ПНСТ 270-2018 ДОРОГИ АВТОМОБИЛЬНЫЕ ОБЩЕГО ПОЛЬЗОВАНИЯ. ТРАНСПОРТНЫЕ РАЗВЯЗКИ. ПРАВИЛА ПРОЕКТИРОВАНИЯ
Automobile roads of general use. Trafic junctions. Design rules
ОКС 93.080.01
Предисловие
1 Разработан Обществом с ограниченной ответственностью "ТрансИнжПроект" (ООО "ТрансИнжПроект")
2 Внесен Техническим комитетом по стандартизации ТК 418 "Дорожное хозяйство"
3 Утвержден и введен в действие Приказом Федерального агентства по техническому регулированию и метрологии от 5 июня 2018 г. N 9-пнст
Настоящий стандарт распространяется на пересечения автомобильных дорог общего пользования (далее - автомобильные дороги) в разных уровнях (далее - транспортные развязки).
Настоящий стандарт устанавливает правила проектирования при строительстве и реконструкции транспортных развязок.
В настоящем стандарте использованы нормативные ссылки на следующие стандарты:
ГОСТ 33151 Дороги автомобильные общего пользования. Элементы обустройства. Технические требования. Правила применения
ГОСТ 33176 Дороги автомобильные общего пользования. Горизонтальная освещенность от искусственного освещения. Технические требования
ГОСТ 33382 Дороги автомобильные общего пользования. Техническая классификация
ГОСТ 33475 Дороги автомобильные общего пользования. Геометрические элементы. Технические требования
ГОСТ Р 52289 Технические средства организации дорожного движения. Правила применения дорожных знаков, разметки, светофоров, дорожных ограждений и направляющих устройств
Примечание - При пользовании настоящим стандартом целесообразно проверить действие ссылочных стандартов в информационной системе общего пользования - на официальном сайте Федерального агентства по техническому регулированию и метрологии в сети Интернет или по ежегодному информационному указателю "Национальные стандарты", который опубликован по состоянию на 1 января текущего года, и по выпускам ежемесячного информационного указателя "Национальные стандарты" за текущий год. Если заменен ссылочный стандарт, на который дана недатированная ссылка, то рекомендуется использовать действующую версию этого стандарта с учетом всех внесенных в данную версию изменений. Если заменен ссылочный стандарт, на который дана датированная ссылка, то рекомендуется использовать версию этого стандарта с указанным выше годом утверждения (принятия). Если после утверждения настоящего стандарта в ссылочный стандарт, на который дана датированная ссылка, внесено изменение, затрагивающее положение, на которое дана ссылка, то это положение рекомендуется применять без учета данного изменения. Если ссылочный стандарт отменен без замены, то положение, в котором дана ссылка на него, рекомендуется применять в части, не затрагивающей эту ссылку.
В настоящем стандарте применены следующие термины с соответствующими определениями:
3.1 второстепенная дорога: Пересекаемая улица или дорога более низкой категории или функционального класса с меньшей интенсивностью движения.
3.2 интенсивность движения: Количество транспортных средств, проходящих через поперечное сечение автомобильной дороги в единицу времени.
3.3 конфликтная точка: Место, где в одном уровне пересекаются траектории движения автомобилей или автомобилей и пешеходов, а также места слияния и разделения транспортных потоков.
3.4 направленный съезд: Съезд, соединяющий два пересекающихся направления по кратчайшему расстоянию.
3.5 неполное пересечение в разных уровнях: Пересечение в разных уровнях, на котором в пределах второстепенной дороги допускаются конфликтные точки пересечения траекторий.
3.6 переплетение потоков: Процесс встречного перестроения из одной полосы на другую автомобилей, движущихся в одном направлении.
3.7 пересечение дорог в разных уровнях: Вид пересечения автомобильных дорог, на котором транспортные потоки пересекаются в разных уровнях, посредством путепроводов или других искусственных сооружений.
3.8 переходно-скоростная полоса: Полоса движения, устраиваемая для обеспечения разгона (полоса разгона) или торможения (полоса торможения) транспортных средств при выезде из транспортного потока или въезде в транспортный поток, движущийся по основным полосам.
3.9 петлевой съезд: Съезд, имеющий общий угол поворота вправо более 180°.
3.10 полное пересечение в разных уровнях: Пересечение, на котором отсутствуют конфликтные точки пересечения траекторий движения, сохраняются только конфликтные точки слияния, разделения и переплетения транспортных потоков.
3.11 полоса разгона: Переходно-скоростная полоса, служащая для увеличения скорости транспортных средств до скорости транспортного потока по основной полосе движения для свободного вхождения в него.
