Утв. Постановлением государственного комитета ссср по стандартам от 12 мая 1976 г. N 1168
Межгосударственный стандарт ГОСТ 21820.3-76
"СЕМЕНА ХЛОПЧАТНИКА. МЕТОДЫ ОПРЕДЕЛЕНИЯ ЗАСОРЕННОСТИ, МЕХАНИЧЕСКОЙ ПОВРЕЖДЕННОСТИ, ОСТАТОЧНОЙ ВОЛОКНИСТОСТИ, ОСТАТОЧНОЙ ОПУШЕННОСТИ И ГОРЕЛОСТИ"
Cotton seed. Methods for determination of impurities, mechanical damage, residual fibrousness, residual pubescence and burning
Дата введения - 1 июля 1977 г.
Информационные данные
1. Разработан и внесен Министерством сельского хозяйства СССР
Разработчики
И.А. Родимцев, Е.И. Варсакина, А.И. Котов
2. Утвержден и введен в действие Постановлением государственного комитета СССР по стандартам от 12.05.76 N 1168
3. Ссылочные нормативно-технические документы
|
Обозначение НТД, на который дана ссылка
|
Номер пункта, подпункта, перечисления, приложения
|
|
ГОСТ 2184-77
|
2.2.1
|
|
ГОСТ 3118-77
|
4.2.1, 4.3
|
|
ГОСТ 6859-72
|
2.2.1
|
|
ГОСТ 9147-80
|
2.2.1
|
|
ГОСТ 12026-76
|
2.2.1
|
|
ГОСТ 18481-81
|
2.2.1
|
|
ГОСТ 21820.0-76
|
1.1.1, 2.1.1, 3.1.1, 4.1.1, 5.1.1
|
|
ГОСТ 25706-83
|
2.2.1
|
|
ОСТ 25 11-38-84
|
2.2.1
|
4. Постановлением Госстандарта от 07.04.92 N 366 снято ограничение срока действия
5. Издание (июнь 2010 г.) с Изменением N 1, утвержденным в марте 1987 г. (ИУС 6-87)
Настоящий стандарт распространяется на семена хлопчатника, предназначенные для посева, и устанавливает методы определения их засоренности, механической поврежденности, остаточной волокнистости, остаточной опушенности и горелости.
1. Определение засоренности семян
1.1. Методы отбора проб
1.1.1. Отбор проб - по ГОСТ 21820.0.
Для определения засоренности семян хлопчатника используют две навески массой по 50 г каждая.
1.2. Аппаратура и материалы
1.2.1. Для проведения анализа применяют:
весы технические квадрантные ВЛТК-500;
весы технические 1-го класса тина Т-1 марки Т1-1;
пинцеты;
розетки пластмассовые;
стекла разборные.
1.3. Проведение анализа
1.3.1. Семена высыпают на разборное стекло и пинцетом выделяют из них отход, к которому относят: щуплые семена с поврежденной кожурой, голые ядра семян или их части, кожуру, части семени хлопчатника размером менее 2/3 семени, семена сорняков и семена других культурных растений, их обломки, живых и мертвых насекомых, их личинки и части, комочки земли, камешки, песок, пыль, свободное волокно, пух, а также другие посторонние включения.
Выделенный отход взвешивают до сотых долей грамма.
1.3.2. При обнаружении в среднем образце перед выделением навесок крупных посторонних примесей (комочков земли, камешков, обломков стеблей, створок коробочек хлопчатника), которые не могут равномерно распределиться по образцу семян, их выбирают и взвешивают до сотых долей грамма.
1.3.3. При обнаружении семян сорных растений их подсчитывают в штуках на 1 кг семян хлопчатника.
При обнаружении карантинных сорняков их подсчитывают по видам.
1.4. Обработка результатов
1.4.1. Засоренность семян в процентах вычисляют, умножая массу отхода в навеске семян на два. За результат анализа принимают среднеарифметическое значение результатов двух определений, вычисленное до десятых долей процента.
