ГОСТ 26134-2016 БЕТОНЫ. УЛЬТРАЗВУКОВОЙ МЕТОД ОПРЕДЕЛЕНИЯ МОРОЗОСТОЙКОСТИ
Concretes. Ultrasonic method of frost resistance determination
Дата введения - 1 июля 2017 г.
Взамен ГОСТ 26134-84
Предисловие
Цели, основные принципы и основной порядок проведения работ по межгосударственной стандартизации установлены в ГОСТ 1.0-2015 "Межгосударственная система стандартизации. Основные положения" и ГОСТ 1.2-2015 "Межгосударственная система стандартизации. Стандарты межгосударственные, правила и рекомендации по межгосударственной стандартизации. Правила разработки, принятия, обновления и отмены"
Сведения о стандарте
1 Разработан Акционерным обществом "Научно-исследовательский, проектно-конструкторский и технологический институт ВНИИжелезобетон" (АО "ВНИИжелезобетон") и Закрытым акционерным обществом "Институт "Оргэнергострой" (ЗАО ОЭС)
2 Внесен Техническим комитетом по стандартизации ТК 465 "Строительство"
3 Принят Межгосударственным советом по стандартизации, метрологии и сертификации (протокол от 22 ноября 2016 г. N 93-П)
За принятие проголосовали:
|
Краткое наименование страны по МК (ИСО 3166) 004-97 |
Код страны по МК (ИСО 3166) 004-97 |
Сокращенное наименование национального органа по стандартизации |
|
Армения Грузия Киргизия Россия |
AM GE KG RU |
Минэкономики Республики Армения Грузстандарт Кыргызстандарт Росстандарт |
4 Приказом Федерального агентства по техническому регулированию и метрологии от 28 ноября 2016 г. N 1807-ст межгосударственный стандарт ГОСТ 26134-2016 введен в действие в качестве национального стандарта Российской Федерации с 1 июля 2017 г.
5 Взамен ГОСТ 26134-84
Настоящий стандарт распространяется на тяжелые и мелкозернистые бетоны, а также на легкие бетоны марок по средней плотности D1500 и выше на цементном вяжущем по классификации ГОСТ 25192 и устанавливает ультразвуковой метод определения их морозостойкости.
В настоящем стандарте использованы нормативные ссылки на следующие межгосударственные стандарты:
ГОСТ 1942-86 1, 2-Дихлорэтан технический. Технические условия
ГОСТ 2874-82 * Вода питьевая. Гигиенические требования и контроль за качеством
ГОСТ 10060-2012 Бетоны. Методы определения морозостойкости
ГОСТ 10180-2012 Бетоны. Методы определения прочности по контрольным образцам
ГОСТ 17622-72 Стекло органическое техническое. Технические условия
ГОСТ 17624-2012 Бетоны. Ультразвуковой метод определения прочности
ГОСТ 25192-2012 Бетоны. Классификация и общие технические требования
Примечание - При пользовании настоящим стандартом целесообразно проверить действие ссылочных стандартов в информационной системе общего пользования - на официальном сайте Федерального агентства по техническому регулированию и метрологии в сети Интернет или по ежегодному информационному указателю "Национальные стандарты", который опубликован по состоянию на 1 января текущего года, и по выпускам ежемесячного информационного указателя "Национальные стандарты" за текущий год. Если ссылочный стандарт заменен (изменен), то при пользовании настоящим стандартом следует руководствоваться заменяющим (измененным) стандартом. Если ссылочный стандарт отменен без замены, то положение, в котором дана ссылка на него, применяется в части, не затрагивающей эту ссылку.
В настоящем стандарте применены термины по ГОСТ 10060, а также следующие термины с соответствующими определениями:
3.1 ультразвуковой метод определения морозостойкости бетона: Метод, основанный на оценке морозостойкости по точке перелома графика зависимости "число циклов замораживания и оттаивания - время распространения ультразвука".
3.2 база прозвучивания: Расстояние между центрами рабочих поверхностей ультразвуковых преобразователей (излучателя и приемника) за вычетом толщины контактной среды (при ее наличии).
