Утв. постановлением Госстроя СССР от 2 декабря 1980 г. N 184
Государственный стандарт Союза ССР ГОСТ 21778-81 (СТ СЭВ 2045-79)
"СИСТЕМА ОБЕСПЕЧЕНИЯ ТОЧНОСТИ ГЕОМЕТРИЧЕСКИХ ПАРАМЕТРОВ В СТРОИТЕЛЬСТВЕ. ОСНОВНЫЕ ПОЛОЖЕНИЯ"
System of ensuring of geometrical parameters accuracy in construction. Main principles
Срок введения установлен с 1 июля 1981 г.
Настоящий стандарт распространяется на проектирование и строительство зданий и сооружений, а также на проектирование и изготовление строительных конструкций, деталей и изделий для них и устанавливает основные характеристики точности и основные положения по назначению, технологическому обеспечению, контролю и оценке точности геометрических параметров, обеспечивающие соблюдение функциональных требований к зданиям, сооружениям и их отдельным элементам на всех этапах строительного проектирования и производства.
Установленные настоящим стандартом основные положения развиваются комплексом стандартов Системы обеспечения точности геометрических параметров в строительстве.
В соответствии с требованиями стандартов Системы во вновь разрабатываемых и пересматриваемых стандартах и других нормативно-технических документах на конкретные элементы и конструкции зданий и сооружений, на рабочих чертежах и в технологической документации устанавливают требования к точности конструкций, их элементов и выполнения работ, а также методы и средства технологического обеспечения и контроля точности.
Применяемые в стандарте термины и их определения приведены в обязательном приложении 1.
Стандарт соответствует СТ СЭВ 2045-79 в части, указанной в справочном приложении 2.
1. Характеристики точности
1.1. Точность геометрического параметра х, представляющего собой случайную величину, определяют характеристиками точности. При этом точность угловых величин может быть охарактеризована точностью линейных размеров, которыми определяются эти величины.
Характеристики точности геометрических параметров в строительстве и их взаимосвязь указаны на черт. 1.
Характеристики точности геометрического параметра

Черт. 1
1.2. Точность геометрического параметра х в каждом отдельном случае характеризуется значением действительного отклонения δxi, выражаемого зависимостью:
δxi=xi-xnom, (1)
где xi - действительное значение параметра x;
xnom - номинальное значение параметра.
Действительное отклонение δxi является количественным выражением систематических и случайных погрешностей, накопленных при выполнении технологических операций и измерений.
1.3. Точность геометрических параметров в стандартах и других нормативных документах, а также на рабочих чертежах характеризуется минимальным xmin и максимальным xmax, предельными размерами, нижним δxinf и верхним δxsup, предельными отклонениями от номинального xnom значения, допуском Δx и отклонением δxc середины поля допуска xc от номинального xnom значения параметра х. Половина допуска δx=Δx/2 является предельным отклонением параметра х от середины поля допуска xc.
Взаимосвязь между этими характеристиками точности определяют по формулам:
xmin=xnom+δxinf=xc-δx, (2)
xmax=xnom+δxsup=xc+δx, (3)
Δx=2δx=xmax-xmin=δxsup-δxinf, (4)
. (5)
Примечание. Значения нижнего и верхнего предельных отклонений δxinf и δxsup подставляют в формулы со своими знаками.
1.4. Точность геометрического параметра x в совокупности его действительных значений xi, полученной в результате выполнения определенного технологического процесса или операции массового и серийного производства, определяют статистическими характеристиками точности.
В качестве статистических характеристик точности геометрического параметра применяют его среднее значение mx и среднее квадратическое отклонение σx. В необходимых случаях при различных законах распределения параметра x допускается использовать другие статистические характеристики точности.
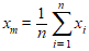
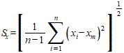
При нормальном распределении геометрического параметра х оценками характеристик mx и σx являются выборочное среднее xm и выборочное среднее квадратическое отклонение Sx, которые вычисляют по формулам:
, (6)
, (7)
где n - объем выборки.
