ГОСТ 26573.2-2014 ПРЕМИКСЫ. МЕТОДЫ ОПРЕДЕЛЕНИЯ МАРГАНЦА, МЕДИ, ЖЕЛЕЗА, ЦИНКА, КОБАЛЬТА
Premixes. Methods for determination of manganese, copper, iron, zinc, cobalt
Дата введения - 1 января 2016 г.
Введен впервые
Предисловие
Цели, основные принципы и основной порядок проведения работ по межгосударственной стандартизации установлены ГОСТ 1.0-92 "Межгосударственная система стандартизации. Основные положения" и ГОСТ 1.2-2009 "Межгосударственная система стандартизации. Стандарты межгосударственные, правила и рекомендации по международной стандартизации. Правила разработки, принятия, применения, обновления и отмены".
Сведения о стандарте
1 Подготовлен Открытым акционерным обществом "Всероссийский научно-исследовательский институт комбикормовой промышленности" (ОАО "ВНИИКП")
2 Внесен Межгосударственным техническим комитетом по стандартизации МТК 4 "Комбикорма, белково-витаминные добавки, премиксы"
3 Принят Межгосударственным советом по стандартизации, метрологии и сертификации (протокол от 30 июля 2014 г. N 68-П)
За принятие проголосовали:
|
Краткое наименование страны по МК (ИСО 3166) 004-97 |
Код страны по МК (ИСО 3166) 004-97 |
Сокращенное наименование национального органа по стандартизации |
|
Армения |
AM |
Минэкономики Республики Армения |
|
Беларусь |
BY |
Госстандарт Республики Беларусь |
|
Казахстан |
KZ |
Госстандарт Республики Казахстан |
|
Киргизия |
KG |
Кыргызстандарт |
|
Россия |
RU |
Росстандарт |
4 Приказом Федерального агентства по техническому регулированию и метрологии от 30 сентября 2014 г. N 1254-ст межгосударственный стандарт ГОСТ 26573.2-2014 введен в действие в качестве национального стандарта Российской Федерации с 1 января 2016 г.
5 Настоящий стандарт подготовлен на основе ГОСТ Р 51637-2000
6 Введен впервые
7 Переиздание. Октябрь 2016 г.
Настоящий стандарт распространяется на премиксы и устанавливает фотометрический и атомно-абсорбционный методы определения марганца, меди, железа, цинка и кобальта в следующих диапазонах измерений:
- от 50 до 10000 г/т включ. для марганца (Mn);
- от 250 до 10000 г/т включ. для железа (Fe);
- от 60 до 2500 г/т включ. для меди (Cu);
- от 125 до 10000 г/т включ. для цинка (Zn)
- от 15 до 250 г/т включ. для кобальта (Co).
Данные методы обеспечивают сопоставимость результатов испытаний.
В настоящем стандарте использованы нормативные ссылки на следующие стандарты:
ГОСТ 12.1.004-91 Система стандартов безопасности труда. Пожарная безопасность. Общие требования
ГОСТ 12.1.005-88 Система стандартов безопасности труда. Общие санитарно-гигиенические требования к воздуху рабочей зоны
ГОСТ 12.1.007-76 Система стандартов безопасности труда. Вредные вещества. Классификация и общие требования безопасности
ГОСТ 12.1.018-93 Система стандартов безопасности труда. Пожаровзрывобезопасность статического электричества. Общие требования
ГОСТ 12.1.019-79 Система стандартов безопасности труда. Электробезопасность. Общие требования и номенклатура видов защиты*
ГОСТ 12.2.007.0-75 Система стандартов безопасности труда. Изделия электротехнические. Общие требования безопасности
ГОСТ 12.4.009-83 Система стандартов безопасности труда. Пожарная техника для защиты объектов. Основные виды. Размещение и обслуживание
ГОСТ 12.4.021-75 Система стандартов безопасности труда. Системы вентиляционные. Общие требования
ГОСТ 61-75 Реактивы. Кислота уксусная. Технические условия
ГОСТ OIML R 76-1-2011 Государственная система обеспечения единства измерений. Весы неавтоматического действия. Часть 1. Метрологические и технические требования. Испытания
ГОСТ 199-78 Реактивы. Натрий уксуснокислый 3-водный. Технические условия
ГОСТ 1277-75 Реактивы. Серебро азотнокислое. Технические условия
ГОСТ 1770-74 (ИСО 1042-83, ИСО 4788-80) Посуда мерная лабораторная стеклянная. Цилиндры, мензурки, колбы, пробирки. Общие технические условия
ГОСТ 3118-77 Реактивы. Кислота соляная. Технические условия
ГОСТ 3760-79 Реактивы. Аммиак водный. Технические условия
ГОСТ 4165-78 Реактивы. Медь (II) сернокислая 5-водная. Технические условия
ГОСТ 4204-77 Реактивы. Кислота серная. Технические условия
ГОСТ 4236-77 Реактивы. Свинец (II) азотнокислый. Технические условия
ГОСТ 4453-74 Уголь активный осветляющий древесный порошкообразный. Технические условия
ГОСТ 4461-77 Реактивы. Кислота азотная. Технические условия
ГОСТ 4462-78 Реактивы. Кобальт (II) сернокислый 7-водный. Технические условия
ГОСТ 5457-75 Ацетилен растворенный и газообразный. Технические условия
ГОСТ ИСО 5725-6-2003 Точность (правильность и прецизионность) методов и результатов измерений. Часть 6. Использование значений точности на практике**
ГОСТ 6552-80 Реактивы. Кислота ортофосфорная. Технические условия
ГОСТ 6709-72 Вода дистиллированная. Технические условия
ГОСТ 8864-71 Реактивы. Натрия N, N-диэтилдитиокарбамат 3-водный. Технические условия
ГОСТ 9147-80 Посуда и оборудование лабораторные фарфоровые. Технические условия
ГОСТ 10929-76 Реактивы. Водорода пероксид. Технические условия
ГОСТ 12026-76 Бумага фильтровальная лабораторная. Технические условия
ГОСТ 13496.0-80 Комбикорма, сырье. Методы отбора проб***
ГОСТ 14919-83 Электроплиты, электроплитки и жарочные электрошкафы бытовые. Общие технические условия
ГОСТ 20288-74 Реактивы. Углерод четыреххлористый. Технические условия
ГОСТ 20478-75 Реактивы. Аммоний надсернокислый. Технические условия
ГОСТ 20490-75 Реактивы. Калий марганцовокислый. Технические условия
ГОСТ 22180-76 Реактивы. Кислота щавелевая. Технические условия
ГОСТ 22280-76 Реактивы. Натрий лимоннокислый 5, 5-водный. Технические условия
ГОСТ 22867-77 Реактивы. Аммоний азотнокислый. Технические условия
ГОСТ 24147-80 Аммиак водный особой чистоты. Технические условия
ГОСТ 25336-82 Посуда и оборудование лабораторные стеклянные. Типы, основные параметры и размеры
ГОСТ 27068-86 Реактивы. Натрий серноватистокислый (натрия тиосульфат) 5-водный. Технические условия
ГОСТ 29169-91 (ИСО 648-77) Посуда лабораторная стеклянная. Пипетки с одной отметкой
ГОСТ 29227-91 (ИСО 835-1-81) Посуда лабораторная стеклянная. Пипетки градуированные. Часть 1. Общие требования
ГОСТ 29251-91 (ИСО 385-1-84) Посуда лабораторная стеклянная. Бюретки. Часть 1. Общие требования
ГОСТ 31484-2012 Комбикорма, белково-витаминно-минеральные концентраты, премиксы. Методы определения металломагнитной примеси
Примечание - При пользовании настоящим стандартом целесообразно проверить действие ссылочных стандартов по указателю "Национальные стандарты", составленному по состоянию на 1 января текущего года, и по соответствующим информационным указателям, опубликованным в текущем году. Если ссылочный стандарт заменен (изменен), то при пользовании настоящим стандартом, следует руководствоваться заменяющим (измененным) стандартом. Если ссылочный стандарт отменен без замены, то положение, в котором дана ссылка на него, применяется в части, не затрагивающей эту ссылку.
3.1 При выполнении испытаний необходимо соблюдать требования техники безопасности при работе с химическими реактивами по ГОСТ 12.1.007, требования пожарной безопасности по ГОСТ 12.1.004, ГОСТ 12.1.018 и электробезопасности при работе с электроустановками по ГОСТ 12.1.019.