3.3 критическое число циклов замораживания и оттаивания: Число циклов, соответствующее точке перелома (пересечения) прямых на графике зависимости "число циклов замораживания и оттаивания - время распространения ультразвука".
3.4 контрольное число циклов замораживания и оттаивания: Число циклов замораживания и оттаивания, соответствующее марке бетона по морозостойкости.
4.1 Морозостойкость бетона определяют по результатам измерения времени распространения ультразвука в образцах в процессе их попеременного замораживания и оттаивания.
4.2 Морозостойкость бетона оценивают по критическому числу циклов замораживания и оттаивания, начиная с которого происходит резкое увеличение времени распространения ультразвука в испытуемых образцах, соответствующее началу интенсивного разрушения бетона.
4.3 Марку бетона по морозостойкости, определенной ультразвуковым методом, устанавливают сравнением критического числа циклов замораживания и оттаивания с контрольным числом циклов замораживания и оттаивания, приведенным в таблице 2.
4.4 Морозостойкость бетона допускается определять ультразвуковым методом при удовлетворительных сопоставительных результатах испытаний бетона по настоящему стандарту и по ГОСТ 10060. Методика проведения сопоставительных испытаний - в соответствии с приложением А.
Коэффициент перехода от результатов испытаний по настоящему стандарту к результатам испытаний по ГОСТ 10060 допускается определять в соответствии с приложением Б ГОСТ 10060.
5.1 При определении морозостойкости бетона ультразвуковым методом применяют приборы, предназначенные для измерения времени распространения ультразвука в бетоне, или специальные стенды, оснащенные дополнительным оборудованием.
Перечень рекомендуемых ультразвуковых приборов и стендов приведен в приложении Б.
Требования к дополнительному оборудованию приведены в приложении В.
5.2 Приборы для измерения времени распространения ультразвука в бетоне должны соответствовать требованиям ГОСТ 17624 и обеспечивать цифровую индикацию результатов измерения с дискретностью не более 1, 0 мкс.
5.3 Акустический контакт между контролируемым образцом и ультразвуковыми преобразователями может осуществляться:
- концентратами ультразвуковых преобразователей без применения контактной среды;
- щелевым способом с помощью контактной среды при толщине слоя контактной среды не более 5 мм, используя специальные стенды (таблица Б.1 приложения Б). В качестве контактной среды применяют питьевую воду по ГОСТ 2874 температурой (18±2)°С или 5%-ый раствор хлорида натрия.
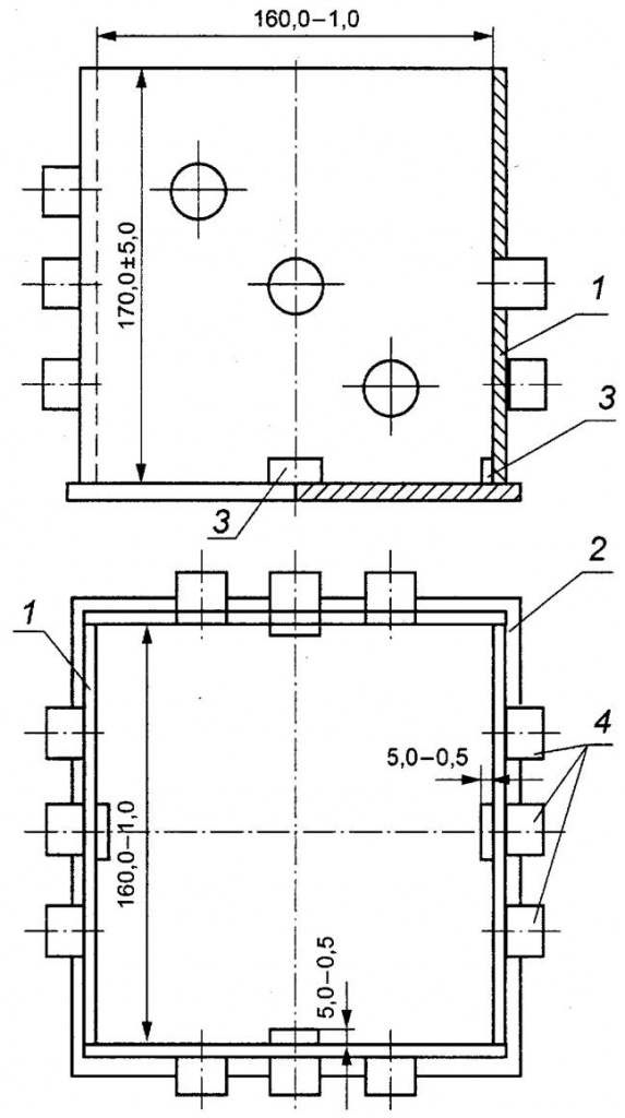
5.4 Расположение точек ввода ультразвуковых колебаний в зависимости от размеров образцов должно соответствовать приведенному на рисунке 1.