3.12 полоса торможения: Переходно-скоростная полоса, служащая для снижения скорости транспортных средств при выезде из основной полосы транспортного потока для последующего въезда на другую дорогу.
3.13 поперечный профиль: Изображение в уменьшенном масштабе сечения дороги вертикальной плоскостью, перпендикулярной к ее оси.
Примечание - Элементы поперечного профиля: проезжая часть, обочины, разделительная полоса, водоотводные канавы, откосы и др.
3.14 проезжая часть: Конструктивный элемент автомобильной дороги, предназначенный для движения транспортных средств.
3.15 пропускная способность: Максимальное количество автомобилей, которое может пропустить данный участок дороги или дорога в целом в единицу времени.
Примечание - Пропускная способность обычно измеряется в приведенных к легковому автомобилю единицах в час (прив. авт./ч).
3.16 распределительная проезжая часть: Элемент транспортной развязки, предназначенный для организации зоны переплетения потоков вне основной проезжей части, отделенный от нее дорожным ограждением или устраиваемый на отдельном земляном полотне.
3.17 расстояние видимости для остановки: Наименьшее расстояние видимости для остановки, обеспечивающее видимость любых предметов, имеющих высоту 0,2 м и более, находящихся на середине полосы движения, с высоты глаз водителя автомобиля, равной 1,0 м от поверхности проезжей части.
Примечание - Расстояние видимости наряду с расчетной скоростью является основным параметром для определения геометрических элементов в плане и продольном профиле с учетом поперечного профиля. При проверке расстояния боковой видимости на кривой в плане высота препятствия должна составлять 1,0 м.
3.18 расстояние между транспортными развязками: Расстояние между точкой конца последнего отгона уширения переходно-скоростной полосы разгона одной развязки и началом отгона переходно-скоростной полосы торможения следующей за ней развязки.
Примечание - В случае увеличения количества полос, обусловленного участком переплетения, это расстояние соответствует расстоянию между острыми концами разделительных полос, устраиваемых между съездом и основной проезжей частью.
3.19 расчетная скорость движения: Значение скорости движения одиночного автомобиля при нормальных условиях погоды и сцепления шин автомобилей с поверхностью проезжей части, используемое для определения допустимых параметров элементов плана, продольного и поперечного профиля на сложных участках трассы автомобильной дороги, исходя из условий обеспечения удобства и безопасности дорожного движения.
3.20 съезд: Конструктивный элемент дороги, обеспечивающий возможность поворота автомобиля с одной дороги на другую дорогу.
3.21 транспортная развязка: Инженерное сооружение, устраиваемое на пересечениях и примыканиях дорог, включающее один или несколько путепроводов и систему соединительных ответвлений, обеспечивающих движение пересекающихся транспортных потоков в разных уровнях.
3.22 уровень обслуживания: Комплексный показатель экономичности, удобства и безопасности движения, характеризующий состояние транспортного потока.
3.23 участок слияния транспортных потоков: Участок автомобильной дороги или съезда, в пределах которого расположена конфликтная точка слияния транспортных потоков.
3.24 участок разделения транспортных потоков: Участок автомобильной дороги или съезда, в пределах которого расположена конфликтная точка разделения транспортных потоков.
3.25 участок переплетения транспортных потоков: Участок автомобильной дороги или съезда, в пределах которого расположена конфликтная точка переплетения транспортных потоков.
4.1 Транспортные развязки в разных уровнях следует устраивать на пересечениях между собой автомобильных дорог:
- категорий IA, IБ - с автомобильными дорогами всех категорий;
- категории IB - с дорогами, расчетная интенсивность движения на которых превышает 1000 ед/сут;
- категории IB с числом полос движения шесть и более - с автомобильными дорогами всех категорий;
- категорий II и III - между собой при суммарной расчетной интенсивности движения более 12000 ед/сут.
Местоположение развязок на сети автомобильных дорог следует определять исходя из планировки дорожной сети, с учетом категорий дорог и топографических условий.
Располагать транспортные развязки следует на прямых участках или на кривых радиусом не менее 2000 м на дорогах категорий IA, IB, IB и II и с радиусами 800 м - на дорогах категорий III и IV.
4.2 Проектирование транспортных развязок следует вести из условий обеспечения безопасности и удобства движения по ним, а также с учетом санитарно-гигиенических, противопожарных и экологических требований.
4.3 Проектирование транспортных развязок следует выполнять в соответствии с их стандартными схемами, приведенными в приложении А.
В сложных грунтово-геологических и топографических условиях, в условиях ограничений отвода территорий допускается индивидуальное обоснование схемы транспортной развязки. Окончательный выбор схем транспортных развязок должен обосновываться расчетами их пропускной способности.