ГОСТ 12.2.007.0, а также требования, изложенные в технической документации на фотоэлектроколориметр и атомно-абсорбционный спектрофотометр.
3.2 Помещение, в котором проводится выполнение испытаний, должно быть снабжено приточно-вытяжной вентиляцией по ГОСТ 12.4.021 и иметь средства пожаротушения по ГОСТ 12.4.009. Работу необходимо проводить в вытяжном шкафу с использованием резиновых перчаток. Содержание вредных веществ в воздухе не должно превышать допустимых значений по ГОСТ 12.1.005.
3.3 При работе с газовыми баллонами необходимо руководствоваться Правилами устройства и безопасной эксплуатации сосудов, работающих под давлением (ПВ 10-115-96).
3.4 При подготовке и проведении испытаний должны быть соблюдены следующие условия:
- температура окружающей среды ..................... от 15°С до 25°С;
- относительная влажность воздуха .....................не более 80%;
- атмосферное давление ................................(97±10) кПа.
4.1 Отбор проб по ГОСТ 13496.0.
4.2 Из лабораторной пробы премикса, предназначенной к испытанию, предварительно извлекают металломагнитную примесь по ГОСТ 31484.
Операцию повторяют до тех пор, пока на магните не будут собираться частицы металломагнитной примеси.
5.1 Приготовление анализируемого раствора
Анализируемый раствор получают способом сухого озоления анализируемой пробы (см. 5.1.1) или путем мокрого озоления (см. 5.1.2).
5.1.1 Приготовление анализируемого раствора способом сухого озоления
5.1.1.1 Средства измерений, оборудование, материалы и реактивы
Весы неавтоматического действия с пределами допускаемой абсолютной погрешности ±0, 001 г. по ГОСТ OIML R 76-1 или нормативным документам, действующим на территории государства, принявшего стандарт.
Плитка электрическая с закрытой спиралью и регулятором нагрева по ГОСТ 14919.
Печь муфельная электрическая, обеспечивающая поддержание температуры (525±25)°С и (850±50)°С.
Баня водяная с регулируемой температурой.
Палочки стеклянные лабораторные длиной 20 - 25 см по ГОСТ 25336.
Бумага фильтровальная лабораторная по ГОСТ 12026.
Тигли фарфоровые по ГОСТ 9147.
Секундомер.
Щипцы для тиглей муфельные.
Воронки для фильтрования ВФ-1-56(75) ХС по ГОСТ 25336.
Колбы мерные 1(2)-50(100)-2 по ГОСТ 1770.
Пипетки 1(2, 3)-1(2)-2-10(20) по ГОСТ 29251.
Кислота азотная по ГОСТ 4461, ч.д.а.
Водорода пероксид по ГОСТ 10929, ч.д.а.
Кислота соляная по ГОСТ 3118, ч.д.а.
Вода дистиллированная по ГОСТ 6709.
Примечание - Допускается применение других средств измерений с метрологическими характеристиками и оборудования с техническими характеристиками, а также реактивов и материалов по качеству не хуже вышеуказанных.
5.1.1.2 Проведение озоления и растворение золы
В тигель помещают анализируемую пробу премикса массой 1 - 2 г, взвешенную с погрешностью ±0, 001 г. Тигель с пробой ставят на электрическую плитку и нагревают до полного обугливания. Затем тигель переносят в муфельную печь, предварительно доведя в ней температуру до (525±25)°С, и ведут прокаливание не менее 4 ч при вышеуказанной температуре до получения золы серого цвета.
После охлаждения содержимое тигля смачивают 2 см3 дистиллированной воды. При наличии неозолившихся частиц черного цвета содержимое тигля подсушивают на электрической плитке, смачивают несколькими каплями концентрированной азотной кислоты и дополнительно озоляют в муфельной печи в течение 1 - 2 ч при температуре (525±25)°С.
После охлаждения в тигель осторожно по каплям вносят 2 см3 концентрированной соляной кислоты, помещают тигель на кипящую водяную баню или электроплитку и упаривают кислоту до влажных солей. Приливают в тигель 2 см3 концентрированной соляной кислоты, растворяют осадок при нагревании и фильтруют раствор в мерную колбу вместимостью 50 см3, доводя объем в колбе до метки дистиллированной водой.
5.1.2 Приготовление анализируемого раствора способом мокрого озоления
5.1.2.1 Средства измерений, оборудование, материалы и реактивы
Средства измерений, оборудование, материалы и реактивы по 5.1.1.1 со следующим дополнением.
Колбы Кьельдаля ГР-250-29/32 ТС по ГОСТ 25336.
Цилиндры 1(2, 3, 4)-25 по ГОСТ 1770.
Кислота серная по ГОСТ 4204, ч.д.а.
Кислота хлорная.
5.1.2.2 Проведение озоления
Анализируемую пробу премикса массой 2 - 4 г, взвешенную с погрешностью ±0, 001 г. помещают в колбу Кьельдаля и поочередно приливают концентрированные азотную, серную и хлорную кислоты в соотношении 10 : 5 : 1 по объему так, чтобы озоляемая проба была полностью смочена кислотами. Колбу Кьельдаля помещают на электроплитку и нагревают до полного обесцвечивания, периодически добавляя азотную кислоту или пероксид водорода, затем охлаждают при комнатной температуре.
Содержимое колбы разбавляют 20 см3 дистиллированной воды и, фильтруя, переносят в мерную колбу вместимостью 100 см3. Объем раствора в колбе доводят до метки дистиллированной водой и перемешивают.
5.2 Проведение испытания контрольного раствора
Одновременно с испытанием анализируемого раствора проводят испытание контрольного раствора, не содержащего анализируемую пробу, начиная с озоления по 5.1 и далее для каждого определяемого элемента соответственно по 5.3.3, 5.4.3, 5.5.3, 5.6.3, 5.7.3, используя те же реактивы и в тех же количествах.
5.3 Определение марганца
Сущность метода заключается в окислении марганца надсернокислым аммонием и фотометрическом измерении оптической плотности полученного раствора.
5.3.1 Средства измерений, оборудование, материалы и реактивы
Весы неавтоматического действия с пределами допускаемой абсолютной погрешности ±0, 001 г. по ГОСТ OIML R 76-1 или нормативным документам, действующим на территории государства, принявшего стандарт, и весы со значением среднего квадратического отклонения (СКО), не превышающим 0, 03 мг, и погрешностью от нелинейности не более ±0, 06 мг по документации изготовителя.
Фотоэлектроколориметр с пределами измерений оптической плотности от 0 до 1, 3 ед.о.п., основной погрешностью измерений не более 2, 5% и светофильтрами с длиной волны (540±25) нм, (520±25) нм, (440±25) нм и спектрофотометр для измерений в видимой области спектра от 400 до 700 нм.
Баня песчаная или электроплитка по ГОСТ 14919.
Аппарат для встряхивания жидкости, обеспечивающий частоту встряхивания не менее 200 колебаний в минуту.
Центрифуга настольная с частотой вращения 6000 - 8000 об/мин.
Цилиндры 1 (2, 3, 4)-25(100, 1000) по ГОСТ 1770.
Стаканы лабораторные В(Н)-1(2)-100(150) ТХС по ГОСТ 25336.
Воронки В-36(56)-50(80) ХС по ГОСТ 25336.
Пипетки 1(2, 3)-1(2)-2-1(2, 5, 10, 25) по ГОСТ 29227 или 1(2)-2-1 (2, 5, 10) по ГОСТ 29169.
Колбы Кн-1 (2)-250-34 ТХС, Кн-1(2)-50-16(22) ТХС по ГОСТ 25336.
Колбы мерные 1(2)-50(250, 1000)-2 по ГОСТ 1770.
Капельница ЗП-15 ОХС по ГОСТ 25336.
Бумага фильтровальная по ГОСТ 12026 или фильтры обеззоленные (красная лента).
Аммоний надсернокислый по ГОСТ 20478, ч.д.а.
Серебро азотнокислое по ГОСТ 1277, ч.д.а.
Кислота азотная по ГОСТ 4461, ч.д.а.
Кислота серная по ГОСТ 4204 ч.д.а.
Кислота ортофосфорная по ГОСТ 6552, ч.д.а.
Кислота щавелевая по ГОСТ 22180, ч.д.а., или водорода пероксид по ГОСТ 10929, ч.д.а.