Рисунок 1 - Схема расположения точек ввода ультразвуковых колебаний
6.1 Отбор проб бетонной смеси, изготовление и маркировку образцов бетона проводят в соответствии с ГОСТ 10180.
6.2 Для каждого контролируемого состава бетона изготовляют три образца. При внутрисерийном коэффициенте вариации прочности бетона при сжатии по ГОСТ 10180 более 5% следует изготовлять шесть параллельных образцов.
Размеры образцов должны соответствовать требованиям ГОСТ 10180.
Разброс значений средней плотности отдельных образцов в серии до их насыщения не должен превышать допускаемый по приложению Б ГОСТ 10060.
6.3 Режимы хранения и насыщения образцов водой или 5%-ным раствором хлорида натрия следует принимать в соответствии с ГОСТ 10060.
6.4 Воду следует предварительно дегазировать путем отстаивания в течение не менее 48 ч.
7.1 Направление прозвучивания образцов должно быть перпендикулярно направлению укладки бетонной смеси.
7.2 При использовании концентраторов ультразвуковых преобразователей образцы помещают на лабораторный стол и определяют в каждой паре точек (каждом канале прозвучивания) время распространения ультразвука при сквозном прозвучивании.
Для обеспечения соосности концентраторов ультразвуковых преобразователей следует использовать предварительную разметку образцов по схеме, приведенной на рисунке 1, или шаблоны из листового органического стекла толщиной 3 - 5 мм по ГОСТ 17622 (рисунок 2).
Соосность концентраторов должна быть обеспечена с погрешностью не более ±2 мм.

Рисунок 2 - Шаблон для обеспечения соосности концентраторов ультразвуковых преобразователей для образцов размерами 100×100×100 мм
7.3 При использовании специальных стендов образцы помещают в испытательную ванну, наполненную водой или 5%-ным раствором хлорида натрия (в зависимости от метода испытания), и определяют время распространения ультразвука в них поочередно по всем каналам прозвучивания.
7.4 Суммарное время распространения ультразвука t в каждом образце вычисляют по формуле
,
(1)
где n - число каналов прозвучивания;
ti - время распространения ультразвука по i-му каналу прозвучивания, мкс.
7.5 Образцы подвергают попеременному замораживанию и оттаиванию по первому базовому, второму базовому и ускоренному или третьему ускоренному методам по ГОСТ 10060. Через указанное в таблице 1 число циклов замораживания и оттаивания в образцах проводят ультразвуковые измерения и для каждого образца определяют суммарное время распространения ультразвука t по формуле (1).
Время распространения ультразвука измеряют после оттаивания образцов, при этом ориентация образца относительно линии канала прозвучивания должна оставаться постоянной на протяжении всего испытания.
7.6 По результатам измерений для каждого образца находят наименьшее значение суммарного времени распространения ультразвука tm.
7.7 Определяют число циклов замораживания и оттаивания, при котором было зафиксировано время распространения ультразвука tm, и выбирают из них наибольшее Nm.
Примечание - Если сразу после начала испытаний суммарное время распространения ультразвука в образце начинает увеличиваться, то принимают Nm=0, а за наименьшее значение времени tm принимают суммарное время распространения ультразвука в образце, измеренное до начала замораживания и оттаивания.
