят дальнейшее растворение сплава на электроплитке при слабом нагреве.
В остывшем прозрачном растворе осаждают полуторные оксиды раствором аммиака до слабого запаха. Осадок отфильтровывают на фильтре "красная лента" (складчатом) и промывают не менее 7 раз горячим раствором азотнокислого аммония. Фильтр с осадком переносят в стакан, в котором проводилось осаждение, приливают (10 - 15) см3 раствора соляной кислоты и нагревают на электроплитке при слабом нагреве в течение (1 - 2) мин. Затем фильтр разбивают стеклянной палочкой и доводят объем раствора до 60 см3 горячей дистиллированной водой.
Полученный раствор нейтрализуют раствором гидроксида натрия до красного цвета бумаги Конго и приливают избыток 30 см3 раствора гидроксида натрия. Раствор с осадком кипятят (3 - 4) мин., осаждают, переносят в мерную колбу вместимостью 200 см3, доводят дистиллированной водой до метки и перемешивают. Далее анализ проводят по 5.3.
6.3.4.3 Допускается готовить анализируемый раствор сплавлением аналитической пробы с пиросульфатом калия: аналитическую пробу массой 0, 2 г сплавляют с (3, 0 - 4, 0) г пиросульфата калия в муфельной печи при температуре (800±20)°С в течение (20 - 30) мин. до полного сплавления аналитической пробы. Охлажденный сплав растворяют в небольшом количестве горячей дистиллированной воды и переносят в стакан вместимостью 300 см3, приливают 10 см3 серной кислоты и нагревают на электроплитке до появления паров серной кислоты. После охлаждения к раствору приливают (150 - 200) см3 дистиллированной воды, 10 см3 раствора серебра азотнокислого, 20 см3 аммония надсернокислого; раствор хорошо перемешивают и кипятят до полного окисления хрома (оранжево-желтая окраска). К раствору добавляют (4 - 5) капель соляной кислоты (1:1), выдерживают на электроплитке 10 мин. до разрушения окраски и коагуляции хлористого серебра, охлаждают и нейтрализуют раствором аммиака до слабого запаха. Раствор кипятят, дают осадку гидроксидов отстояться, фильтруют через фильтр "красная лента" (складчатый). Стакан и осадок на фильтре промывают не менее 8 раз горячим раствором азотнокислого или сернокислого аммония. Фильтр вместе с осадком помещают в стакан, в котором вели осаждение, и растворяют осадок при нагревании в (30 - 40) см3 соляной кислоты (1:20). Далее анализ проводят по 6.3.2.
6.3.5 Нормы точности и нормативы контроля точности определений массовой доли оксида алюминия приведены в разделе 9.
7.1 Сущность метода
Метод основан на определении оксида алюминия по разности после комплексонометрического титрования его в сумме с железом и титаном в среде ацетатного буферного раствора при рН (4, 8 - 5, 0) с использованием индикатора 1-(2-пиридил-азо)-2-нафтола (ПАН), а в качестве титранта - раствора сернокислой меди.
Метод распространяется на огнеупорные глины, каолины, глиноземистые и алюмосиликатные материалы и изделия.
7.2 Аппаратура, реактивы, растворы и вспомогательные устройства
Аппаратура, реактивы, растворы и вспомогательные устройства - по 5.2.
Установление массовой концентрации раствора трилона Б по оксиду алюминия - по 5.2.2.
Установление соотношения между объемами растворов трилона Б и сернокислой меди - по 5.2.3.
7.3 Проведение анализа
При проведении анализа аналитическую пробу массой 0, 25 г (при массовой доле оксида алюминия свыше 45%) и массой 0, 50 г (при массовой доле оксида алюминия не более 45%) смешивают в платиновом тигле с (3 - 5) г смеси для сплавления (тройной или двойной) и сплавляют в муфельной печи в течение (45 - 60) мин. при температуре 1000°С. В стакан наливают 60 см3 раствора соляной кислоты (1:3), нагретой до кипения, помещают в него остывший сплав вместе с тиглем и проводят дальнейшее растворение на электроплитке при слабом нагреве. Полученный раствор переносят в мерную колбу вместимостью 250 см3, охлаждают, доводят до метки дистиллированной водой и перемешивают.
Для определения суммы оксидов алюминия, железа и титана в алюмосиликатных огнеупорных материалах и изделиях допускается использовать аликвотную часть стандартного раствора после удаления оксида кремния (IV) по ГОСТ 2642.3 (раздел 5, раствор 1).