Калий марганцовокислый по ГОСТ 20490, ч.д.а., или межгосударственный стандартный образец (МСО) состава раствора марганца массовой концентрации 0, 1 мг/см3 с погрешностью аттестованного значения ±1%.
Вода дистиллированная по ГОСТ 6709.
Примечание - Допускается применение других средств измерений с метрологическими характеристиками и оборудования с техническими характеристиками, а также реактивов и материалов по качеству не хуже вышеуказанных.
5.3.2 Подготовка к испытанию
5.3.2.1 Приготовление раствора серной кислоты с массовой долей 5%
28, 3 см3 концентрированной серной кислоты смешивают с 948 см3 дистиллированной воды.
5.3.2.2 Приготовление основного раствора марганца массовой концентрации 0, 1 мг/см3
(0, 2880±0, 0001) г марганцовокислого калия растворяют в небольшом количестве раствора серной кислоты с массовой долей 5% в мерной колбе вместимостью 1000 см3. Объем раствора в колбе доводят до метки этим же раствором серной кислоты. Полученный раствор обесцвечивают добавлением нескольких капель перекиси водорода или щавелевой кислоты и перемешивают.
Срок хранения раствора при комнатной температуре - не более 3 мес.
Примечание - При наличии МСО состава раствора марганца массовой концентрации 0, 1 мг/см3 данный раствор не готовят.
5.3.2.3 Приготовление раствора азотнокислого серебра с массовой долей 1%
(1, 000±0, 001) г азотнокислого серебра растворяют в 99 см3 дистиллированной воды.
5.3.2.4 Приготовление градуировочных растворов
В семь мерных колб вместимостью 50 см3 помещают основной раствор марганца массовой концентрации 0, 1 мг/см3 в объемах, указанных в таблице 1, и в каждую колбу добавляют по 20 см3 дистиллированной воды.
Растворы готовят в день проведения испытания.
Таблица 1
|
Номер колбы |
Объем основного раствора марганца массовой концентрации 0, 1 мг/см3, см3 |
Масса марганца в градуировочном растворе, мкг |
|
1 |
0 |
0 |
|
2 |
0, 5 |
50 |
|
3 |
1, 0 |
100 |
|
4 |
3, 0 |
300 |
|
5 |
5, 0 |
500 |
|
6 |
6, 0 |
600 |
|
7 |
7, 0 |
700 |
5.3.2.5 Приготовление анализируемого раствора по 5.1.
5.3.3 Проведение испытаний
В зависимости от рецептуры премикса берут объем анализируемого раствора, содержащий от 50 до 700 мкг марганца, помещают его в стеклянный стакан вместимостью 100 см3 и выпаривают досуха на песчаной бане или электроплитке с асбестовой сеткой.
Сухой остаток смачивают каплями концентрированных азотной, а затем серной кислот, избыток которых выпаривают. Обработку повторяют два раза. Затем остаток растворяют в 20 см3 дистиллированной воды температурой от 60°С до 80°С и переносят в мерную колбу вместимостью 50 см3.
Стакан несколько раз обмывают небольшими порциями дистиллированной воды температурой от 60°С до 80°С, которые тоже сливают в мерную колбу.
В колбы с градуировочными растворами и анализируемым раствором вносят 1 см3 ортофосфорной кислоты, 2 см3 раствора азотнокислого серебра с массовой долей 1% и (2, 000±0, 001) г надсернокислого аммония. Содержимое колб нагревают до кипения и при появлении первого пузырька добавляют еще надсернокислый аммоний на кончике скальпеля. После кипячения растворы охлаждают до комнатной температуры, доводят до метки раствором серной кислоты с массовой долей 5% и перемешивают.
Оптическую плотность растворов измеряют на фотоэлектроколориметре относительно первого градуировочного раствора, не содержащего марганец, в кюветах с длиной оптического пути 10 мм при длине волны (540±25) нм, используя соответствующий светофильтр, или на спектрофотометре при длине волны 535 нм.
5.3.4 Обработка результатов измерений - по 5.8.
5.4 Определение меди
Сущность метода заключается в образовании окрашенного комплексного соединения меди с диэтилдитиокарбаматом, экстрагировании его четыреххлористым углеродом и измерении оптической плотности полученного экстракта.
5.4.1 Средства измерений, оборудование, материалы и реактивы
Средства измерений, оборудование, материалы и реактивы по 5.3.1 со следующим дополнением:
Колбы мерные 1(2)-500-2 по ГОСТ 1770.
Воронки делительные ВД-3-2000 ХС и ВД-1(2)-50 ХС по ГОСТ 25336.
Бюретки 1-1(2)-2-50-0, 1 по ГОСТ 29251.
Пробирки с притертой пробкой П-2-20(25)-14/23 ХС по ГОСТ 1770.
Склянки из темного стекла.
Фильтры обеззоленные (белая лента).
Аммоний лимоннокислый трехзамещенный.
Натрия N, N-диэтилдитиокарбамат 3-водный по ГОСТ 8864, ч.д.а.
Углерод четыреххлористый по ГОСТ 20288, ч.д.а.
Кислота соляная по ГОСТ 3118, ч.д.а.
Свинец азотнокислый по ГОСТ 4236, ч.д.а.
Медь сернокислая 5-водная по ГОСТ 4165, ч.д.а., или МСО состава раствора меди массовой концентрации 1 мг/см3 с погрешностью аттестованного значения ±1%.
5.4.2 Подготовка к испытанию
5.4.2.1 Приготовление раствора соляной кислоты молярной концентрации с(НС1) = 0, 3 моль/дм3
26 см3 концентрированной соляной кислоты смешивают в мерной колбе вместимостью 1000 см3 с дистиллированной водой, доводят до метки дистиллированной водой и перемешивают.
5.4.2.2 Приготовление раствора диэтилдитиокарбамата свинца в четыреххлористом углероде (0, 6640±0, 0001) г N, N-диэтилдитиокарбамата натрия 3-водного помещают в делительную воронку вместимостью 2000 см3, приливают 1000 см3 четыреххлористого углерода, прибавляют (0, 4860±0, 0001) г азотнокислого свинца, растворенного в 100 см3 дистиллированной воды, и встряхивают в течение 5 мин.
После разделения фаз нижний слой четыреххлористого углерода с растворенным в нем диэтилтидиокарбаматом свинца фильтруют через сухой фильтр с белой лентой в сухую склянку из темного стекла.
Срок хранения раствора при температуре от 4°С до 6°С - не более 1 мес.
5.4.2.3 Приготовление раствора меди массовой концентрации 1 мг/см3
(1, 9650±0, 0001) г 5-водной сернокислой меди растворяют в дистиллированной воде в мерной колбе в вместимостью 500 см3. В колбу добавляют 10 см3 раствора соляной кислоты молярной концентрации 0, 3 моль/дм3 и объем раствора доводят до метки дистиллированной водой.
Срок хранения раствора при комнатной температуре - не более одного года.
Примечание - При наличии МСО состава раствора меди массовой концентрации 1 мг/см3 данный раствор не готовят.
5.4.2.4 Приготовление основного раствора меди массовой концентрации 10 мкг/см3
25 см3 раствора меди массовой концентрации 1 мг/см3 помещают в мерную колбу вместимостью 250 см3 и доводят до метки раствором соляной кислоты молярной концентрации 0, 3 моль/дм3.
Срок хранения раствора при температуре от 4°С до 6°С - не более 1 мес.
5.4.2.5 Приготовление раствора трехзамещенного лимоннокислого аммония с массовой долей 10%
(100, 000±0, 001) г трехзамещенного лимоннокислого аммония растворяют в 900 см3 дистиллированной воды. Для очистки полученного раствора от меди его помещают в делительную воронку вместимостью 2000 см3, приливают 10 - 20 см3 раствора диэтилдитиокарбамата свинца в четыреххлористом углероде, встряхивают в течение 2 - 3 мин и после разделения фаз отбрасывают нижний слой. Промывание раствором диэтилдитиокарбамата свинца в четыреххлористом углероде повторяют до тех пор, пока нижняя фаза станет бесцветной. Затем очищаемый раствор отмывают от следов диэтилдитиокарбамата свинца, встряхивая его с 10 - 15 см3 четыреххлористого углерода и отбрасывая органическую фазу. Промывку повторяют.