1.5. Систематическое отклонение δmx геометрического параметра x определяют по формуле
δmx=mx-xnom. (8)
Оценкой систематического отклонения δmx при нормальном распределении геометрического параметра является выборочное среднее отклонение δxm, т.е. среднее значение отклонений в выборке, определяемое по формуле
δxm=xm-xnom. (9)
1.6. Предельные значения xmin и xmax устанавливают как значения геометрического параметра x, отвечающие определенным вероятностям появления значений этого геометрического параметра x ниже xmin и выше xmax. Взаимосвязь предельных значений xmin и xmax и статистических характеристик точности mx и σx представлена формулами:
xmin=mx-tminσx, (10)
xmax=mx+tmaxσx, (11)
где tmin и tmax - значения стандартизованной случайной величины, зависящие от вероятности появления значений ниже xmin и выше xmax, и типа статистического распределения параметра x.
Как правило, вероятность появления значений x ниже xmin и выше xmax принимают одинаковой, но не более 0, 05.
Предпочтительные значения величины t при нормальном распределении параметра x в зависимости от допускаемой вероятности появления значений x ниже xmin и выше xmax, характеризуемой приемочным уровнем дефектности по ГОСТ 23616-79, установлены ГОСТ 23615-79.
1.7. В случае симметричного (например нормального) распределения геометрического параметра x (черт. 2) и одинаковой вероятности появления значений xi ниже xmin и выше xmax tmin=tmax=t, а взаимосвязь между характеристиками точности, приведенными в пп. 1.3 и 1.4, представлена формулами:
xc=mx, (12)
xmin=xnom+δxc-δx, (13)
xmax=xnom+δxc+δx. (14)
Если при этом среднее значение mx параметра практически не отличается от его номинального значения xnom, то взаимосвязь характеристик точности характеризуют формулы:
δxc=δmx=0, (15)
-δxinf=δxsup=δx, (16)
xmin=xnom-δx, (17)
xmax=xnom+δx. (18)
Характеристики точности геометрического параметра при нормальном распределении

Черт. 2
2. Назначение точности
2.1. Точность геометрических параметров на всех этапах строительного проектирования и производства следует устанавливать в зависимости от функциональных, конструктивных, технологических и экономических требований, предъявляемых к зданиям, сооружениям и их отдельным элементам.
2.2. Соответствие назначаемой точности функциональным, конструктивным, технологическим и экономическим требованиям устанавливают расчетом точности в соответствии с ГОСТ 21780-76 или другими методами.
2.3. Точность геометрических параметров следует устанавливать посредством характеристик точности, приведенных в п. 1.3. Предпочтительными характеристиками являются предельные отклонения относительно номинального значения параметра х, принимаемых, как правило (при δxc=0), равными по абсолютной величине половине значения соответствующего функционального или технологического допуска, принятого в расчете точности.
Примечание. В обоснованных случаях, при необходимости частичной компенсации возрастающих во времени систематических погрешностей технологических процессов и операций, предельные отклонения должны устанавливаться несимметричными (δxc≠0).
2.4. Функциональными допусками регламентируют точность геометрических параметров в сопряжениях и точность положения элементов в конструкциях.
Номенклатура функциональных допусков установлена ГОСТ 21780-76, а их конкретные значения определяют по формуле (4), в которой xmin и xmax или δxinf и δxsup принимают исходя из функциональных (прочностных, изоляционных или эстетических) требований к конструкциям.
2.5. Технологическими допусками регламентируют точность технологических процессов и операций по изготовлению и установке элементов, а также выполнению разбивочных работ.
Значения допусков в миллиметрах или угловых величинах должны соответствовать числовому ряду:
1; 1, 6; 2, 4; 4; 6; 10 или
1; 1, 2; 1, 6; 2; 2, 4; 3; 4; 5; 6; 8; 10.