7.8 По результатам ультразвуковых измерений каждого образца при числе циклов замораживания и оттаивания N, большем Nm, вычисляют значения (N-Nm) и (t-tm), по которым в логарифмических координатах строят график прямолинейных зависимостей между ними.
На графике определяют координаты точки перелома (точки пересечения прямых) в соответствии с приложением Г.
7.9 Критическое число циклов замораживания и оттаивания Mi для каждого образца вычисляют по формуле
Mi=Nm+K,
(2)
где K - абсцисса точки перелома на графике (N-Nm) - (t-tm), (рисунок Д.1 приложения Д).
7.10 Испытание образцов бетона одного состава продолжают до определения критического числа циклов контролируемого состава бетона Mб по трем значениям критического числа циклов при испытании трех образцов (по шести значениям при испытании шести образцов) M1, M2 и M3, рассчитанных по формуле (2).
7.11 Критическое число циклов замораживания и оттаивания контролируемого состава бетона Mб принимают равным наибольшему из трех значений (M1, M2 и M3), рассчитанных по формуле (2).
При испытании шести образцов критическое число циклов замораживания и оттаивания контролируемого состава бетона Mб принимают равным наибольшему из шести значений критического числа циклов, рассчитанных по формуле (2).
7.12 Полученное значение Mб сравнивают с контрольным числом циклов замораживания и оттаивания для заданной марки по морозостойкости, приведенным в таблице 2.
Контролируемый состав бетона считают удовлетворяющим заданной марке по морозостойкости, если значение Mб не меньше соответствующего контрольного числа циклов замораживания и оттаивания.
Результаты измерений и расчетов заносят в журнал испытаний по форме таблицы Д.1 приложения Д.
Пример определения морозостойкости бетона ультразвуковым методом приведен в приложении Д.
Таблица 1 - Число циклов замораживания и оттаивания в образцах для ультразвуковых измерений
|
Метод |
Вид бетона |
Число циклов, по достижении которого проводят ультразвуковые измерения | ||||||||||
|
Первый базовый |
Все виды бетонов марок по средней плотности не ниже D1500, кроме бетонов дорожных и аэродромных покрытий и бетонов конструкций, эксплуатирующихся в минерализованной воде |
F150 |
F175 |
F1100 |
F1150 |
F1200 |
F1300 |
F1400 |
F1500 |
F1600 |
F1800 |
F11000 |
|
2 - 3 |
3 - 5 |
5 - 7 |
7 - 9 |
10 - 12 |
15 - 20 |
20 - 25 |
25 - 30 |
30 - 35 |
40 - 50 |
50 - 60 | ||
|
Второй ускоренный |
F150 |
F175 |
F1100 |
F1150 |
F1200 |
F1300 |
F1400 |
F1500 |
F1600 |
F1800 |
F11000 | |
|
- |
1 |
1 |
1 - 2 |
2 - 3 |
3 - 4 |
5 - 7 |
7 - 9 |
10 - 12 |
15 - 20 |
20 - 25 | ||
|
Второй базовый |
Бетоны дорожных и аэродромных покрытий и бетоны конструкций, эксплуатирующихся в минерализованной воде |
F250 |
F275 |
F2100 |
F2150 |
F2200 |
F2300 |
F2400 |
F2500 |
F2600 |
F2800 |
F21000 |
|
- |
- |
5 - 7 |
7 - 9 |
10 - 12 |
15 - 20 |
20 - 25 |
25 - 30 |
30 - 35 |
40 - 50 |
50 - 60 | ||
|
Третий ускоренный |
Все виды бетонов марок по средней плотности не ниже D1500, кроме бетонов дорожных и аэродромных покрытий и бетонов конструкций, эксплуатирующихся в минерализованной воде |
F150 |
F175 |
F1100 |
F1150 |
F1200 |
F1300 |
F1400 |
F1500 |
F1600 |
F1800 |
F11000 |
|
- |
- |
- |
- |
- |
2 - 4 |
3 - 5 |
5 - 7 |
5 - 10 |
7 - 10 |
10 - 15 | ||
|
Метод |
Вид бетона |
Контрольное число циклов для ультразвуковых измерений | ||||||||||
|
Первый базовый |
Все виды бетонов марок по средней плотности не ниже D1500, кроме бетонов дорожных и аэродромных покрытий и бетонов конструкций, эксплуатирующихся в минерализованной воде |