Срок хранения раствора при температуре от 4°С до 6°С - не более 1 мес.
5.4.2.6 Приготовление градуировочных растворов
В шесть делительных воронок вместимостью 50 см3 помещают основной раствор меди массовой концентрации 10 мкг/см3 в объемах, указанных в таблице 2. В каждой делительной воронке объем раствора доводят до 15 см3 раствором соляной кислоты молярной концентрации 0, 3 моль/дм3.
Растворы готовят в день проведения испытания.
Таблица 2
|
Номер делительной воронки |
Объем основного раствора меди массовой концентрации 10 мкг/см3, см3 |
Масса меди в градуировочном растворе, мкг |
|
1 |
0 |
0 |
|
2 |
0, 5 |
5 |
|
3 |
1, 0 |
10 |
|
4 |
2, 0 |
20 |
|
5 |
4, 0 |
40 |
|
6 |
6, 0 |
60 |
5.4.2.7 Приготовление анализируемого раствора по 5.1.
5.4.3 Проведение испытания
В зависимости от рецептуры премикса берут объем анализируемого раствора, содержащий от 5 до 60 мкг меди, помещают его в делительную воронку вместимостью 50 см3. Объем раствора доводят до 15 см3 раствора соляной кислоты молярной концентрации 0, 3 моль/дм3.
В делительные воронки с градуировочными растворами и анализируемым раствором приливают по 5 см3 раствора трехзамещенного лимоннокислого аммония с массовой долей 10%, перемешивают. Прибавляют 15 см3 раствора диэтилдитиокарбамата свинца в четыреххлористом углероде и встряхивают воронки в течение 2 мин. После разделения фаз в воронках нижние слои четыреххлористого углерода сливают в пробирки с притертыми пробками.
Оптическую плотность растворов измеряют в условиях защищенности от прямого солнечного света относительно первого градуировочного раствора, не содержащего медь, в кюветах с длиной оптического пути 10 мм при длине волны (440±40) нм, используя соответствующий светофильтр, или на спектрофотометре при длине волны 436 нм.
5.4.4 Обработка результатов измерений - по 5.8.
5.5 Определение железа
Сущность метода заключается в измерении интенсивности окраски раствора комплексного соединения железа с салициловокислым натрием.
5.5.1 Средства измерений, оборудование, материалы и реактивы
Средства измерений, оборудование, материалы и реактивы по 5.3.1 со следующим дополнением:
Колбы мерные 1(2)-500-2 по ГОСТ 1770.
Натрий салициловокислый.
Аммоний азотнокислый по ГОСТ 22867, ч.д.а.
Квасцы железоаммонийные 12-водные или МСО состава раствора железа массовой концентрации 0, 1 мг/см3 с погрешностью аттестованного значения ±1%.
Кислота уксусная по ГОСТ 61, ч.д.а., раствор уксусной кислоты в соотношении 1 :1 по объему. Аммиак водный по ГОСТ 3760, ч.д.а., раствор аммиака в соотношении 1: 1 по объему.
Кислота соляная по ГОСТ 3118, ч.д.а., раствор соляной кислоты в соотношении 1 : 1 по объему.
5.5.2 Подготовка к испытанию
5.5.2.1 Приготовление раствора азотнокислого аммония с массовой долей 2%,
2 г азотнокислого аммония растворяют в 98 см3 дистиллированной воды.
5.5.2.2 Приготовление запасного раствора
(8, 6350±0, 0001) г 12-водных железоаммонийных квасцов помещают в мерную колбу вместимостью 1000 см3 и растворяют 100 см3 раствора соляной кислоты, добавляют 2 - 3 капли азотной кислоты, доводят до метки дистиллированной водой и тщательно перемешивают.
Срок хранения раствора при комнатной температуре - не более одного года.
Массовую концентрацию железа в приготовленном растворе определяют весовым методом. Для этого 100 см3 раствора помещают в стакан вместимостью 200 см3, прибавляют несколько капель азотной кислоты, нагревают почти до кипения. Затем для осаждения железа прибавляют раствор аммиака до появления слабого запаха. Стакан с осадком гидроксида железа накрывают часовым стеклом, нагревают еще 30 мин, дают осадку осесть и фильтруют еще не остывший раствор через обеззоленный фильтр с красной или белой лентой, сливая сначала прозрачный раствор. Осадок несколько раз промывают раствором азотнокислого аммония, подщелоченным несколькими каплями раствора аммиака и нагретым до температуры 60°С - 80°С. Затем осадок переносят на фильтр, 2 - 3 раза промывают тем же раствором азотнокислого аммония и 3 - 4 раза дистиллированной водой, нагретой до 60°С - 80°С. Фильтр с осадком помещают во взвешенный фарфоровый тигель, ставят в холодную муфельную печь и, постепенно повышая температуру, прокаливают при температуре (850±50)°С до постоянной массы.
Массовую концентрацию железа в запасном растворе, cжз, мг/см3, вычисляют по формуле
,(1)
где mж - масса осадка гидроокиси железа (III), мг;
0, 6994 - коэффициент пересчета массы осадка гидроокиси железа (III) на массу железа (III);
100 - объем запасного раствора, взятый для анализа, см3.
5.5.2.3 Приготовление основного раствора железа массовой концентрации 0, 1 мг/см3
Объем запасного раствора железа, Vжз, см3, необходимый для приготовления требуемого объема основного раствора массовой концентрации 0, 1 мг/см3, вычисляют по формуле
,(2)
где 0, 1 - массовая концентрация основного раствора железа, мг/см3;
Vжо - объем основного раствора железа, см3;
cжз - массовая концентрация железа в запасном растворе, мг/см3.
Требуемый объем основного раствора железа получают доведением вычисленного по формуле (2) объема запасного раствора железа раствором соляной кислоты в соотношении 1 : 1 по объему.
Срок хранения раствора при комнатной температуре - не более 3 мес.
Примечание - При наличии МСО состава раствора железа массовой концентрации 0, 1 мг/см3 данный раствор не готовят.
5.5.2.4 Приготовление раствора салициловокислого натрия с массовой долей 5%
(50, 000 ± 0, 001) г салициловокислого натрия растворяют в 950 см3 дистиллированной воды.
5.5.2.5 Приготовление градуировочных растворов
В семь мерных колб вместимостью 50 см3 помещают основной раствор железа массовой концентрации 0, 1 мг/см3 в объемах, указанных в таблице 3.
Растворы готовят в день проведения испытания.
Таблица 3
|
Номер колбы |
Объем основного раствора железа массовой концентрации 0, 1 мг/см3, мг/см3 |
Масса железа в градуировочном растворе, мкг |
|
1 |
0 |
0 |
|
2 |
0, 5 |
50 |
|
3 |
1, 0 |
100 |
|
4 |
1, 5 |
150 |
|
5 |
2, 0 |
200 |
|
6 |
2, 5 |
250 |
|
7 |
3, 0 |
300 |
5.5.2.6 Приготовление анализируемого раствора по 5.1.
5.5.3 Проведение испытания
В зависимости от рецептуры премикса берут объем анализируемого раствора, содержащий от 50 до 300 мкг железа, и переносят его в мерную колбу вместимостью 50 см3. В колбы с градуировочными растворами и анализируемым раствором прибавляют 20 см3 дистиллированной воды, 10 см3 раствора салициловокислого натрия с массовой долей 5% и перемешивают. Образуется осадок светло-розового цвета. В колбы добавляют по каплям раствор аммиака до полного растворения осадка и перехода окраски в желтоватую. Добавляют еще 2 - 3 капли раствора аммиака и перемешивают. Далее прибавляют по каплям раствор уксусной кислоты до перехода окраски в красный цвет, после чего приливают еще 5 см3 этого же раствора. Объем раствора в колбах доводят до метки дистиллированной водой и перемешивают.
Оптическую плотность растворов измеряют через 1 ч относительно первого градуировочного раствора, не содержащего железа, в кюветах с длиной оптического пути 10 мм при длине волны (540±25) нм, используя соответствующий светофильтр, или на спектрофотометре при длине волны 540 нм.
5.5.4 Обработка результатов измерений - по 5.8.
5.6 Определение цинка
Сущность метода заключается в образовании окрашенного комплексного соединения цинка с дитизоном, экстрагировании его четыреххлористым углеродом и фотометрическом измерении оптической плотности полученного экстракта без удаления избытка дитизона (метод смешанной окраски).