1.4.2. При обнаружении в среднем образце крупных примесей, указанных в п. 1.3.2, вычисляют их содержание в процентах и прибавляют полученный результат к результату определения засоренности семян по двум навескам.
Пример. Из среднего образца массой 1000 г выделены створка и комки земли массой 1, 62 г, что составляет 0, 16%. Суммируя 0, 16% с результатом анализа на засоренность двух навесок, например 0, 32%, получаем 0, 48%. После округления засоренность семян - 0, 5%.
1.4.3. Определение засоренности повторяют, если засоренность двух навесок семян отличается от средней на величину, большую указанной в табл. 1.
Таблица 1
|
Средняя засоренность двух навесок семян, %
|
Допускаемые отклонения между двумя навесками, %
|
|
0 - 0, 5
|
0, 2
|
|
0, 6 - 1, 0
|
0, 4
|
|
1, 1 - 2, 0
|
0, 6
|
|
2, 1 - 3, 0
|
0, 8
|
|
3, 1 - 4, 0
|
1, 0
|
|
4, 1 - 5, 0
|
1, 2
|
|
5, 1 - 6, 0
|
1, 4
|
|
6, 1 - 7, 0
|
1, 6
|
|
7, 1 - 8, 0
|
1, 8
|
Если при повторном анализе отклонение между результатами двух определений вновь окажется выше допускаемого, то засоренность семян вычисляют как среднеарифметическое значение результатов анализа всех четырех навесок. Результаты анализа заносят в карточку лабораторного анализа семян хлопчатника, по форме, указанной в приложении. Результат анализа по партии вычисляют как среднеарифметическое значение результатов анализа контрольных единиц семян. Вычисляют результат до десятой доли процента.
2. Определение механической поврежденности семян
2.1. Методы отбора проб
2.1.1. Отбор проб - по ГОСТ 21820.0.
Для определения механической поврежденности семян используют две навески массой по 50 г каждая - семян или по 100 г каждая - семенного хлопка-сырца (в дольках при анализе семенного хлопка-сырца ручного сбора и в летучках - машинного сбора).
При определении механической поврежденности семян вслед за определением их засоренности используют навески, оставшиеся после удаления отхода по п. 1.3.1.
2.2. Аппаратура и материалы
2.2.1. Для проведения анализа применяют:
весы технические лабораторные;
часы песочные 10 и 20-минутные по ОСТ 2511-38-84;
денсиметры по ГОСТ 18481;
набор луп на штативе по ГОСТ 25706;
мензурки на 50 и 250 см3 по ГОСТ 6859;
воронки Бюхнера диаметром 200 мм;
чашки стеклянные с обручами диаметром 25 см;
стаканы фарфоровые вместимостью 400 см3 по ГОСТ 9147;
стекла разборные;
пинцеты;
палочки пластмассовые кислотоустойчивые;
кислоту серную плотностью 1, 84 г/см3 по ГОСТ 2184;
бумагу фильтровальную по ГОСТ 12026;
фартуки клеенчатые;
клеенку;
ткань бязевую;
перчатки резиновые.
2.3. Подготовка к анализу
2.3.1. Из навесок удаляют отход по п. 1.3.1.
2.3.2. Подготовка, к анализу опушенных семян
Семена помещают в фарфоровый стакан, заливают 20 - 30 см3 серной кислоты плотностью 1, 84 г/см3, периодически перемешивают кислотоупорной палочкой до полного сжигания подпушка (примерно 10 мин), затем промывают на воронке Бюхнера чистой водой и слегка просушивают фильтровальной бумагой.
2.3.3. Подготовка к анализу оголенных и дражированных семян
Навеску семян помещают в фарфоровый стакан, заливают 100 мл воды, в течение 10 мин перемешивают 2 - 3 раза, затем промывают водой на воронке Бюхнера, слегка, перетирают в мешочке из бязевой ткани и высыпают на фильтровальную бумагу для удаления свободной влаги.