F150 |
F175 |
F1100 |
F1150 |
F1200 |
F1300 |
F1400 |
F1500 |
F1600 |
F1800 |
F11000 |
|
Второй ускоренный |
31 |
47 |
63 |
95 |
125 |
190 |
250 |
310 |
375 |
500 |
625 | |
|
F150 |
F175 |
F1100 |
F1150 |
F1200 |
F1300 |
F1400 |
F1500 |
F1600 |
F1800 |
F11000 | ||
|
- |
8 |
13 |
19 |
28 |
47 |
70 |
95 |
125 |
190 |
280 | ||
|
Второй базовый |
Бетоны дорожных и аэродромных покрытий и бетоны конструкций, эксплуатирующихся в минерализованной воде |
F250 |
F275 |
F2100 |
F2150 |
F2200 |
F2300 |
F2400 |
F2500 |
F2600 |
F2800 |
F21000 |
|
- |
- |
63 |
95 |
125 |
190 |
250 |
310 |
375 |
500 |
625 | ||
|
Третий ускоренный |
Все виды бетонов марок по средней плотности не ниже D1500, кроме бетонов дорожных и аэродромных покрытий и бетонов конструкций, эксплуатирующихся в минерализованной воде |
F150 |
F175 |
F1100 |
F1150 |
F1200 |
F1300 |
F1400 |
F1500 |
F1600 |
F1800 |
F11000 |
|
- |
- |
- |
- |
- |
5 |
7 |
9 |
12 |
17 |
22 | ||
________________________________
* В Российской Федерации действует ГОСТ Р 51232-98 "Вода питьевая. Общие требования к организации и методам контроля качества"
Приложение А
(обязательное)
Методика
проведения сопоставительных испытаний
А.1 Сопоставительные испытания следует проводить при переходе на ультразвуковой метод определения морозостойкости бетона и повторять их при изменении составляющих материалов и состава бетона.
А.2 Для проведения сопоставительных испытаний изготовляют шесть образцов и разбивают их на две серии по три образца.
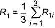
А.3 Образцы первой серии испытывают на сжатие по ГОСТ 10180 и вычисляют среднюю прочность R1 и дисперсию D1 по формулам:
,
(А.1)
,
(А.2)
где R1i - прочность на сжатие i-го образца первой серии, МПа.
А.4 Образцы второй серии испытывают в соответствии с разделом 7 и определяют критическое число циклов замораживания и оттаивания контролируемого состава бетона Mб в соответствии с 7.10, 7.11.
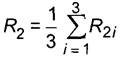
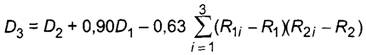
А.5 Проводят дальнейшее замораживание и оттаивание испытуемых образцов до достижения циклов, равных 1, 6Mб, после чего образцы испытывают на сжатие по ГОСТ 10180 и вычисляют их среднюю прочность R2 и дисперсии D2 и D3 по формулам:
,
(А.3)
,
(А.4)
,
(А.5)
где R2i - прочность на сжатие i-го образца второй серии, МПа.
А.6 Результаты сопоставительных испытаний следует считать удовлетворительными, если выполняется условие
, а для бетона дорожных и аэродромных покрытий, кроме того, потеря массы не превышает 2%. В противном случае определение морозостойкости бетона данного состава ультразвуковым методом проводить не следует.
Приложение Б
(справочное)
Таблица Б.1
|
Наименование прибора |
Предприятие, страна-изготовитель или поставщик |
|
Бетон-70 |
ООО "НПК ЛУЧ" (Россия) |
|
Пульсар 2.1 |
ЗАО "Интерприбор" (Россия) |
|
Пульсар 2.2 |
ЗАО "Интерприбор" (Россия) |
|
УКС-МГ4 |
СКБ "Стройприбор" (Россия) |
|
УК-14П |
СКБ "Стройприбор" (Россия) |
|
УСД-60Н |
НПЦ "КРОПУС" (Россия) |
|
TICO |
Поставщик ЗАО "Триада-Холдинг" (Россия) |
|
DIO 1000LF |
Starmans Electronics (Чехия) |
|
Pundit PL-200 |
Procec (Швейцария) |
|
Специальные стенды ОСА-1 |
Держатель проекта ЗАО "Институт "Оргэнергострой" (Россия) |
Приложение В
(рекомендуемое)
В.1 Дополнительное оборудование состоит из испытательной ванны (рисунок В.1), включающей в себя комплект ультразвуковых преобразователей, и коммутирующего устройства, обеспечивающего переключение каналов прозвучивания.