5.6.1 Средства измерений, оборудование, материалы и реактивы
Средства измерений, оборудование, материалы и реактивы по 5.3.1
со следующим дополнением.
Воронки делительные ВД-1-50(100) ХС, ВД-3-250 ХС и ВД-3 1000 по ГОСТ 25336.
Склянки из темного стекла.
Колбы мерные 2-100(250, 500, 1000)-2 по ГОСТ 1770.
Цилиндры мерные 1-10(25, 100, 250, 500, 1000) по ГОСТ 1770.
Воронки В-36(56)-80 ХС и В-150-230 ХС по ГОСТ 25336.
Пипетки с одной отметкой 1(1а, 2, 2а)-2-1(5, 10) по ГОСТ 29169 и пипетки градуированные 1(2, 3, 5)-1(1а, 2, 2а)-2-1(5) по ГОСТ 29227.
Бюретки 1-1(2)-2-100-0, 2 по ГОСТ 29251.
Склянка с пришлифованной пробкой вместимостью 1000 см3.
Фильтры обеззоленные (синяя, белая лента).
Аппарат перегонный стеклянный на шлифах.
Бумага индикаторная универсальная для определения значений от 1 до 10 ед. рН.
Кислота соляная по ГОСТ 3118, ч.д.а., раствор соляной кислоты в соотношении 1 : 1, 1 : 100 и 1 : 1000 по объему.
Натрий уксуснокислый 3-водный по ГОСТ 199, ч.д.а.
Натрий серноватистокислый по ГОСТ 27068, ч.д.а.
Углерод четыреххлористый по ГОСТ 20288, ч.д.а.
Дитизон (дифенилтиокарбазон) (C12H12N4S).
Цинк металлический гранулированный с массовой долей основного вещества 96, 0% или ГСО состава раствора цинка массовой концентрации 1 мг/см3 с погрешностью аттестованного значения ±1%.
Кислота уксусная ледяная по ГОСТ 61, ч.д.а.
Уголь активированный по ГОСТ 4453.
Аммиак водный по ГОСТ 24147, ос.ч., или по ГОСТ 3760, х.ч.
Метиловый оранжевый - индикатор.
5.6.2 Подготовка к испытанию
5.6.2.1 Подготовка посуды
Посуда, используемая при испытании, должна быть обработана хромовой смесью, тщательно промыта под проточной водой и высушена.
5.6.2.2 Приготовление раствора дитизона с массовой долей 0, 01%
10 мг дитизона переносят в мерную колбу вместимостью 100 см3 и растворяют его в дистиллированной воде, доводя объем в колбе водой до метки.
5.6.2.3 Очистка дистиллированной воды от загрязнения цинком (при необходимости)
Очистку воды проводят путем встряхивания 500 см3 дистиллированной воды с 20 см3 раствора дитизона с массовой долей 0, 01%.
Срок хранения подготовленной воды при комнатной температуре - не более 24 ч.
5.6.2.4 Приготовление раствора метилового оранжевого (индикатора) с массовой долей 0, 01%
10 мг метилового оранжевого переносят в мерную колбу вместимостью 100 см3 и растворяют его в дистиллированной воде, доводя объем в колбе водой до метки.
5.6.2.5 Приготовление раствора аммиака с массовой долей 10%
40 см3 водного аммиака растворяют в дистиллированной воде в мерной колбе вместимостью 100 см3, доводя объем в колбе водой до метки.
5.6.2.6 Очистка обеззоленных фильтров от загрязнения цинком
Фильтры, вложенные в воронки, дважды заполняют раствором соляной кислоты в соотношении 1 : 100 по объему, промывают небольшими порциями дистиллированной воды до нейтральной реакции по универсальной индикаторной бумаге и высушивают на воздухе или в сушильном шкафу при температуре не более 95°С.
5.6.2.7 Определение пригодности четыреххлористого углерода для анализа и его очистка (при необходимости)
Пригодность реактива для анализа проверяют следующим образом: примерно 1 мг дитизона растворяют в 100 см3 четыреххлористого углерода и оставляют в закрытой склянке на сутки в темноте при температуре от 5°С до 10°С. Если окраска раствора дитизона остается изумрудно-зеленой, четыреххлористый углерод пригоден для анализа.
Бледно-зеленая или желтая окраска раствора указывает на присутствие в четыреххлористом углероде примесей, разлагающих дитизон. В этом случае четыреххлористый углерод необходимо очистить следующим образом: 500 см3 четыреххлористого углерода помещают в склянку с пришлифованной пробкой вместимостью 1000 см3, добавляют (10, 000±0, 001) г активированного угля, встряхивают в течение 5 мин и фильтруют через бумажный фильтр.
Обработку повторяют с новой порцией активированного угля. Затем четыреххлористый углерод перегоняют в стеклянном перегонном аппарате, собранном на шлифах.
5.6.2.8 Приготовление раствора цинка массовой концентрации 1 мг/см3
(1, 000±0, 001) г гранулированного цинка растворяют в 7 см3 раствора соляной кислоты в соотношении 1 : 1 по объему, в мерной колбе вместимостью 1000 см3, доводят объем раствора в колбе до метки дистиллированной водой и перемешивают.
Срок хранения раствора в склянке при комнатной температуре - не более одного года.
Примечание - При наличии МСО состава раствора цинка массовой концентрации 1 мг/см3 данный раствор не готовят.
5.6.2.9 Приготовление раствора цинка массовой концентрации 100 мкг/см3
В мерную колбу вместимостью 100 см3 пипеткой помещают 10 см3 раствора цинка массовой концентрации 1 мг/см3, доводят до метки раствором соляной кислоты в соотношении 1 : 1000 по объему, и перемешивают.
Срок хранения раствора в склянке при комнатной температуре - не более 3 мес.
5.6.2.10 Приготовление основного раствора цинка массовой концентрации 1 мкг/см3
В мерную колбу вместимостью 100 см3 пипеткой помещают 1 см3 раствора цинка массовой концентрации 100 мкг/см3, доводят до метки раствором соляной кислоты в соотношении 1 : 1000 по объему, и перемешивают.
Раствор готовят в день проведения испытания.
5.6.2.11 Приготовление запасного раствора дитизона
(0, 100 ±0, 001) г дитизона помещают в делительную воронку вместимостью 250 см3, приливают 150 см3 четыреххлористого углерода и энергично встряхивают в течение 10 мин. Раствор фильтруют через бумажный фильтр с синей лентой, очищенный от загрязнения цинком, в мерную колбу вместимостью 500 см3. Доводят объем раствора до метки четыреххлористым углеродом и перемешивают.
Срок хранения раствора в склянке из темного стекла с притертой пробкой при температуре от 5°С до 10°С - не более 1 мес.
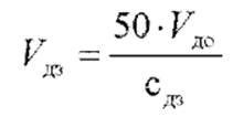
5.6.2.12 Приготовление основного раствора дитизона молярной концентрации 50 мкмоль/дм3
Основной раствор дитизона готовят перед проведением испытания из запасного раствора. Объем запасного раствора дитизона Vдз, см3, необходимый для приготовления требуемого объема основного раствора, вычисляют по формуле
,(3)
где 50 - требуемая молярная концентрация дитизона, мкмоль/см3;
Vдо - требуемый объем основного раствора дитизона, см3;
cдз - молярная концентрация запасного раствора дитизона, мкмоль/дм3.
Требуемый объем основного раствора дитизона получают доведением вычисленного по формуле (3) объема запасного раствора дитизона четыреххлористым углеродом.
Предварительно определяют молярную концентрацию дитизона в запасном растворе. Для этого 1 см3 запасного раствора дитизона помещают в сухую мерную колбу вместимостью 50 см3, доливают до метки четыреххлористым углеродом и перемешивают. Измеряют оптическую плотность полученного раствора относительно четыреххлористого углерода в кювете с длиной оптического пути 10 мм при длине волны 620 нм на спектрофотометре.
Рассчитывают молярную концентрацию дитизона в запасном растворе, cдз, мкмоль/дм3, по формуле
,(4)
где Д - оптическая плотность разбавленного раствора дитизона;
50 - объем разбавленного раствора дитизона, см3;
106 - коэффициент перевода молей в микромоли;
36300 - коэффициент молярной экстинкции дитизона, дм3/(моль см);
Vдз - объем запасного раствора дитизона, взятый для разбавления, равный 1, см3;
I - длина оптического пути, см.
