Введен в действие приказом Федерального агентства по техническому регулированию и метрологии от 2 декабря 2016 г. N 1924-ст
Межгосударственный стандарт ГОСТ 25902-2016
"ЗАЛЫ ЗРИТЕЛЬНЫЕ. МЕТОД ОПРЕДЕЛЕНИЯ РАЗБОРЧИВОСТИ РЕЧИ"
Auditoria. Speech intelligibility determination method
Дата введения - 1 июля 2017 г.
Взамен ГОСТ 25902-83
Предисловие
Цели, основные принципы и основной порядок проведения работ по межгосударственной стандартизации установлены в ГОСТ 1.0-2015 "Межгосударственная система стандартизации. Основные положения" и ГОСТ 1.2-2015 "Межгосударственная система стандартизации. Стандарты межгосударственные, правила и рекомендации по межгосударственной стандартизации. Правила разработки, принятия, обновления и отмены"
Сведения о стандарте
1 Разработан федеральным государственным бюджетным учреждением "Научно-исследовательский институт строительной физики Российской академии архитектуры и строительных наук (НИИСФ РААСН)
2 Внесен Техническим комитетом по стандартизации ТК 465 "Строительство"
3 Принят Межгосударственным советом по стандартизации, метрологии и сертификации (протокол от 22 ноября 2016 г. N 93-П)
За принятие проголосовали:
|
Краткое наименование страны по МК (ИСО 3166) 004-97
|
Код страны по МК (ИСО 3166) 004-97
|
Сокращенное наименование национального органа по стандартизации
|
|
Армения
|
AM
|
Минэкономики Республики Армения
|
|
Грузия
|
GE
|
Грузстандарт
|
|
Киргизия
|
KG
|
Кыргызстандарт
|
|
Россия
|
RU
|
Росстандарт
|
4 Приказом Федерального агентства по техническому регулированию и метрологии от 2 декабря 2016 г. N 1924-ст межгосударственный стандарт ГОСТ 25902-2016 введен в действие в качестве национального стандарта Российской Федерации с 1 июля 2017 г.
5 Взамен ГОСТ 25902-83
1 Область применения
Настоящий стандарт устанавливает метод определения разборчивости речи в зрительных залах различного назначения, а также в аудиториях, конференц-залах, залах совещаний и других помещениях, предназначенных для публичных выступлений (далее - залы). Метод основан на восприятии слушателями специального текста (слоговых таблиц).
2 Нормативные ссылки
В настоящем стандарте использованы нормативные ссылки на следующие межгосударственные стандарты:
ГОСТ 7153-85 Аппараты телефонные общего применения. Общие технические условия
ГОСТ 17187-2010 (IEC 61672-1:2002) Шумомеры. Часть 1. Технические требования
ГОСТ 23337-2014 Шум. Методы измерения шума на селитебной территории и в помещениях жилых и общественных зданий
Примечание - При пользовании настоящим стандартом целесообразно проверить действие ссылочных стандартов в информационной системе общего пользования - на официальном сайте Федерального агентства по техническому регулированию и метрологии в сети Интернет или по ежегодному информационному указателю "Национальные стандарты", который опубликован по состоянию на 1 января текущего года, и по выпускам ежемесячного информационного указателя "Национальные стандарты" за текущий год. Если ссылочный стандарт заменен (изменен), то при пользовании настоящим стандартом следует руководствоваться заменяющим (измененным) стандартом. Если ссылочный стандарт отменен без замены, то положение, в котором дана ссылка на него, применяется в части, не затрагивающей эту ссылку.
3 Термины и определения
В настоящем стандарте применены следующие термины с соответствующими определениями:
3.1 разборчивость речи: Отношение (в процентах) правильно принятых на слух фонетических элементов к общему количеству переданных элементов, создающих группы, не имеющих смысла.
3.2 слоговая таблица: Таблица с записанными в ней фонетическими элементами речи, используемыми при определении разборчивости речи.
3.3 цикличная смена мест: Способ смены мест слушателями, при котором каждый слушатель с занимаемого им места переходит на место, порядковый номер которого на единицу больше.
Примечание - Слушатель, находящийся на последнем по порядку месте, переходит на первое место. Цикл заканчивается, когда все слушатели пройдут все пронумерованные места.
3.4 максимальный уровень звука с временной коррекцией, дБ: Наибольший на заданном интервале времени уровень звука с временной коррекцией.
3.5 фоновый уровень шума: Средний уровень шума в помещении, измеряемый перед началом процедуры испытаний разборчивости речи, при включении всех инженерных систем обследуемого помещения в позиции "LA экв" калиброванного, прошедшего поверку шумомера.
4 Условия определения разборчивости речи
4.1 Разборчивость речи следует определять в залах с естественной акустикой, а также оборудованных электроакустическими системами усиления или воспроизведения звука.