Каждое число ряда допускается увеличивать или уменьшать умножением его на десять с показателем степени, равным целому числу.
Номенклатуру и конкретные значения технологических допусков по классам точности процессов и операций следует принимать по ГОСТ 21779-76.
Классы точности выбирают при выполнении расчетов точности в зависимости от принимаемых средств технологического обеспечения и контроля точности и возможностей производства (см. п. 4.5).
3. Технологическое обеспечение точности
3.1. При проектировании зданий, сооружений и их отдельных элементов, разработке технологии изготовления элементов и возведения зданий и сооружений следует предусматривать, а в производстве - применять необходимые средства и правила технологического обеспечения точности.
3.2. Технология изготовления элементов и возведения зданий и сооружений должна соответствовать условиям, принятым при назначении точности.
3.3. Технологические процессы и операции должны содержать в виде составной части контроль установленной точности (входной, операционный и приемочный).
3.4. В зависимости от результатов операционного контроля точности в целях предупреждения брака следует осуществлять регулирование технологических процессов и операций по допускам на настройку оборудования, установленным в технологической документации.
3.5. Точность геометрических параметров зданий, сооружений и их отдельных элементов считают обеспеченной, если установлено, что действительные значения этих параметров соответствуют нормативным и проектным требованиям.
4. Контроль и оценка точности
4.1. Точность геометрических параметров контролируют определением их действительных значений, а также характеристик точности и сопоставлением их с требованиями, установленными в нормативно-технической документации.
4.2. В зависимости от задач контроля, вида контролируемых изделий или операций, а также объемов производства контроль точности устанавливают сплошным или выборочным.
4.3. Правила контроля, в том числе геометрические параметры, выбранные для контроля, средства, методы, условия и число проводимых измерений, а также правила обработки их результатов должны обеспечивать необходимую точность и сопоставимость результатов определения действительных значений параметров и быть установлены в стандартах и другой нормативно-технической документации вместе со значениями характеристик точности.
4.4. Точность геометрических параметров следует контролировать в соответствии с ГОСТ 23616-79.
4.5. Оценку точности геометрического параметра в совокупности его действительных значений, которая может быть обеспечена определенным технологическим процессом или операцией, для отнесения процесса или операции к соответствующему классу точности выполняют на основе результатов контроля и статистического анализа точности по ГОСТ 23615-79.
Приложение 1
Обязательное
Термины и определения
Собираемость конструкций - свойство независимо изготовленных элементов обеспечивать возможность сборки из них конструкций зданий и сооружений с точностью их геометрических параметров, соответствующей предъявляемым к конструкциям эксплуатационным требованиям. Количественной характеристикой собираемости является уровень собираемости, который оценивают долей сборочных работ, выполняемых без дополнительных операций по подбору, пригонке или регулированию параметров элементов.
Взаимозаменяемость элементов - в системе обеспечения точности геометрических параметров в строительстве - свойство независимо изготовленных однотипных элементов обеспечивать возможность применения одного из них вместо другого без дополнительной обработки при заданном уровне собираемости конструкций. Взаимозаменяемость элементов достигается соблюдением единых требований к точности их геометрических параметров.
Точность геометрического параметра - степень приближения действительного значения геометрического параметра к его номинальному значению.
Геометрический параметр - линейная или угловая величина.
Размер - числовое значение линейной величины в выбранных единицах измерения.
Номинальное значение геометрического параметра (номинальный размер для линейной величины) - значение геометрического параметра, заданное в проекте и являющееся началом отсчета отклонений.
Действительное значение геометрического параметра (действительный размер) - значение геометрического параметра, установленное в результате измерения с определенной точностью.
Предельные значения геометрического параметра (предельные размеры) - значения геометрического параметра между которыми должны находиться его действительные значения с определенной вероятностью.
Допуск - абсолютное значение разности предельных значений геометрического параметра.
Поле допуска - совокупность значений геометрического параметра, ограниченная его предельными значениями.