2.3.4. Подготовка к анализу семенного хлопка-сырца
Семенной хлопок-сырец помещают в стеклянные чашки, заливают 60 мл серной кислоты плотностью 1, 84 г/см3 и периодически перемешивают кислотоупорной палочкой до полного сжигания волокна и подпушка на семенах. Затем промывают водой, слегка, просушивают фильтровальной бумагой и отсчитывают от каждой навески по 500 семян.
2.4. Проведение анализа
Семена хлопчатника во влажном состоянии тщательно просматривают, выделяют и подсчитывают семена, имеющие механические повреждения и без них. К семенам с механическими повреждениями относят:
семена с повреждениями кожуры, через которые видно ядро семени (сквозные проколы кожуры, раковины, дробленые семена);
семена с трещинами на кожуре, заметными при легком нажиме на семя пальцами или ясно видными через лупу;
раздавленные или сплющенные семена с видимым повреждением кожуры;
части семян размером более двух третей семени.
Семена уродливой формы или сросшиеся, но без описанных выше повреждений, семена с царапинами, вмятинами, поверхностными (несквозными) наколами кожуры относят к семенам без механических повреждений.
2.5. Обработка результатов
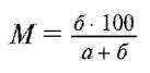
2.5.1. Механическую поврежденность семян (М) в процентах вычисляют по формуле

,
где а - количество семян без механических повреждений, шт.;
б - количество семян с механическими повреждениями, шт.
За результат анализа принимают среднеарифметическое значение результатов двух определений, вычисленное до десятых долей процента.
Анализ повторяют, если разность между результатами определений отличается от средней на величину, большую указанной в табл. 2.
Если при повторном анализе разность между результатами вновь окажется выше допускаемой, то механическую поврежденность семян вычисляют как среднеарифметическое значение результатов анализа всех четырех навесок.
Таблица 2
|
Средняя механическая поврежденность двух навесок семян, %
|
Допускаемое отклонение между двумя навесками, %
|
Средняя механическая
поврежденность двух навесок семян, %
|
Допускаемое отклонение между двумя навесками, %
|
|
0 - 0, 5
|
0, 2
|
6, 1 - 7, 0
|
1, 6
|
|
0, 6 - 1, 0
|
0, 4
|
7, 1 - 8, 0
|
1, 8
|
|
1, 1 - 2, 0
|
0, 6
|
8, 1 - 9, 0
|
2, 0
|
|
2, 1 - 3, 0
|
0, 8
|
9, 1 - 10, 0
|
2, 2
|
|
3, 1 - 4, 0
|
1, 0
|
10, 1 - 15, 0
|
3, 0
|
|
4, 1 - 5, 0
|
1, 2
|
15, 1 - 20, 0
|
3, 8
|
|
5, 1 - 6, 0
|
1, 4
|
20, 1 - 25, 0
|
4, 6
|
Запись результата анализа и вычисление результата анализа по партии семян - по п. 1.4.3.
3. Определение остаточной волокнистости семян
3.1. Методы отбора проб
3.1.1. Отбор проб - по ГОСТ 21820.0.
Для определения остаточной волокнистости семян используют две навески массой по 10 г каждая.
3.2. Аппаратура и материалы
3.2.1. Для проведения анализа применяют:
весы технические 1-го класса типа Т-1 марки Т1-1;
прибор для определения остаточной волокнистости семян хлопчатника марки ПОС или ОВ-10;
пинцеты;
разборные стекла;
розетки пластмассовые.
(Измененная редакция, Изм. N 1).
3.3. Подготовка к анализу
3.3.1. Остатки волокна снимают с семян хлопчатника вручную или на приборе марки ПОС или ОВ-10.
При применении: проба перед закладкой в него семян регулируют объем рабочей камеры прибора шайбами из плексигласа. Для семян с остаточной волокнистостью 0, 5% и менее, прошедших двойное линтерование, в камеру вкладывают три шайбы, для остальных семян - две шайбы, для семян сорта 133 - в камеру вкладывают одну шайбу.
(Измененная редакция, Изм. N 1).
3.4. Проведение анализа
3.4.1. Отделение остатков волокна вручную производят большим и указательным пальцами, не допуская снятия подпушка.