В новых и реконструируемых залах разборчивость речи следует определять во время работы рабочей комиссии по приемке этих помещений в эксплуатацию, при этом в залах с количеством мест свыше 1200 определение разборчивости речи является обязательным. Необходимость определения разборчивости речи в новых и реконструируемых залах с количеством мест 1200 и менее, а также в действующих залах устанавливают соответственно заказчик или предприятие, организация, учреждение, в ведении которых находятся указанные помещения.
4.2 Температура воздуха, работа систем кондиционирования воздуха или вентиляции, освещения должны соответствовать условиям эксплуатации зала.
4.3 Число мест в зале, на которых определяется разборчивость речи, должно быть равным числу слушателей, участвующих в определении разборчивости речи. В симметричном зале допускается выбирать места в одной его половине, а в другой половине - несколько мест для контроля симметрии.
4.4 Для определения разборчивости речи в залах вместимостью до 2000 человек следует привлекать одну группу слушателей, вместимостью от 2000 до 5000 человек - две группы слушателей, вместимостью свыше 5000 человек - три группы слушателей. В каждой группе слушателей должно быть 20 человек. В процессе определения разборчивости речи в пределах каждой группы следует проводить цикличную смену мест.
4.5 В число слушателей следует включать лиц в возрасте от 18 до 35 лет, имеющих опыт записи читаемого текста.
4.6 Для определения разборчивости речи должна быть сформирована организационная группа в составе руководителя и членов группы. Число членов организационной группы должно превышать на единицу число групп слушателей.
4.7 Рабочий пост руководителя должен быть расположен вблизи дикторов, а рабочие места членов организационной группы должны быть в зале.
4.8 Для определения разборчивости речи используют слоговые таблицы по ГОСТ 7153.
4.9 Для чтения слоговых таблиц следует привлекать профессиональных дикторов (мужчину и женщину). Допускается привлекать профессиональных актеров-чтецов. Дикторы должны зачитывать таблицы на тех же местах, что и в условиях эксплуатации зала (на эстраде, трибуне, сцене).
4.10 В тех случаях, когда в зале применяют систему воспроизведения звука, например, в зрительных залах кинотеатров, вместо речи дикторов следует использовать фонограмму (магнитную, оптическую и др.) слоговых таблиц. Первичная запись для фонограммы должна быть проведена в заглушённой камере или в студии для записи речи. Технические параметры фонограммы должны соответствовать параметрам аппаратуры, применяемой для воспроизведения звука.
4.11 Максимальный уровень звука, создаваемый речью диктора, на расстоянии 1 м от него должен быть в пределах 65 - 75 дБА. Максимальные уровни звука контролирует руководитель по максимальному отклонению стрелки шумомера 1-го класса по ГОСТ 17187 в режиме "медленно", при этом не допускается изменение громкости произношения слогов в режиме усиления.
4.12 Фоновый уровень шума, дБА, должен быть измерен членами организационной группы в соответствии с ГОСТ 23337.
4.13 Правильность произношения диктором слов контролируют члены организационной группы непосредственно по слоговым таблицам или с помощью контрольной записи на магнитофоне. Если диктор сделает ошибку, то для оценки следует принимать действительно произнесенный слог.
4.14 Каждую слоговую таблицу следует применять при определении разборчивости речи в данном зале (аудитории) только один раз.
4.15 Повторное привлечение одних и тех же слушателей для определения разборчивости речи допускается не ранее чем через 3 мес.
5 Определение разборчивости речи
5.1 Члены организационной группы должны установить на выбранных в соответствии с 4.3 и 4.4 местах зала хорошо видимые номера и раздать слушателям бланки. Образцы бланка - в соответствии с приложением А.
5.2 Руководитель организационной группы должен ознакомить слушателей и дикторов с их обязанностями в соответствии с приложением Б, после чего слушатели должны занять обозначенные номерами места, а дикторы, получив у руководителя слоговые таблицы, - соответствующее место на эстраде (трибуне, сцене).
5.3 Дикторы должны по очереди зачитать по одной слоговой таблице, а слушатели их записать. Указанные таблицы являются тренировочными и в дальнейшем не допускаются к использованию.
5.4 После прочтения тренировочных таблиц дикторы, чередуясь, должны зачитывать по одной слоговой таблице для определения разборчивости речи. В условиях применения в зале системы воспроизведения звука текст таблиц следует передавать в зал с помощью этой системы.
5.5 При чтении таблиц перед каждым слогом следует произносить вводную фразу: "Запишите, пожалуйста...". Общая продолжительность чтения вводной фразы, слога, а также продолжительность последующей паузы должны составлять примерно 3 с.