При анализе сырьевых и необожженных огнеупорных материалов для подготовки стандартного раствора допускается использовать серебряные тигли и обезвоженный гидроксид натрия в качестве плавня.
Для определения суммы оксидов алюминия, железа (III) и титана (IV) отбирают в коническую колбу вместимостью 300 см3 аликвотную часть раствора, равную 50 см3 (при предполагаемом содержании оксида алюминия свыше 45%) или 100 см3 (при предполагаемом содержании оксида алюминия не менее 45%), прибавляют (20 - 50) см3 раствора трилона Б [такое количество, чтобы на титрование пошло (4 - 20) см3с сернокислой меди], нагревают до кипения, нейтрализуют раствором аммиака до изменения цвета бумаги Конго, приливают (15 - 20) см3 ацетатного буферного раствора, (5 - 6) капель раствора индикатора ПАН и титруют избыточное количество трилона Б раствором сернокислой меди до перехода окраски раствора от желто-зеленой до сине-фиолетовой.
Примечание - Изменение желто-зеленой окраски в сине-фиолетовую происходит при условии расхода на титрование (4 - 20) см3 сернокислой меди, в противном случае, изменение окраски до красно-сиреневого цвета происходит при недостатке трилона Б и до синего цвета - при избытке трилона Б.
Массовую долю оксида железа (III) определяют по ГОСТ 2642.5, массовую долю оксида титана (IV) - по ГОСТ 2642.6.
7.4 Обработка результатов
7.4.1 Массовую долю оксида алюминия WAl₂O₃, %, вычисляют по формуле:
,
(13)
где V - объем раствора трилона Б, см3;
K - соотношение объемов раствора трилона Б и сернокислой меди;
V1 - объем раствора сернокислой меди, израсходованный на титрование избытка раствора трилона Б, см3;
250 - объем раствора, см3;
m - масса аналитической пробы, соответствующая аликвотной части, г;
V2 - аликвотная часть раствора, см3 (50 или 100 см3 в зависимости от массовой доли Al2O3);
WFe₂O₃ - массовая доля оксида железа (III), %;
ρТРБ (Fe) - массовая концентрация раствора трилона Б по оксиду железа (III), г/см3;
100 - коэффициент перевода массовой доли из процентов в доли;
wTIO₂ - массовая доля оксида титана (IV), %;
ρТРБ (Ti)- массовая концентрация раствора трилона Б по оксиду титана (IV), г/см3 (вычисляют умножением ρТРБ (Al) на 1, 565).
7.4.2 Нормы точности и нормативы контроля точности определения массовой доли оксида алюминия приведены в разделе 9.
8.1 Сущность метода
Метод основан на измерении оптической плотности при длине волны 535 ам при использовании спектрофотометра или колориметра при использовании зеленого светофильтра. Алюминий в растворе в присутствии тиогликолевой кислоты и ацетатного буферного раствора образует с эриохромцианином соединение красно-фиолетового цвета, оптическую плотность которого измеряют.
Метод распространяется на высокомагнезиальные и магнезиально-известковые материалы и изделия.
8.2 Аппаратура, реактивы, растворы и вспомогательные устройства
Спектрофотометр или колориметр фотоэлектрический лабораторный.
Весы по ГОСТ 24104, класс точности II или по ГОСТ OIML R 76-1.
рН-метр со стеклянным и насыщенным каломельным электродом или другими соответствующими электродами.
Стекло органическое часовое по ГОСТ 14183.
Электроплитка по технической документации.
Фарфоровые ступки по ГОСТ 9147.
Фильтр беззольный "красная лента" (складчатый) диаметром 11 см по технической документации.
Кислота уксусная по ГОСТ 61.
Натрий углекислый по ГОСТ 83.
Алюминий марки А995 по ГОСТ 11069, стружка.
Аммоний хлористый по ГОСТ 3773, насыщенный раствор.
Аммиак водный по ГОСТ 3760, разбавленный 1:1.
Спирт этиловый ректификованный технический по ГОСТ 18300.
Индикатор метиловый красный по технической документации, спиртовой раствор с массовой долей 1%.
Кислота тиогликолевая по технической документации, раствор 1:1.
Мочевина по технической документации.
Натрий уксуснокислый 3-водный по ГОСТ 199.
Аммоний уксуснокислый по ГОСТ 3117.
Водорода пероксид по ГОСТ 177, раствор с массовой долей 30%.
Кислота соляная по ГОСТ 3118 и раствор молярной концентрации 0, 1 моль/дм3.
Натрий тетраборнокислый 10-водный по ГОСТ 4199.