3.4.2. Для отделения остатков волокна механизированным способом семена помещают в рабочую камеру прибора. Плавно вращая ручку прибора ПОС, правой рукой делают 150 оборотов по счетчику; частота вращения - один оборот за 1, 5 - 2 с. Одновременно для лучшего перемешивания семян левой рукой медленно вращают против часовой стрелки внешнюю цилиндрическую стенку рабочей камеры.
На приборе ОВ-10 устанавливается экспозиция работы 3 мин, а для семян сорта 133 - 1 мин.
Хлопковое волокно, накрутившееся на шпиндели, снимают пинцетом.
(Измененная редакция, Изм. N 1).
3.4.3. Отделенное вручную или на приборе волокно взвешивают до сотых долей грамма.
3.5. Обработка результатов
3.5.1. Остаточную волокнистость семян в процентах вычисляют, умножая массу отделенного волокна на 10. За результат анализа принимают среднеарифметическое значение результатов двух определений. Результат вычисляют до десятых долей процента.
3.5.2. Анализ повторяют, если разность между результатами двух определений превышает 0, 2%.
Если при повторном анализе разность между результатами вновь окажется более 0, 2%, то остаточную волокнистость семян вычисляют как среднеарифметическое значение результатов анализа всех четырех навесок.
Запись результата анализа и вычисление результата анализа по партии семян - по п. 1.4.3.
4. Определение остаточной опушенности оголенных семян
4.1. Методы отбора проб
4.1.1. Отбор проб - по ГОСТ 21820.0.
Для определения остаточной опушенности оголенных семян используют две навески массой по 30 г каждая.
4.2. Аппаратура и материалы
4.2.1. Для определения анализа применяют:
весы технические 1-го класса типа Т-1 марки Т1-1;
шкаф сушильный лабораторный, прямоугольный, марки ШС 40 м;
шкаф вытяжной;
горшочки из обожженной пористой глины вместимостью 500 см3;
стекла тарированные;
стекла для покрытия горшочков;
розетки пластмассовые;
мешочки из бязевой ткани;
кислоту соляную по ГОСТ 3118.
4.3. Проведение анализа
В горшочки из обожженной пористой глины наливают соляную кислоту по ГОСТ 3118, через 15 - 20 мин кислоту сливают. По истечении 5 мин после слива кислоты в горшочки насыпают семена, закрывают стеклом и помещают на 30 мин в нагретый до 120 - 130°С сушильный шкаф, установленный в вытяжном шкафу.
После того как горшочки остынут, семена из них высыпают на заранее взвешенные стекла. Стекла с семенами взвешивают до сотых долей грамма, помещают в мешочек из бязевой ткани и легким растиранием в течение 2 - 3 мин отделяют разрушенный парами кислоты линт от семян. Затем семена высыпают на лист черной бумаги, отделяют от семян мелкую шелуху и подпушек и взвешивают оголенные (очищенные от подпушка) семена вместе с шелухой на использованном ранее стекле до сотых долей грамма.
4.4. Обработка результатов
4.4.1. Вычитая из массы семян после обработки парами соляной кислоты массу оголенных семян, определяют массу подпушка.
4.4.2. Остаточную опушенность (О) в процентах вычисляют по формуле

,
где m1 - масса подпушка, г;
m2 - масса навески семян, г;
1, 06 - поправка на влажность.
За результат анализа принимают среднеарифметическое значение результатов двух определений. Результат вычисляют до сотых долей процента.
4.4.3. Анализ повторяют, если разность результатов двух определений превышает 0, 05%. Если при повторном анализе разность результатов вновь окажется более 0, 05%, то остаточную опушенность семян вычисляют как среднеарифметическое значение результатов анализа всех четырех навесок.
Запись результатов анализа и вычисление результата анализа по партии семян - по п. 1.4.3.
5. Метод определения горелости семян
5.1. Методы отбора проб
5.1.1. Отбор проб по ГОСТ 21820.0.
Для определения горелости семян используют две пробы по 100 семян каждая.