5.6 Слушатели должны разборчиво записывать обычной орфографией читаемые дикторами слоги в бланки так, как они их услышали. В случае, когда слушатель не смог расслышать слог, он должен ставить прочерк в соответствующей графе бланка. Поправки в бланке не допускаются.
5.7 После записи в бланк двух таблиц слушатели должны переместиться на другие места согласно правилу цикличной смены мест и заполнить две следующие таблицы. Процедура заполнения таблиц заканчивается с завершением цикла смены мест.
5.8 В случае нарушения нормального хода определения разборчивости речи (внезапный шум в зале, выключение освещения и т.п.) заполняемый бланк должен быть исключен из оценки, а дикторы должны зачитывать две следующие таблицы. В случае нарушения хода определения разборчивости речи у одного или нескольких слушателей соответствующие бланки в общую оценку также не включают.
5.9 Общая продолжительность определения разборчивости речи в зале не должна превышать 3 ч. Примерно через 1, 5 ч следует сделать перерыв на 15 - 20 мин.
5.10 По окончании определения разборчивости речи члены организационной группы должны собрать у слушателей заполненные бланки, а руководитель заполнить позиции 1 - 13 протокола определения разборчивости речи в соответствии с приложением В.
5.11 Члены организационной группы должны сверить заполненные бланки с оригиналами слоговых таблиц, отметив число правильно записанных слогов.
5.12 Слоговую разборчивость Pi в данном месте зала (i-й номер места) следует определять для каждого слушателя как отношение в процентах числа правильно записанных слогов к их общему числу в бланке (100 слогов). Вычисленные результаты должны быть представлены для каждой группы слушателей в соответствии с приложением Г (форма 1).
5.13 Среднее значение слоговой разборчивости на данном месте зрительного зала P̅ вычисляют по формуле
,
(1)
где Pi - слоговая разборчивость в данном месте зала;
N - число слушателей.
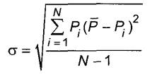
5.14 Среднеквадратичную ошибку σ на данном месте зала определяют по формуле
.
(2)
5.15 Из таблицы, заполненной по форме 1, необходимо исключить результаты, отличающиеся от среднего значения слоговой разборчивости P̅ на значение, большее удвоенной слоговой среднеквадратичной ошибки 2σ, и провести окончательный расчет среднего значения слоговой разборчивости и среднеквадратичной ошибки согласно 5.13 и 5.14.
5.16 Окончательные результаты определения разборчивости речи должны быть представлены в форме таблицы, включающей в себя средние значения слоговой разборчивости речи и среднеквадратичные ошибки на выбранных местах зала в соответствии с приложением Г (форма 2).
5.17 Для наглядности результаты определения разборчивости речи допускается представлять в виде кривых равной разборчивости речи на плане зала. При этом следует проставлять средние значения слоговой разборчивости, полученные на выбранных местах.
5.18 Ориентировочные классы средних значений слоговой разборчивости приведены в приложении Д.
5.19 По результатам определения разборчивости речи, при необходимости, должны быть даны рекомендации по улучшению условий слышимости в зале.
Приложение А
(обязательное)
Образцы бланков
Наименование зала________________________________________________________
Дата ____________ Слушатель _____________________________
Ф.И.О.
Место ___________
Таблица N _________
|
1
|
2
|
3
|
4
|
5
|
6
|
7
|
8
|
9
|
10
| |
| | | | | | | | | |
а
|
| | | | | | | | | |
б
|
| | | | | | | | | |
в
|
| | | | | | | | | |
г
|
| | | | | | | | | |
д
|
| | | | | | | | | | | | | | | | | | | | |
Таблица N ____________
|
1
|
2
|
3
|
4
|
5
|
6
|
7
|
8
|
9
|
10
| |
| | | | | | | | | |
а
|
| | | | | | | | | |
б
|
| | | | | | | | | |
в
|
| | | | | | | | | |
г
|
| | | | | | | | | |
д
|
| | | | | | | | | | | | | | | | | | | | |
Приложение Б
(обязательное)
Обязанности слушателей и дикторов при определении разборчивости речи
Б.1 Перед определением разборчивости речи руководитель организационной группы должен ознакомить слушателей и дикторов с целью работы, которая заключается в оценке степени пригодности данного зрительного зала (с системой усиления или воспроизведения звука) для передачи речевых программ.
Б.2 Обязанности слушателей
Слушатели, получив у членов организационной группы бланки для записи, должны занять в зале места, обозначенные номерами, и освоить прослушивание и заполнение слоговых таблиц. Для этого дикторы должны зачитать по одной таблице слогов, а слушатели разборчиво обычной орфографией записать слоги в бланк так, как они их услышали. Если слушатель не смог расслышать слог, в соответствующей графе бланка он должен поставить прочерк. Поправки в бланке не допускаются. По окончании заполнения слоговых таблиц слушатели помечают использованный бланк словом "тренировка" и остаются на своих местах. При этом они могут выяснить все возникшие вопросы, обратившись к руководителю или членам организационной группы.