4.4 Основные элементы транспортных развязок показаны на рисунке Б.1 (приложение Б).
4.5 Организацию движения в пределах основного направления (главной дороги) необходимо предусматривать в непрерывном режиме. Разделение и примыкание транспортных потоков второстепенных направлений (съездов, распределительных проезжих частей) к главной дороге следует предусматривать справа по ходу движения при помощи решений, указанных в 7.3-7.6, 8.3-8.6.
4.6 Проектирование пересечений в одном уровне, входящих в состав транспортных развязок, следует выполнять по нормам проектирования таких пересечений.
4.7 Обустройство транспортных развязок следует выполнять в соответствии с ГОСТ 33151, освещение - в соответствии с ГОСТ 33176.
5.1 В зависимости от планировочных решений транспортные развязки на пересечениях в разных уровнях следует подразделять на типы:
- полные - 1-го класса;
- неполные - 2-го класса.
5.2 Транспортные развязки 1-го класса следует предусматривать на пересечениях:
- автомагистралей между собой;
- скоростных автомобильных дорог между собой;
- автомагистралей с дорогами категорий IB и II;
- дорог категорий IB и II между собой.
Устройство транспортных развязок 2-го класса допускается на пересечениях с дорогами категорий III-V; при этом не допускаются пересечения в одном уровне основных направлений движения.
6.1 Взаимное расположение транспортных развязок должно обеспечивать минимальное влияние въезжающего и съезжающего транспортного потока на движение транзитных транспортных средств, с этой целью транспортные развязки в разных уровнях необходимо располагать на достаточном расстоянии друг от друга.
6.2 Расстояния между транспортными развязками рекомендуется принимать: не менее 5000 м - на автомагистралях, 3000 м - скоростных автомобильных дорогах. При обосновании допускается расположение транспортных развязок на расстоянии не менее 1000 м.
6.3 С целью обеспечения наименьшего расстояния между двумя близко расположенными транспортными развязками неполного типа могут быть применены планировочные решения с устройством транспортных развязок "неполный клеверный лист" с расположением петлевых съездов во внешних квадрантах (рисунок 1), а также транспортных развязок "разделенный ромб" в случаях, если отсутствующие транспортные связи можно осуществить через второстепенную сеть автомобильных дорог (рисунок 2).

Рисунок 1 - Схема последовательного расположения транспортных развязок "неполный клеверный лист"

Рисунок 2 - Схема последовательного расположения транспортных развязок "ромб"
6.4 В сложных условиях, при невозможности обеспечения минимально допустимого расстояния 1000 м между транспортными развязками, а также развязками и съездами к объектам дорожного и придорожного сервиса, их следует объединять посредством устройства общих участков переплетения. Такие участки переплетения, в зависимости от условий проектирования, могут быть организованы на основном направлении движения (рисунок 3а) или в составе распределительных проезжих частей транспортных развязок (рисунок 3б). Длину таких участков переплетения следует устанавливать в зависимости от расчетной скорости и интенсивности движения по ним в соответствии с разделом 9.

Lп - длина участка переплетения
Рисунок 3 - Схема расположения общих участков переплетения
6.5 В случае, если интенсивность движения не позволяет организовать участок переплетения достаточной длины, может быть использовано планировочное решение с пересекающимися съездами, которое приводит к минимально возможному расстоянию между транспортными развязками. При таком решении транспортные потоки пересекаются на разных уровнях посредством устройства путепровода (рисунок 4).

Рисунок 4 - Схема планировочного решения с пересекающимися съездами
7.1 Проектное решение участков примыкания транспортных потоков должно обеспечивать достаточную пропускную способность и безопасные условия для совершения маневра вливания второстепенного транспортного потока в основной. Расположение участков примыкания транспортных потоков к основным направлениям (главной и второстепенной автомобильной дороге) следует осуществлять с правой стороны по ходу движения.
7.2 Безопасные условия для вливания второстепенного транспортного потока в основной следует обеспечивать устройством полос разгона параллельного типа длиной (Lc), в соответствии с приложением В, где представлены их основные схемы.
7.3 Полосы для разгона типов В1 и В2, представленные на рисунках В.1а) и В.1б), следует применять при необходимости обеспечения неизменного числа полос основного направления движения (главной дороги).
7.4 Полосы для разгона типов В3 и В4, представленные на рисунках В.1в) и В.1г), следует применять при необходимости увеличения числа полос на основном направлении (главной дороге) на одну полосу движения.
7.5 Тип примыкания В5, представленный на рисунке В.1д), следует применять при необходимости увеличения числа полос на основном направлении на две полосы движения.