5.2. Аппаратура и материалы
5.2.1. Для проведения анализа применяют:
прибор для разрезания семян или скальпель;
розетки пластмассовые;
стекло разборное.
5.3. Подготовка к анализу
5.3.1. Семена разрезают вдоль на приборе для разрезания семян или скальпелем.
5.4. Проведение анализа
5.4.1. Половинки семян осматривают, по окраске ядра делят на здоровые и горелые и подсчитывают количество горелых семян в штуках. К горелым относят семена, имеющие потемневшую окраску ядра: ядро желтого цвета с темно-коричневыми железками, светло-коричневое ядро, темно-коричневое ядро, восковидное ядро, на фоне которого железки почти не видны. При неравномерной окраске ядра его цвет определяют по преобладающей окраске. Ядро здорового семени имеет белый цвет с желтовато-зеленоватым оттенком. Пустые семена в число горелых не включают.
5.5. Обработка результатов
5.5.1. Количество штук горелых семян в пробе составляет горелость семян в процентах.
За результат анализа принимают среднеарифметическое значение результатов двух определений. Вычисление проводят до десятых долей процента.
5.5.2. Анализ повторяют, если разность между результатами двух определений отличается от средней на величину, большую указанной в табл. 3.
Таблица 3
|
Средняя горелость двух проб семян, %
|
Допускаемое отклонение между двумя пробами, %
|
|
0 - 2
|
1
|
|
3 - 5
|
2
|
|
6 - 10
|
4
|
|
11 - 20
|
6
|
|
21 и выше
|
10
|
Если при повторном анализе разность между результатами вновь окажется выше допускаемой, то горелость семян вычисляют как среднеарифметическое значение результатов анализа всех четырех проб.
Запись результатов анализа - по п. 1.4.3.
Результат анализа по партии вычисляют как среднеарифметическое значение результатов анализа контрольных единиц семян. Результат вычисляют до целого числа.
Приложение
Обязательное
Форма записи результатов анализа семян хлопчатника на засоренность, механическую поврежденность, остаточную волокнистость, остаточную опушенность и горелость в карточке лабораторного анализа семян хлопчатника
Засоренность _________________ Дата анализа________________
|
Вид анализа
|
Номер навески
|
Масса отхода, г
|
Засоренность, %
|
|
в навеске
|
средняя
|
|
Основной
|
1
| | | |
|
2
|
|
Повторный
|
1
|
|
2
|
Семена сорняков __________________шт. на 1 кг
Карантинные сорняки (видовые названия, суммарное количество в навесках,
шт.)____________________________________________________________________
Механическая поврежденность семян ________ Дата анализа _________________
|
Вид анализа
|
Номер навески
|
Количество семян в навеске, шт.
|
Механическая поврежденность, %
|
|
всего
|
в том числе механически
поврежденных
|
в пробе
|
средняя
|
|
Основной
|
1
| | | | |
|
2
|
|
Повторный
|
1
|
|
2
|
Остаточная волокнистость семян _____________ Дата анализа_______________
|
Вид анализа
|
Номер навески
|
Масса волокна, снятого с семян, г
|
Остаточная волокнистость, %
|
|
в навеске
|
средняя
|
|
Основной
|
1
| | | |
|
2
|
|
Повторный
|
1
|
|
2
|
Остаточная опушенность семян ___________ Дата анализа ___________________
|
Вид анализа
|
Номер навески
|
Масса, после обжига семян, г
|
Масса семян и шелухи, г
|
Масса подпушка, г
|
Остаточная опушенность, %
|
|
в навеске
|
средняя
|
|
Повторный
|
1
| | | | | |
|
2
|
|
Повторный
|
1
|
|
2
|
Горелость __________________________ Дата анализа _______________________
|
Вид анализа
|
Номер пробы
|
Число семян в пробе, шт.
|
Горелость, %
|
|
здоровых пустых
|
горелых
|
в пробе
|
средняя
|
|
Основной
|
1
| | | | |
|
2
|
|
Повторный
|
1
|
|
2
|