Рисунок В.1 - Схема испытательной ванны для образцов размерами 150×150×150 мм
В.2 Стенки и основание испытательной ванны изготовляют из листового органического стекла толщиной 10 - 20 мм по ГОСТ 17622 и склеивают 1, 2-дихлорэтаном по ГОСТ 1942 или другим заменяющим его клеем, обеспечивающим герметичность шва. Стенки испытательной ванны имеют отверстия для установки ультразвуковых преобразователей.
Размеры ванны принимают в зависимости от размеров образцов.
Отверстия для ультразвуковых преобразователей, образующих один канал прозвучивания, располагают соосно на противоположных стенках ванны, так чтобы линия их центров совпадала с соответствующим направлением прозвучивания. Предельные отклонения между осями двух противоположных отверстий не должны быть более ±0, 5 мм. Между стенками ванны и преобразователями должны быть предусмотрены герметизирующие прокладки.
Ванну снабжают фиксатором, обеспечивающим расположение образца на расстоянии не более 5 мм от стенок ванны и постоянство его ориентации относительно преобразователей на протяжении всего испытания.
В.3 Коммутирующее устройство представляет собой систему переключателей, обеспечивающую (в ручном режиме или автоматически) независимое включение каждого из каналов прозвучивания.
Приложение Г
(обязательное)
Г.1 На графике (N-Nm) - (t-tm), построенном в логарифмических координатах, ориентировочно отмечают точку, соответствующую началу резкого увеличения времени распространения ультразвуковых колебаний. По журналу испытаний определяют соответствующее этой точке число циклов замораживания и оттаивания Np.
Г.2 Точки, нанесенные на график, разбивают на две группы. К первой относят точки, для которых N≤Np ко второй - точки, для которых N≥Np. Число точек во второй группе должно быть не менее четырех.
Г.3 По точкам каждой группы регрессионным методом находят линейные зависимости, для чего рекомендуется применять стандартную программу Excel, входящую в пакет Microsoft Office.
Уравнение регрессии представляют в общем виде:
Y=a+bX,
(Г.1)
где X=lg(N-Nm) иY=lg(t-tm)
Соответственно первое уравнение будет иметь вид y1=a1+b1x1 второе – y2=a2+b2x2.
Г.4 Координаты точки пересечения прямых (X0, Y0) рассчитывают по формулам:
X0=(a2-a1)/(b1-b2),
(Г.2)
Y0=a1+b1X0
(Г.3)
Приложение Д
(справочное)
В настоящем приложении приведен пример определения морозостойкости бетона проектной марки F175 ультразвуковым методом. Режимы замораживания и оттаивания трех образцов размерами 100×100×100 мм соответствуют первому базовому методу испытаний на морозостойкость по ГОСТ 10060.
Ультразвуковые измерения в образцах проводят с интервалом пять циклов замораживания и оттаивания по четырем каналам прозвучивания.
Результаты ультразвуковых измерений в образце N 1 заносят в журнал испытаний по форме, приведенной в таблице Д.1.