7.6 Все типы примыканий, за исключением В4 и В5, представленных на рисунках В.1г) и В.1д), должны быть проверены на обеспечение их пропускной способности. Для предварительных расчетов допускается использовать таблицу 1.
|
Уровень обслуживания на главной дороге |
Интенсивность движения на правой полосе главной дороги, прив. авт./ч |
Пропускная способность полосы разгона, прив. авт./ч |
|
А |
400 |
900 |
|
В |
700 |
750 |
|
С, D |
900 |
700 |
|
Е, F |
1000 |
650 |
|
1100 |
600 | |
|
1200 |
550 |
7.7 Длину участков разгона (Lp) переходно-скоростных полос транспортных развязок на участках примыкания транспортных потоков следует принимать в соответствии с таблицей 2.
|
Расчетная скорость основного направления, км/ч |
Длина участка разгона, Lp, м |
|
150 |
250 |
|
120 | |
|
100 |
220 |
|
80 |
200 |
|
60 |
180 |
|
Примечание - При интенсивности грузового движения в пределах примыкающего съезда более 40 % длину участка разгона переходно-скоростной полосы следует принимать - 400 м. | |
7.8 Длину участков отгона (Lотг) переходно-скоростных полос транспортных развязок на участках примыкания транспортных потоков следует принимать в соответствии с таблицей 3.
|
Категория дороги |
Длина отгона, м |
|
IA |
120 |
|
IБ, IВ, II |
80 |
|
III |
60 |
7.9 Ширину полос движения переходно-скоростных полос на участках примыкания транспортных потоков следует принимать равной ширине смежной с ней полосы движения съезда или основного направления.
8.1 Проектное решение участков разделения транспортных потоков должно обеспечивать достаточную пропускную способность, а также распознаваемость съезда водителями транспортных средств. Расположение участков разделений транспортных потоков от основных направлений (главной и второстепенной автомобильной дороги) следует осуществлять с правой стороны по ходу движения.
8.2 Распознаваемость участков разделения транспортных потоков следует обеспечивать путем устройства полос торможения параллельного типа длиной (Lc), а также надлежащей расстановкой указателей направления в соответствии с ГОСТ Р 52289. Основные схемы полос торможения следует планировать в соответствии с приложением Г.
8.3 Полосы торможения типа С1, представленные на рисунке Г.1а), следует применять при интенсивности поворачивающего транспортного потока не более указанного в таблице 4 и неизменном числе полос основного направления движения.
|
Уровень обслуживания |
Пропускная способность, прив. авт./ч, по типам участков разделения транспортных потоков | |
|
С1, С4, С5, С6 |
С2, С3 | |
|
А |
400 |
600 |
|
В |
900 |
1400 |
|
С |
1400 |
2300 |
|
D |
1800 |
2900 |
|
Е |
2000 |
3200 |
Полосы торможения типа С2, представленные на рисунке Г.1б), следует применять при интенсивности поворачивающего транспортного потока не более указанного в таблице 4 и неизменном числе полос основного направления движения.
8.4 Полосы торможения типа С3, представленные на рисунке Г.1в), следует применять при интенсивности поворачивающего транспортного потока не более указанного в таблице 4 на двухполосных и многополосных съездах и необходимости снижения числа полос основного направления на одну полосу движения.
8.5 Тип разделения транспортных потоков С4, представленный на рисунке Г.1г), следует применять при интенсивности поворачивающего транспортного потока не более указанного в таблице 4 и снижении числа полос на основном направлении на одну полосу движения.
Тип разделения транспортных потоков С5, представленный на рисунке Г.1д), следует применять при интенсивности поворачивающего транспортного потока более указанного в таблице 4 и снижении числа полос на основном направлении на одну полосу движения.
8.6 Тип разделения транспортных потоков С6, представленный на рисунке Г.1е), следует применять при интенсивности поворачивающего транспортного потока более указанного в таблице 4 и необходимости снижения числа полос на основном направлении на две полосы движения.
8.7 Длину участков торможения переходно-скоростных полос следует принимать в соответствии с таблицей 5.
|
Расчетная скорость движения на съезде, км/ч |
Расчетная скорость движения основного направления, Vp, км/ч | ||||
|
60 |
80 |
100 |
120 |
150 | |
|
30 |
70 |
90 |
160 |
240 |
250 |
|
40 |
70 |
130 |
210 | ||
|
50 |
90 |
180 | |||
|
60 |
70 |
130 | |||
|
70 |
80 |
240 | |||
|
80 |
70 |
180 | |||
8.8 Длину участков отгона (Lотг) переходно-скоростных полос транспортных развязок на участках разделения транспортных потоков следует принимать в соответствии с таблицей 3.