Безводный тетраборнокислый натрий, изготовленный из тетраборнокислого 10-водного натрия, обезвоженного при температуре (400±20)°С.
Смесь для сплавления: безводный углекислый и тетраборнокислый натрий в объемном соотношении 2:1.
Кислота азотная по ГОСТ 4461, разбавленная 1:4, и раствор молярной концентрации 1 моль/дм3 (70, 0 см3 азотной кислоты разбавляют дистиллированной водой до 1000 см3 и перемешивают).
Эриохромцианин R, индикатор по технической документации: 0, 14 г эриохромцианина растирают в фарфоровой чашке с добавлением 0, 3 см3 азотной кислоты. Смесь после добавления дистиллированной воды и 0, 05 г мочевины переносят в мерную колбу вместимостью 200 см3, доводят до метки дистиллированной водой и перемешивают (условия хранения: емкости из темного стекла, срок хранения - не более 4 мес).
Ацетатный буферный раствор с рН 6: 278 г уксуснокислого аммония и 109 г уксуснокислого натрия отдельно растворяют в дистиллированной воде. После растворения растворы смешивают и разбавляют дистиллированной водой до 1000 см3. Рабочий раствор готовят разбавлением этого раствора в соотношении 1:5, рН полученного раствора (5, 9 - 6, 0). Корректировку рН раствора проводят уксусной кислотой.
Стандартный раствор оксида алюминия (раствор А): 0, 5291 г металлического алюминия помещают в стакан вместимостью 250 см3, добавляют 50 см3 соляной кислоты и (2 - 3) см3 раствора пероксида водорода, накрывают часовым стеклом и растворяют при нагревании. Раствор охлаждают, переносят в мерную колбу вместимостью 100 см3, доводят дистиллированной водой до метки, перемешивают (1 см3 стандартного раствора оксида алюминия содержит 1, 000 г оксида алюминия).
Разбавленный стандартный раствор оксида алюминия (раствор Б): отбирают пипеткой 50 см3 раствора А в мерную колбу вместимостью 500 см3, доводят раствором соляной кислоты до метки и перемешивают (1 см3 разбавленного стандартного раствора оксида алюминия содержит 0, 100 г оксида алюминия).
Градуировочный разбавленный раствор оксида алюминия (раствор В): отбирают пипеткой 50 см3 раствора Б в мерную колбу вместимостью 500 см3, доводят раствором соляной кислоты молярной концентрации 0, 1 моль/дм3 до метки и перемешивают. Раствор готовят в день применения (1 см3 градуировочного разбавленного раствора оксида алюминия содержит 0, 010 г оксида алюминия).
8.3 Проведение анализа
8.3.1 В стакан вместимостью 250 см3 отбирают пипеткой аликвотную часть 50 см3 раствора после выделения оксида кремния по ГОСТ 2642.3 (раздел 5, раствор 1), добавляют несколько капель азотной кислоты, накрывают часовым стеклом и доводят до кипения. Затем в стакан добавляют 10 см3насыщенного раствора хлористого аммония и раствор аммиака (1:1) до слабого запаха. Осадок гидроксидов выдерживают (10 - 15) мин. на электрической плитке при слабом нагреве.
Осадок отфильтровывают через фильтр "красная лента" (складчатый) и промывают горячей водой. Осадок растворяют на фильтре подогретым раствором азотной кислоты (1:4) и промывают фильтр горячей дистиллированной водой, собирая весь раствор в стакан, в котором проводилось осаждение. Полученный раствор переносят в мерную колбу вместимостью 100 см3, доводят дистиллированной водой до метки, перемешивают.
При массовой доле оксида кремния (IV) менее 1% допускается проводить анализ на отдельной аналитической пробе, разложенной сплавлением со смесью углекислого натрия и тетраборнокислого натрия в соотношении 2:1, без отделения полуторных оксидов. Для определения оксида алюминия из раствора отбирают аликвотную часть раствора (5 - 10) см3 в мерную колбу вместимостью 100 см3, прибавляют одну каплю раствора метилового красного и нейтрализуют раствором аммиака (1:1), а затем приливают раствор азотной кислоты 1 моль/дм3 до перехода окраски индикатора. Добавляют 0, 2 см3 раствора тиогликолевой кислоты, 6 см3 раствора эриохромцианина R и 20 см3 ацетатного буферного раствора. Доводят до метки дистиллированной водой, перемешивают и через 10 мин. измеряют оптическую плотность раствора при длине волны 535 ам или при использовании зеленого светофильтра. Раствором сравнения служит раствор контрольного опыта, содержащий все применяемые реактивы.