После тренировки слушатели должны приступить к основному прослушиванию и заполнению слоговых таблиц. На бланке необходимо проставить свою фамилию и инициалы, номер места и номер таблицы (наименование зала и дату члены организационной группы должны проставить на бланках заранее). Дикторы должны поочередно зачитать по одной таблице, а слушатели - записать их в бланки, как во время тренировки. В случае если у слушателя произошло нарушение при заполнении одной из таблиц, он должен обратиться к одному из членов организационной группы, находящихся в зале. После записи в бланк двух таблиц слушатели должны переместиться на места, порядковые номера которых на единицу больше номеров тех мест, где они находились. Слушатель, сидевший на последнем по порядку месте, должен переместиться на первое место. После смены мест процедуру прослушивания и записи слоговых таблиц повторяют. Определение разборчивости речи заканчивается, когда все слушатели побывают на всех пронумерованных местах. По окончании работы слушатели должны сдать бланки членам организационной группы.
Б.3 Обязанности дикторов
При чтении полученных у руководителя организационной группы слоговых таблиц дикторы должны располагаться лицом к слушателям. Текст таблиц следует читать четко, с литературным произношением. Дикторы должны зачитывать по одной таблице, после чего делать перерыв примерно на 1 мин, чтобы слушатели смогли провести смену мест. Приступая к чтению очередной таблицы, диктор должен объявить ее номер. Перед каждым слогом таблицы следует произносить фразу: "Запишите, пожалуйста...". Общая продолжительность чтения вводной фразы, слога и последующей паузы должна составлять примерно 3 с. Для того чтобы дикторы усвоили заданные темы и соблюдали необходимую громкость чтения, перед началом работы следует продемонстрировать им магнитную запись чтения таблиц профессиональным диктором или провести с ними тренировку чтения таблицы.
Приложение В
(обязательное)
Протокол определения слоговой разборчивости речи
1 Наименование и назначение зрительного зала ____________________________
2 Дата __________________________________________________________________
3 План зрительного зала (с указанием масштаба), на котором отмечены места
расположения слушателей и дикторов (прилагается к протоколу)
4 Характеристика зрительного зала (объем и число мест)___________________
5 Режим работы зала (естественная акустика, звукоусиление)
нужное подчеркнуть
6 Звуковоспроизведение __________________________________________________
7 Число слушателей и групп слушателей____________________________________
8 Состав организационной группы (Ф.И.О. и должности)_____________________
9 Дикторы (Ф.И.О.)_______________________________________________________
10 Уровень звука, создаваемого речью диктора, дБА________________________
11 Фоновый уровень шума в зале, дБА _____________________________________
12 Номера использованных слоговых таблиц_________________________________
13 Продолжительность определения разборчивости речи______________________
14 Электроакустические системы зала (число и местоположение включенных
микрофонов, расположение диктора, тип используемой системы
громкоговорителей, расположение громкоговорителей)_______________________
_________________________________________________________________________
15 Слоговая разборчивость на выбранных местах (форма 1), средние значения
слоговой разборчивости и среднеквадратичные ошибки на выбранных местах
(форма 2)
_________________________________________________________________________
16 Наименование организации, проводившей определение разборчивости речи
_________________________________________________________________________
17 Подпись руководителя _________________________________________________
Приложение Г
(обязательное)
Форма таблиц результатов определения слоговой разборчивости
Наименование и назначение зрительного зала ______________________________
Дата___________________
Форма 1
|
Номера слушателей
|
Ф.И.О.
|
Слоговая разборчивость, %, на выбранных местах
|
| | | | | | | | | | | | | | | | | | | |
|
1
| | | | | | | | | | | | | | | | | | | | | |
|
2
| | | | | | | | | | | | | | | | | | | | | |
|
3
| | | | | | | | | | | | | | | | | | | | | |
Форма 2
|
Номера групп слушателей
|
Номера мест
|
Средние значения слоговой
разборчивости речи на выбранных местах, %
|
Среднеквадратичные ошибки, %
|
Класс
|
|
1
|
2
|
3
|
4
|
5
|
| | | | |
Приложение Д
(справочное)
Ориентировочные классы средних значений слоговой разборчивости речи в залах
|
Класс
|
Условия слышимости
|
Средние значения слоговой разборчивости речи, %
|
|
I
II
III
IV
|
Отличные
Хорошие
Удовлетворительные
Неудовлетворительные
|
Св. 90
" 80 до 90
" 70 " 80
" 70
|