5.6.2.13 Приготовление ацетатного буферного раствора со значением рН, равным 5 ед. рН.
(272, 000 ± 0, 001) г уксуснокислого натрия растворяют в мерной колбе вместимостью 1000 см3 примерно в 500 см3 дистиллированной воды, прибавляют 58 см3 ледяной уксусной кислоты, доводят объем раствора до метки дистиллированной водой и перемешивают.
Полученный раствор очищают от примеси цинка раствором дитизона. Для этого буферный раствор помещают в делительную воронку вместимостью 1000 см3, приливают 5 - 7 см3 запасного раствора дитизона, энергично встряхивают в течение 3 мин и после разделения фаз отбрасывают нижний слой. Операцию повторяют до тех пор, пока дитизон не перестанет менять свою первоначальную окраску. Затем очищаемый раствор отмывают от дитизона, энергично встряхивая его с 5 - 7 см3 четыреххлористого углерода в течение 3 мин и отбрасывая органическую фазу. Промывку повторяют до тех пор, пока четыреххлористый углерод перестанет окрашиваться в зеленый цвет. Раствор фильтруют через бумажный фильтр с белой лентой, очищенный от загрязнения цинком и проверяют значение рН буферного раствора с помощью индикаторной универсальной бумаги.
Срок хранения раствора при температуре от 5°С до 10°С - не более 3 мес.
5.6.2.14 Приготовление раствора серноватистокислого натрия с массовой долей 25%
50, 0 г 5-водного серноватистокислого натрия растворяют в 150 см3 дистиллированной воды и очищают от примеси цинка раствором дитизона также, как и ацетатный буферный раствор по 5.6.2.13.
5.6.2.15 Приготовление маскирующего раствора
В день проведения анализа смешивают ацетатный буферный раствор и раствор серноватистокислого натрия по в соотношении 5 : 1 по объему.
5.6.2.16 Приготовление градуировочных растворов
В шесть делительных воронок вместимостью 50 - 100 см3 помещают основной рабочий раствор цинка массовой концентрации 1 мкг/см3 в объемах, указанных в таблице 4.
В каждой делительной воронке объем раствора доводят до 5 см3 раствором соляной кислоты в соотношении 1:1000 по объему.
Растворы готовят в день проведения испытания.
Таблица 4
|
Номер делительной воронки |
Объем основного раствора цинка массовой концентрации 1 мкг/см3, см3 |
Масса цинка в градуировочном растворе, мкг |
|
1 |
0 |
0 |
|
2 |
1 |
1 |
|
3 |
2 |
2 |
|
4 |
3 |
3 |
|
5 |
4 |
4 |
|
6 |
5 |
5 |
5.6.2.17 Приготовление анализируемого раствора по 5.1.
5.6.3 Проведение испытания
В зависимости от рецептуры премикса анализируемый раствор разбавляют дистиллированной водой так, чтобы массовая концентрация цинка в нем была от 0, 2 до 1, 0 мкг/см3. При мокром способе озоления к анализируемому раствору добавляют 1 - 2 капли раствора метилового оранжевого и из бюретки раствор аммиака до перехода окраски раствора в желтую. При сухом способе озоления в этой операции нет необходимости.
В делительную воронку вместимостью 50 - 100 см3 отбирают 5 см3 анализируемого раствора. Затем в делительные воронки с градуировочными растворами и а# анализируемым раствором приливают по 10 см3 маскирующего раствора. Содержимое воронок тщательно перемешивают. Слабая опалесценция раствора, обусловленная частичным разложением серноватистокислого натрия, не мешает анализу. Добавляют из бюретки по 10 см3 основного раствора дитизона и встряхивают воронки в течение 1 мин.
После разделения фаз оптическую плотность нижнего слоя четыреххлористого углерода, содержащего дитизонат цинка и избыток свободного дитизона, измеряют относительно экстракта из первого раствора сравнения, в который не вносили цинк, на фотоэлектроколориметре при длине волны (540±25) нм, используя соответствующий светофильтр и кювету с длиной оптического пути 10 мм, или на спектрофотометре при длине волны 538 нм.
5.6.4 Обработка результатов измерений - по 5.8.
5.7 Определение кобальта
Сущность метода заключается в проведении цветной реакции с нитрозо-Р-солью и фотометрическом измерении оптической плотности полученного раствора.
5.7.1 Средства измерений, оборудование, материалы и реактивы
Средства измерений, оборудование, материалы и реактивы по 5.3.1
со следующим дополнением.
Баня водяная или плитка электроплитка по ГОСТ 14919.
Стаканы Н-1-50 ТХС по ГОСТ 25336.
Стекла часовые.
Колбы мерные 1(2)-50(100, 1000)-2 по ГОСТ 1770.
Пробирки с притертой пробкой П-2-10-14/23 ХС по ГОСТ 1770.
Штатив для пробирок.
Пипетки с одной отметкой 1(1а, 2, 2а)-2-2(5, 10) по ГОСТ 29169 и пипетки градуированные 1(2, 3, 5)-1(1а, 2, 2а)-2-5 по ГОСТ 29227.
Склянка из темного стекла.
Кислота соляная по ГОСТ 3118, ч.д.а., раствор в соотношении 1 : 10 и 1 : 100 по объему.
Кислота азотная по ГОСТ 4461, ч.д.а.
Нитрозо-Р-соль с массовой долей основного вещества 92%.
Натрий лимоннокислый 5, 5-водный по ГОСТ 22280, ч.д.а.
Натрий уксуснокислый 3-водный по ГОСТ 199, ч.д.а.
Кобальт (II) сернокислый 7-водный по ГОСТ 4462, ч.д.а., или ГСО состава раствора кобальта массовой концентрации 1 мг/см3 с погрешностью аттестованного значения ±1%.
5.7.2 Подготовка к испытанию
5.7.2.1 Приготовление раствора лимоннокислого натрия с массовой долей 20%.
20 г натрия лимоннокислого 5, 5-водного растворяют в 80 см3 дистиллированной воды
5.7.2.2 Приготовление раствора уксуснокислого натрия с массовой долей 40%
40 г натрия уксуснокислого 3-водного растворяют в 60 см3 дистиллированной воды.
5.7.2.3 Приготовление раствора нитрозо-Р-соли с массовой долей 0, 1%
(1, 000±0, 001) г нитрозо-Р-соли растворяют дистиллированной водой в мерной колбе вместимостью 1000 см3 и доводят этой же водой объем раствора до метки.
Срок хранения раствора в склянке из темного стекла при комнатной температуре - не более одного года.
5.7.2.4 Приготовление окрашивающего раствора
Смешивают растворы лимоннокислого натрия, уксуснокислого натрия и нитрозо-Р-соли в соотношении 1 : 1 : 1 по объему.
Раствор готовят в день проведения испытания.
5.7.2.5 Приготовление раствора кобальта массовой концентрации 1 мг/см3
(4, 7690±0, 0001) г 7-водного сернокислого кобальта растворяют дистиллированной водой в мерной колбе вместимостью 1000 см3, доводят объем раствора этой же водой до метки и перемешивают.
Срок хранения раствора при комнатной температуре - не более одного года.
Примечание - При наличии МСО состава раствора кобальта массовой концентрации 1 мг/см3 данный раствор не готовят.
5.7.2.6 Приготовление раствора кобальта массовой концентрации 100 мкг/см3
В мерную колбу вместимостью 100 см3 пипеткой помещают 10 см3 раствора кобальта массовой концентрации 1 мг/см3, доливают до метки раствор соляной кислоты в соотношении 1 : 10 по объему и перемешивают.
Срок хранения раствора при комнатной температуре - не более 3 мес.
5.7.2.7 Приготовление основного раствора кобальта массовой концентрации 5 мкг/см3
В мерную колбу вместимостью 100 см3 пипеткой помещают 5 см3 раствора кобальта массовой концентрации 100 мкг/см3, доливают до метки раствор соляной кислоты в соотношении 1 : 100 по объему и перемешивают.
Раствор готовят в день проведения испытания.
5.7.2.8 Приготовление градуировочных растворов
В пять стаканов вместимостью 50 см3 градуированной пипеткой помещают основной раствор кобальта массовой концентрации 5 мкг/см3 в объемах, указанных в таблице 5. Объемы растворов в стаканах доводят до 5 см3 раствором соляной кислоты в соотношении 1 : 100 по объему.