Массовую концентрацию оксида алюминия находят по градуировочному графику, построенному в тех же условиях.
8.3.2 Для построения градуировочного графика в шесть из семи мерных колб вместимостью по 100 см3 отмеряют: 0, 5; 1, 0; 2, 0; 3, 0; 4, 0; 5, 0 см3 градуировочного разбавленного раствора алюминия (раствор В) и соответственно 4, 5; 4, 0; 3, 0; 2, 0; 1, 0 и 0 см3 раствора соляной кислоты молярной концентрации 0, 1 моль/дм3, прибавляют в каждую колбу по одной капле раствора метилового красного и далее проводят определение по 8.3.1. Градуировочный график строят по измеренным значениям оптической плотности и соответствующим им массовым концентрациям оксида алюминия.
В высокомагнезиальных материалах допускается определять массовую долю оксида алюминия по ГОСТ 24523.2.
8.4 При построении градуировочного графика, периодическом контроле стабильности градуировочной характеристики, а также при выполнении анализов выполняют проверку приемлемости аналитических сигналов фотоэлектроколориметра и спектрофотометра, полученных в условиях повторяемости.
Результат проверки признается приемлемым при выполнении условия:
,
(14)
где Di1 и Di2 - значения оптической плотности, полученные для i-градуировочного раствора при двух измерениях, Б;
D̅i - среднее значение результатов двух измерений оптической плотности i-градуировочного раствора, Б;
Кф - норматив (допускаемое расхождение результатов измерений оптической плотности раствора), при доверительной вероятности 0, 95%;
Кф = 5%.
8.4.1 Градуировочную характеристику представляют в виде линейного уравнения или графика.
8.4.1.1 Градуировочная характеристика в виде линейного уравнения
На основе полученных данных строят градуировочную характеристику по уравнению:
D̅=A+Bm,
(15)
где D̅ - среднее значение результатов двух измерений оптической плотности градуировочного раствора, Б;
m - масса оксида алюминия, г;
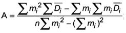
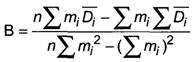
А и В - коэффициенты, определяемые методом наименьших квадратов по формулам:
;
(16)
,
(17)
где D̅i - оптическая плотность i-градуировочного раствора (среднеарифметическое значение по двум измерениям), Б;
mi - масса оксида алюминия в i-градуировочном растворе, г;
i - номер градуировочного раствора;
n - количество градуировочных растворов.
8.4.1.2 Градуировочная характеристика в виде графика
На основании полученных данных строят градуировочный график в координатах: оптическая плотность (D)i - масса оксида алюминия (mi). Указывают масштаб графика.
8.4.2 Проверка приемлемости градуировочной характеристики
Градуировочная характеристика считается приемлемой, если для каждого стандартного раствора отклонение среднего значения оптической плотности от градуировочной характеристики не превышает 5%.
8.5 Обработка результатов
8.5.1 Массовую долю оксида алюминия WAl₂O₃, %, вычисляют по формуле:
,
(18)
где ρAl₂O₃ - массовая концентрация оксида алюминия, найденная по градуировочному графику, мг см3;
V - общий объем исходного раствора, см3;
V1 - общий объем анализируемого раствора, см3;
m - масса аналитической пробы, г;
V2 - объем аликвотной части исходного раствора, см3;
1000 - коэффициент перевода размерности массы.
8.5.2 Нормы точности и нормативы контроля точности определения массовой доли оксида алюминия приведены в разделе 9.
9.1 Проверка приемлемости
Проверяют приемлемость результатов определений массовой доли оксида алюминия. Результат проверки считают удовлетворительным, если выполняется условие:
|WAl₂O₃1-WAl₂O₃2|≤r,
(19)
где WAl₂O₃1, WAl₂O₃2 - значения массовой доли оксида алюминия, полученные в условиях повторяемости опыта, %;
r - предел повторяемости, см. таблицу 1.
За результат определений массовой доли оксида алюминия принимают среднеарифметическое значение W̅Al₂O₃, полученное по двум последовательным определениям, удовлетворяющим требованию приемлемости.
Если условие (19) не выполнено, проводят два дополнительных определения и проверяют приемлемость вновь полученных результатов.
Если результаты дополнительных определений не удовлетворяют требованиям приемлемости, то за результат определений принимают среднеарифметическое значение четырех полученных значений при условии, что ряд последовательно полученных значений не возрастает или не убывает монотонно.
Примечание - Допускается проводить проверку приемлемости результатов в соответствии с документами, действующими на территории государства, применяющего стандарт***.