Действительное отклонение геометрического параметра (действительное отклонение размера) - алгебраическая разность между действительным и номинальным значениями геометрического параметра.
Систематическое отклонение геометрического параметра (систематическое отклонение размера) - разность между средним и номинальным значениями геомерического параметра.
Предельное отклонение геометрического параметра (предельное отклонение размера) - алгебраическая разность между предельным и номинальным значениями геометрического параметра.
Верхнее предельное отклонение геометрического параметра (верхнее предельное отклонение размера) - алгебраическая разность между наибольшим предельным и номинальным значениями геометрического параметра.
Нижнее предельное отклонение геометрического параметра (нижнее предельное отклонение размера) - алгебраическая разность между наименьшим предельным и номинальным значениями геометрического параметра.
Отклонение середины поля допуска - алгебраическая разность между серединой поля допуска и номинальным значением геометрического параметра.
Функциональный допуск - допуск геометрического параметра, устанавливающий точность собранной конструкции из условия обеспечения предъявляемых к ней функциональных требований.
Технологический допуск - допуск геометрического параметра, устанавливающий точность выполнения соответствующего технологического процесса или операции.
Класс точности - совокупность значений технологических допусков, зависящих от номинальных значений геометрических параметров.
Каждый класс точности содержит ряд допусков, соответствующих одинаковой степени точности для всех номинальных значений данного геометрического параметра.
Примечание. В стандартах некоторых стран - членов СЭВ вместо термина "Номинальное значение геометрического параметра" применяют термин "Базисное значение геометрического параметра".
Приложение 2
Справочное
Информационные данные о соответствии ГОСТ 21778-81 и СТ СЭВ 2045-79
Четвертый абзац вводной части ГОСТ 21778-80 соответствует вводной части СТ СЭВ 2045-79.
П. 1.1 ГОСТ 21778-81 включает требования п. 1.1 СТ СЭВ 2045-79.
Черт.1 ГОСТ 21778-81 соответствует черт. 1 СТ СЭВ 2045-79.
П. 1.2 ГОСТ 21778-81 включает требования п. 1.2 СТ СЭВ 2045-79.
П. 1.3 ГОСТ 21778-81 включает требования п. 1.3 СТ СЭВ 2045-79.
П. 1.4 ГОСТ 21778-81 включает требования п. 1.4 СТ СЭВ 2045-79.
П. 1.5 ГОСТ 21778-81 соответствует п. 1.5 СТ СЭВ 2045-79.
П. 1.6 ГОСТ 21778-81 включает требования п. 1.6 СТ СЭВ 2045-79.
П. 1.7 ГОСТ 21778-81 включает требования п. 1.7 СТ СЭВ 2045-79.
Черт.2 ГОСТ 21778-81 соответствует черт. 2 СТ СЭВ 2045-79.
П. 2.1 ГОСТ 21778-81 соответствует п. 2.1 СТ СЭВ 2045-79.
П. 2.2 ГОСТ 21778-81 включает требования п. 2.2 СТ СЭВ 2045-79.
П. 2.3 ГОСТ 21778-81 включает требования п. 2.3 СТ СЭВ 2045-79.
П. 2.5 ГОСТ 21778-81 включает требования п. 2.4 СТ СЭВ 2045-79.
Раздел 3 ГОСТ 21778-81 соответствует разделу 3 СТ СЭВ 2045-79.
П. 4.1 ГОСТ 21778-81 соответствует п. 4.1 СТ СЭВ 2045-79.
П. 4.2 ГОСТ 21778-81 соответствует п. 4.2 СТ СЭВ 2045-79.
П. 4.3 ГОСТ 21778-81 включает требования пп. 4.3 и 4.4 СТ СЭВ 2045-79.
Обязательное приложение 1 ГОСТ 21778-81 включает в себя информационное приложение 1 СТ СЭВ 2045-79.
Примечание к обязательному приложению 1 ГОСТ 21778-81 включает в себя данные примечания к п. 1.2 СТ СЭВ 2045-79.