Растворы готовят в день проведения испытания.
Таблица 5
|
Номер стакана |
Объем основного раствора кобальта массовой концентрации 5 мкг/см3, см3 |
Масса кобальта в градуировочном растворе, мкг |
|
1 |
0 |
0 |
|
2 |
1 |
5 |
|
3 |
2 |
10 |
|
4 |
3 |
15 |
|
5 |
4 |
20 |
По результатам фотометрирования градуировочных растворов строят градуировочный график, где на оси абсцисс откладывают значения массы элемента в градуировочных растворах (микрограммы), а на оси ординат - показатели оптической плотности растворов (единицы оптической плотности).
Градуировку проводят каждый раз при замене используемых растворов реактивов.
5.7.2.9. Приготовление анализируемого раствора по 5.1.
5.7.3 Проведение испытания
В зависимости от рецептуры премикса берут объем анализируемого раствора, содержащий от 5 до 20 мкг кобальта, помещают его в стакан вместимостью 50 см3 и выпаривают досуха на водяной бане или электроплитке. К сухому остатку приливают 5 см3 раствора соляной кислоты. Затем в стаканы с градуировочными растворами и анализируемым раствором приливают по 3 см3 окрашивающего раствора, перемешивают, накрывают часовым стеклом и кипятят на электрической плитке в течение 2 мин или нагревают на кипящей водяной бане в течение 15 мин.
После этого приливают по 2 см3 азотной кислоты и растворы тщательно перемешивают. После охлаждения до комнатной температуры растворы переносят в градуированные пробирки, доливают дистиллированной водой до 10 см3 и перемешивают.
Оптическую плотность полученных растворов измеряют относительно первого градуировочного раствора, не содержащего кобальт, на фотоэлектроколориметре при длине волны (520±25) нм, используя соответствующий светофильтр и кювету с длиной оптического пути 10 мм, или на спектрофотометре при длине волны 520 нм.
Если значение оптической плотности анализируемого раствора выходит за пределы градуировочного графика, испытание повторяют, взяв меньший объем анализируемого раствора.
5.7.4 Обработка результатов измерений - по 5.8.
5.8 Обработка результатов определений
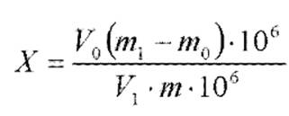
5.8.1 Массовую долю определяемого элемента в анализируемой пробе X, г/т, вычисляют по формуле
,(5)
где V0 - объем анализируемого раствора, полученный по 5.1, см3;
m1 - масса элемента в анализируемом растворе, найденная по градуировочному графику, мкг;
m0 - масса элемента в контрольном растворе, найденная по градуировочному графику, мкг;
106 - коэффициент пересчета граммов в тонны и микрограммов в граммы;
V1 - объем раствора, взятый для анализа по 5.7.3, см3;
m - масса анализируемой пробы, г.
Если анализируемый раствор перед анализом был разбавлен, полученный результат увеличивают во столько раз, во сколько был разбавлен исходный анализируемый раствор.
Результаты вычисляют до третьего десятичного знака и округляют до второго десятичного знака.
При испытании выполняют два параллельных определения, начиная со взятия анализируемой пробы.
За окончательный результат принимают среднеарифметическое значение результатов двух измерений при выполнении условий повторяемости по 7.2.
5.8.2 Результат измерений представляют в виде (
), г/т, где Δ - абсолютная погрешность измерений при доверительной вероятности Р = 0, 95, которую вычисляют по формуле
,(6)
где 0, 01 - коэффициент пересчета процентов;
δ- граница относительной погрешности определений при доверительной вероятности Р = 0, 95 (см. таблицу 7), %.
Сущность метода заключается в сравнении поглощения резонансного излучения свободными атомами элементов, образующимися в пламени при введении в него анализируемого раствора и градуировочных растворов с известными массовыми концентрациями определяемых элементов.
6.1 Средства измерений, оборудование, материалы и реактивы
Спектрофотометр атомно-абсорбционный с пламенной атомизацией со спектральным диапазоном 190 - 800 нм.
Пробирки с притертыми пробками П-2-15(20)-0, 2 ХС по ГОСТ 1770.
Емкости полиэтиленовые вместимостью 1000 см3.
Цилиндры отливные 1(3)-100(250) по ГОСТ 1770.
Колбы мерные 1(2)-50(100, 1000)-2 по ГОСТ 1770.
Пипетки 1(2, 3)-1(2)-2-1(2, 5) по ГОСТ 29227.
Бюретки 1-1(2)-25-0, 02(0, 05, 1, 0) по ГОСТ 29251.
Кислота соляная по ГОСТ 3118, ч.д.а., раствор в соотношении 1 : 40.
Цинк металлический гранулированный с массовой долей основного вещества 96, 0% или МСО состава раствора цинка массовой концентрации 0, 1 мг/см3 с погрешностью аттестованного значения ±1%.
Ацетилен растворенный по ГОСТ 5457 или пропан бытовой.
Калий марганцовокислый по ГОСТ 20490, х.ч. или МСО состава раствора марганца массовой концентрации 0, 1 мг/см3 с погрешностью аттестованного значения ±1%.
Квасцы железоаммонийные 12-водные или МСО состава раствора железа массовой концентрации 0, 1 мг/см3 с погрешностью аттестованного значения ±1%.
Кобальт (II) сернокислый 7-водный по ГОСТ 4462, ч.д.а. или МСО состава раствора кобальта массовой концентрации 1, 0 мг/см3 с погрешностью аттестованного значения ±1%.
Медь сернокислая 5-водная по ГОСТ 4165, ч.д.а., или МСО состава раствора меди массовой концентрации 0, 1 мг/см3 с погрешностью аттестованного значения ±1%.
Вода дистиллированная по ГОСТ 6709 или деионизированная.
Примечание - Допускается применение других средств измерений с метрологическими характеристиками и оборудования с техническими характеристиками, а также реактивов и материалов по качеству не хуже вышеуказанных.
6.2 Подготовка к испытанию
6.2.1 Приготовление основных растворов элементов массовой концентрации 0, 1 мг/см3
6.2.1.1 Приготовление раствора марганца массовой концентрации 0, 1 мг/см3 - по 5.3.2.2.
6.2.1.2 Приготовление раствора меди массовой концентрации 0, 1 мг/см3
Раствор меди массовой концентрации 1 мг/см3 готовят по 5.4.2.3.
Затем 100 см3 полученного раствора переносят в мерную колбу вместимостью 1000 см3 и доводят объем раствора до метки дистиллированной водой.
Примечание - При наличии МСО состава раствора меди массовой концентрации 0, 1 мг/см3 данный раствор не готовят.
6.2.1.3 Приготовление раствора железа массовой концентрации 0, 1 мг/см3- по 5.5.2.3.
6.2.1.4 Приготовление раствора цинка массовой концентрации 0, 1 мг/см3
Раствор цинка массовой концентрации 1 мг/см3 готовят по 5.6.2.8. Затем 100 см3 полученного раствора переносят в мерную колбу вместимостью 1000 см3 и доводят объем раствора до метки дистиллированной водой.
Примечание - При наличии МСО состава раствора цинка массовой концентрации 0, 1 мг/см3 данный раствор не готовят.
6.2.1.5 Приготовление раствора кобальта массовой концентрации 0, 1 мг/см3
Раствор кобальта массовой концентрации 1 мг/см3 готовят по 5.7.2.5.
Затем 100 см3 полученного раствора переносят в мерную колбу вместимостью 1000 см3 и объем раствора доводят до метки дистиллированной водой.
6.2.2 Приготовление градуировочных растворов
В мерные колбы вместимостью 100 см3 из бюретки наливают растворы элементов массовой концентрации 0, 1 мг/см3 в объемах, указанных в таблице 6.
Объемы растворов в колбах доводят до метки дистиллированной водой.
Растворы готовят в день проведения испытания.
По результатам фотометрирования градуировочных растворов строят градуировочный график, где на оси абсцисс откладывают значения массовых концентраций элемента в градуировочных растворах, миллиграмм в 1 дм3, а по оси ординат - соответствующие им показания прибора.