|
Дата проведения ультразвуковых измерений |
Число циклов замораживания и оттаивания |
N - Nm, циклы |
Время распространения ультразвука ti по каналам прозвучивания, мкс |
Суммарное время распространения ультразвука t, мкс |
t - tm, мкс | |||
|
1 |
2 |
3 |
4 | |||||
|
0 |
- |
28, 9 |
29, 1 |
29, 0 |
29, 3 |
116, 3 |
- | |
|
5 |
- |
28, 8 |
29, 0 |
28, 9 |
29, 0 |
115, 7 |
- | |
|
10 |
- |
28, 8 |
28, 9 |
28, 8 |
29, 0 |
115, 5 |
- | |
|
15 |
- |
28, 7 |
28, 9 |
28, 8 |
29, 1 |
115, 5 |
- | |
|
20 |
5 |
28, 8 |
29, 0 |
29, 0 |
29, 0 |
115, 9 |
0, 4 | |
|
25 |
10 |
28, 9 |
29, 0 |
29, 0 |
29, 2 |
116, 1 |
0, 6 | |
|
30 |
15 |
28, 9 |
29, 0 |
29, 1 |
29, 3 |
116, 3 |
0, 8 | |
|
35 |
20 |
28, 9 |
29, 1 |
29, 1 |
29, 4 |
116, 5 |
1, 0 | |
|
40 |
25 |
29, 0 |
29, 1 |
29, 2 |
29, 3 |
116, 6 |
1, 1 | |
|
45 |
30 |
29, 0 |
29, 2 |
29, 1 |
29, 4 |
116, 7 |
1, 2 | |
|
50 |
35 |
29, 1 |
29, 1 |
29, 2 |
29, 5 |
116, 9 |
1, 4 | |
|
55 |
40 |
29, 3 |
29, 2 |
29, 3 |
29, 8 |
117, 6 |
2, 1 | |
|
60 |
45 |
29, 5 |
29, 3 |
29, 4 |
30, 2 |
118, 4 |
2, 9 | |
|
65 |
50 |
29, 7 |
29, 6 |
29, 7 |
30, 5 |
119, 5 |
4, 0 | |
По формуле (1) рассчитывают суммарное время распространения ультразвука. Например, после пяти циклов замораживания и оттаивания
t = 28, 8 + 29, 0 + 28, 9 + 29, 0 = 115, 7 мкс.
По данным таблицы Д.1 определяют наименьшее суммарное время распространения ультразвука: tm = 115, 5 мкс. Это значение зафиксировано после 10 и после 15 циклов замораживания и оттаивания. В соответствии с 7.6 из этих значений выбирают наибольшее: Nm = 15.
После определения значений tm и Nm по результатам последующих измерений вычисляют значения (N-Nm) и (t-tm), по которым строят график в логарифмических координатах в соответствии с 7.8. График, построенный для образца N 1, приведен на рисунке Д.1.

Рисунок Д.1 - График ультразвуковых измерений образца N 1
На графике ориентировочно выбирают точку, соответствующую началу резкого увеличения времени распространения ультразвука. Для этой точки (Np-Nm) = 50 - 15 = 35.
Точки, нанесенные на график, разбивают на две группы в соответствии с Г.2 приложения Г. По точкам каждой группы в соответствии с Г.3 рассчитывают уравнения прямых с использованием программы Excel:
|
|
|
(Д.1) | |
|
(Д.2) |
Используя уравнения (Д.1) и (Д.2), по формулам (Г.2) и (Г.3) находят координаты точки пересечения прямых X0=x1=x2; Y0=y1=y2
X0=1, 537=lg(N-Nm)
Соответствующее число циклов K=Np-Nm=101, 537.
Y0=a1+b1X0=-0, 8+0, 6·1, 537=0, 122=lg(t-tm)
Время распространения ультразвука в точке пересечения прямых t-tm=100, 122=1, 32 мкс.
Критическое число циклов для образца N 1 вычисляют по формуле (2): М1 = 15 + 34 = 49.
Аналогичным образом определяют значение критического числа циклов для образцов N 2 и N 3 (при испытании трех образцов). Если значение критического числа циклов для образца N 2 составляет 44 цикла, для образца N 3-45, то в соответствии с 7.10 и 7.11 при М2=44<М3=45<М1=49 критическое число циклов замораживания и оттаивания контролируемого состава бетона принимают равным значению М1 т.е. Мб = 49 циклов.
Сравнивая согласно 7.12 полученное значение с контрольным значением критического числа циклов замораживания и оттаивания, заключают, что контролируемый состав бетона удовлетворяет марке по морозостойкости F175.
,.