9.2 В документе о качестве результат определения массовой доли оксида алюминия приводят в сокращенном формате без указания расширенной неопределенности.
По требованию заказчика результат определения массовой доли оксида алюминия может быть приведен в полном формате:
[wAl₂O₃±U(wAl₂O₃)],
(20)
где U(wAl₂O₃) - расширенная неопределенность при коэффициенте охвата k = 2.
Результат округляют до того же десятичного знака, которым заканчивается округленное значение расширенной неопределенности U(wAl₂O₃).
Примеры
1 WAl₂O₃ = (0, 103 ± 0, 021)%.
2 WAl₂O₃ = (10, 1±1, 3)%.
9.3 Контроль внутрилабораторной прецизионности
Рассчитывают расхождение результатов определений массовой доли оксида алюминия, полученное в условиях прецизионности. При этом расхождение между двумя средними результатами определений не должно превышать норматив контроля Rл:
|W̅Al₂O₃1-, W̅Al₂O₃2|≤Rл,
(21)
где W̅Al₂O₃1, W̅Al₂O₃2 - первое и второе значения массовой доли оксида алюминия, %.
При превышении норматива измерения повторяют. При повторном превышении выясняют и устраняют причины, приводящие к неудовлетворительным результатам.
9.4 Оперативный контроль точности
Контроль выполнения процедуры определений (контроль точности результатов измерений) проводят не реже одного раза в смену или одновременно с каждой партией рабочих проб. Для контроля точности результатов измерений применяют государственные стандартные образцы, стандартные образцы предприятия или смеси, аттестованные в установленном порядке. Если отклонение результата определения массовой доли оксида алюминия в образце для контроля WAl₂O₃ от аттестованного (расчетного) значения Aco не превышает норматива контроля Кт (таблица 1)
|WAl₂O₃-Aco|≤КТ,
(22)
результаты контрольной процедуры признают удовлетворительными. При невыполнении условия (22) определение повторяют. При повторном невыполнении условия (22) определения прекращают до выявления и устранения причин, приводящих к неудовлетворительным результатам.
Таблица 1
|
В процентах | ||||
|
Массовая доля оксида алюминия |
Нормы точности и нормативы контроля точности | |||
|
U(w) |
Rл |
r |
Кт | |
|
От 0, 05 до 0, 1 включ. |
0, 03 |
0, 04 |
0, 03 |
0, 02 |
|
Св. 0, 1 " 0, 2 " |
0, 04 |
0, 05 |
0, 04 |
0, 03 |
|
" 0, 2 " 0, 5 " |
0, 07 |
0, 08 |
0, 07 |
0, 04 |
|
" 0, 5 " 1 " |
0, 08 |
0, 10 |
0, 08 |
0, 05 |
|
" 1 " 2 " |
0, 09 |
0, 12 |
0, 10 |
0, 06 |
|
" 2 " 5 " |
0, 14 |
0, 20 |
0, 15 |
0, 10 |
|
" 5 " 10 " |
0, 20 |
0, 25 |
0, 20 |
0, 15 |
|
" 10 " 20 " |
0, 3 |
0, 4 |
0, 3 |
0, 2 |
|
" 20 " 50 " |
0, 5 |
0, 6 |
0, 5 |
0, 3 |
|
" 50 " 99 " |
0, 6 |
0, 7 |
0, 6 |
0, 4 |
Результаты определений записывают в протоколе, в котором указывают:
- обозначение настоящего стандарта;
- наименование организации, проводившей испытание;
- обозначение испытуемого огнеупора или огнеупорного сырья, марку, номер партии;
- наименование предприятия-изготовителя;
- дату проведения испытания;
- метод определения оксида алюминия;
- значение результата определения оксида алюминия;
- должность, фамилию, имя, отчество исполнителя;
- подпись исполнителя.
Примечание - Допускается проводить оформление результатов измерений в соответствии с ГОСТ ИСО/МЭК 17025 либо с правилами, действующими на конкретном предприятии.
_____________________________
* На территории Российской Федерации действует ГОСТ Р 55878-2013 "Спирт этиловый технический гидролизный ректификованный. Технические условия".
** На территории Российской Федерации действует ГОСТ Р 53228-2008 "Весы неавтоматического действия. Часть 1. Метрологические и технические требования. Испытания".
*** На территории Российской Федерации действует ГОСТ Р ИСО 5725-6-2002 "Точность (правильность и прецизионность) методов и результатов измерений. Часть 6. Использование значений точности на практике".