Таблица 6
|
Номер колбы |
Объем основного раствора элемента массовой концентрации 0, 1 мг/см3, см3 |
Массовая концентрация элемента в градуировочном растворе, мг/дм3 | ||||||||
|
марганца |
железа |
меди |
цинка |
кобальта |
марганца |
железа |
меди |
цинка |
кобальта | |
|
1 |
0 |
0 |
0 |
0 |
0 |
0 |
0 |
0 |
0 |
0 |
|
2 |
1 |
1 |
1 |
1 |
1 |
1 |
1 |
1 |
1 |
1 |
|
3 |
2 |
2 |
2 |
2 |
2 |
2 |
2 |
2 |
2 |
2 |
|
4 |
5 |
5 |
5 |
5 |
4 |
5 |
5 |
5 |
5 |
4 |
|
5 |
10 |
10 |
10 |
10 |
6 |
10 |
10 |
10 |
10 |
6 |
|
6 |
15 |
15 |
15 |
15 |
8 |
15 |
15 |
15 |
15 |
8 |
6.3 Проведение испытания
6.3.1 Приготовление анализируемого раствора по 5.1.
6.3.2 Одновременно с испытанием анализируемых растворов проводят испытания контрольных растворов, не содержащих анализируемые пробы, начиная с озоления по 5.1 и далее по 6.3.3.
6.3.3 Определение массовой концентрации элементов в анализируемом растворе
Определение массовой концентрации элементов в анализируемом растворе проводят по следующим аналитическим линиям: марганца - 279, 5; меди - 324, 8; железа - 248, 8; цинка - 213, 9; кобальта - 240, 7 нм.
Для атомизации используют пламя ацетилен-воздух. Для атомизации меди и цинка может быть использовано пламя пропан-воздух, кобальта - пропан-бутан-воздух.
Подготавливают атомно-абсорбционный спектрофотометр (ААС) для испытания в соответствии с инструкцией к нему. При стабильном режиме работы ААС в пламя вводят первый градуировочный раствор, не содержащий определяемый элемент, и устанавливают начало отсчета. Затем вводят в пламя градуировочный раствор максимальной концентрации элемента и устанавливают диапазон шкалы. Снова вводят первый градуировочный раствор и затем остальные градуировочные растворы в порядке возрастания в них массовой концентрации элемента. После градуировочных растворов в пламя вводят анализируемый и контрольный растворы. Для контроля стабильности работы ААС через каждые десять измерений в пламя вводят первый и последний градуировочные растворы. Если при проверке обнаруживаются отклонения показаний более чем на 5%, корректируют настройку прибора и последние 10 анализируемых растворов анализируют снова.
Если показания прибора при измерении анализируемого раствора превышают показания прибора для градуировочного раствора максимальной концентрации, то анализируемый раствор разбавляют раствором соляной кислоты. При таком же разбавлении повторяют и контрольное испытание.
6.4 Обработка результатов
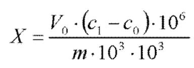
6.4.1 Массовую долю определяемого элемента в анализируемой пробе, X, г/т, вычисляют по формуле
,(7)
где V0 - объем анализируемого раствора, см3;
c1 - массовая концентрация элемента в анализируемом растворе, найденная по градуировочному графику, мг/дм3;
c0 - массовая концентрация элемента в контрольном растворе, найденная по градуировочному графику, мг/дм3;
m - масса анализируемой пробы, г;
106 - коэффициент пересчета граммов в тонны;
103 - коэффициент пересчета кубических сантиметров в кубические дециметры;
103 - коэффициент пересчета миллиграммов в граммы.
Если анализируемый раствор перед анализом был разбавлен, полученный результат увеличивают во столько раз, во сколько раз был разбавлен исходный анализируемый раствор. Результаты вычисляют до третьего десятичного знака и округляют до второго десятичного знака.
При испытании выполняют два параллельных измерения, начиная со взятия анализируемой пробы. За окончательный результат принимают среднеарифметическое значение результатов двух измерений при выполнении условий повторяемости по 7.2.
6.4.2 Представление результатов измерений по 5.8.2.
6.5 Определение массовой доли микроэлементов (марганца, меди, железа, цинка и кобальта) можно проводить с использованием атомно-абсорбционного спектрофотометра с электротермической атомизацией в соответствии с инструкцией к данному прибору.
7.1 Контроль точности результатов испытаний должен соответствовать ГОСТ ИСО 5725-6.
7.2 Приемлемость результатов испытаний, полученных в условиях повторяемости (сходимости)
Абсолютное расхождение между результатами двух отдельных независимых испытаний, полученными одним и тем же методом на одной лабораторной пробе в одной и той же лаборатории одним и тем же оператором на одном и том же экземпляре оборудования в течение короткого промежутка времени при доверительной вероятности Р = 0, 95, не должно превышать предела повторяемости (сходимости), r, приведенного в таблице 7.
Расхождение между результатами двух параллельных измерений должно соответствовать условию
,(8)
где X1 и X2 - результаты параллельных измерений массовой доли элемента, г/т;
0, 01 - коэффициент пересчета процентов;
r - значение предела повторяемости (см. таблицу 7), %.
|
Наименование определяемого элемента |
Диапазон измерений массовой доли элемента, г/т |
Предел повторяемости (сходимости), r, % |
Предел воспроизводимости, R, % |
Границы относительной погрешности при доверительной вероятности Р = 0, 95, ±δ, % |
|
Марганец |
От 50 до 5000 включ. |
10 |
28 |
20 |
|
Св. 5000 " 10000 " |
8 |
20 |
15 | |
|
Медь |
От 60 " 300 " |
15 |
35 |
25 |
|
Св. 300 " 2500 " |
10 |
28 |
20 | |
|
Железо |
От 250 " 500 " |
15 |
33 |
24 |
|
Св. 500 " 10000 " |
10 |
28 |
20 | |
|
Цинк |
От 125 " 500 " |
20 |
33 |
25 |
|
Св. 500 " 10000 " |
28 |
20 | ||
|
Кобальт |
От 15 " 100 " |
20 |
40 |
30 |
|
Св. 100 " 250 " |
15 |
33 |
25 |
При выполнении этого условия приемлемы оба результата измерений и в качестве окончательного может быть использовано их среднеарифметическое значение.
Если это условие не соблюдается, то в соответствии с ГОСТ ИСО 5725-6 лаборатория должна получить еще два результата измерений. При повторном нарушении условий сходимости находят и устраняют причины, приводящие к неудовлетворительным результатам.
7.3 Приемлемость результатов измерений, полученных в условиях воспроизводимости
Абсолютное расхождение между результатами двух отдельных испытаний, полученными одним и тем же методом на идентичных пробах в разных лабораториях разными операторами на различных экземплярах оборудования при доверительной вероятности Р = 0, 95, не должно превышать предела воспроизводимости, R, приведенного в таблице 7.
Расхождение между результатами испытаний, полученными в двух лабораториях, X1лаб и X2лаб, г/т, должно соответствовать условию
(9)
где X1лаб, X2лаб - результаты испытаний, полученные в двух лабораториях, г/т;
0, 01 - коэффициент пересчета процентов;
R - значение предела воспроизводимости (см. таблицу 7), %.
7.4 Для оценки точности измерений не реже одного раза в квартал, а также при смене реактивов и оборудования, применяют метод с использованием государственных стандартных образцов, в которых точно установлено и аттестовано значение массовой доли элементов.
Точность контрольных измерений признают удовлетворительной, если соблюдается условие
,(10)
где
- среднеарифметическое значение результатов двух параллельных измерений массовой доли элемента в стандартном образце, г/т;
Xam - аттестованное значение массовой доли элемента в стандартном образце, г/т;
Δam - абсолютная погрешность аттестации, г/т.
К выполнению измерений и обработке их результатов допускают специалиста, имеющего высшее или среднее специальное образование или опыт работы в химической лаборатории, прошедшего соответствующий инструктаж, освоившего метод в процессе обучения и уложившегося в нормативы оперативного контроля при выполнении процедур контроля точности измерений.
________________________________
* На территории Российской Федерации действует ГОСТ Р 12.1.019-2009 "Система стандартов безопасности труда. Электробезопасность. Общие требования и номенклатура видов защиты".
** На территории Российской Федерации действует ГОСТ Р ИСО 5725-6-2002 "Точность (правильность и прецизионность) методов и результатов измерений. Часть 6. Использование значений точности на практике".
*** На территории Российской Федерации действует ГОСТ Р ИСО 6497-2011 "Корма для животных. Отбор проб".