8.9 Ширину переходно-скоростных полос на участках разделения транспортных потоков следует принимать равной ширине смежной с ней полосы движения съезда или основного направления.
9.1 Участки переплетения транспортных потоков следует устраивать при необходимости одновременной встречной смены полос движения автомобилями, движущимися по соседним полосам проезжей части.
9.2 На транспортных развязках типа "клеверный лист", устраиваемых на автомагистралях и скоростных дорогах при расчетной скорости 100 км/час и более, следует предусматривать распределительную проезжую часть, как показано на рисунке Б.1 (приложение Б).
Основными параметрами, определяющими планировочное решение участков переплетения, являются количество полос движения и их ширина, а также длина участка переплетения (Lп) (рисунок 5).

Рисунок 5 - Участок переплетения транспортных потоков
9.3 Ширину полосы движения на участках переплетения следует принимать равной ширине смежной с ней полосы движения основного направления.
9.4 Длину участков переплетения транспортных потоков следует назначать в соответствии с расчетом их пропускной способности, но принимать не менее указанных в таблице 6 значений. При меньших длинах участков переплетения в составе основных направлений движения следует предусматривать устройство распределительной проезжей части.
|
Расчетная скорость движения Vp, км/ч |
Длина зоны переплетения Lп, м |
|
150 |
900 |
|
120 |
450 |
|
100 |
350 |
|
80 |
200 |
|
60 |
120 |
10.1.1 Тип поперечного профиля и количество полос движения на участках автомобильных дорог основных направлений, входящих в состав транспортных развязок, следует назначать по ГОСТ 33475 в соответствии с их технической категорией по ГОСТ 33382.
10.1.2 Количество полос движения на съездах транспортных развязок n следует назначать на основании расчетов по формуле (1), округляя значения в большую сторону, а также с учетом количества полос в соответствии с 7.3-7.6, 8.3-8.6.
,
(1)
где N - перспективная интенсивность движения в час пик, прив. авт./ч;
Р - пропускная способность полосы движения, прив. авт./ч;
z - коэффициент загрузки дороги (съезда) движением.
10.1.3 Коэффициент загрузки дороги (съезда) движением необходимо принимать в соответствии с таблицей 7, при отсутствии данных об уровне обслуживания, коэффициент загрузки допускается принимать - 0,7.
|
Уровень обслуживания |
Коэффициент загрузки z | |
|
более |
не более | |
|
А |
- |
0,2 |
|
В |
0,2 |
0,45 |
|
С |
0,45 |
0,7 |
|
D |
0,7 |
0,9 |
|
Е |
0,9 |
1,0 |
|
F |
1,0 |
- |
10.1.4 Пропускную способность одной полосы движения проезжей части дороги (съезда) следует определять расчетом.
10.1.5 Ширину полосы движения однополосных съездов и распределительных проезжих частей следует принимать 4,5 м без дополнительных уширений на кривых в плане.
10.1.6 Ширину каждой полосы движения проезжей части многополосных съездов и распределительных проезжих частей следует принимать 3,5 м.
10.1.7 Проезжую часть многополосных съездов на кривых в плане необходимо уширять. Величину уширения одной полосы движения в зависимости от радиуса кривой в плане и длины транспортного средства следует принимать по таблице 8.
Таблица 8
|
Радиусы кривых в плане, м |
Значение уширения для автомобилей и автопоездов с расстоянием от переднего бампера до задней оси автомобиля или автопоезда - 13 м* |
|
850 |
0,2 |
|
650 |
0,25 |
|
575 |
0,3 |
|
425 |
0,35 |
|
325 |
0,4 |
|
225 |
0,5 |
|
140 |
0,7 |
|
95 |
0,9 |
|
80 |
1,0 |
|
70 |
1,1 |
|
60 |
1,4 |
|
50 |
1,5 |
|
40 |
1,75 |
|
30 и менее |
Расчет |
|
* При иных расстояниях от переднего бампера до задней оси автомобиля или автопоезда допускается индивидуальное обоснование значения уширения. | |
10.1.8 Съезды транспортных развязок длиной 500 м и более следует проектировать с двумя и более полосами движения, независимо от интенсивности движения по ним, за исключением петлеобразных съездов пересечений типа "клеверный лист".
10.1.9 При проектировании съездов противоположных направлений на общем земляном полотне на разделительной полосе следует предусматривать установку барьерного ограждения.
10.1.10 Для съездов и распределительных проезжих частей, не имеющих в своем составе барьерных ограждений, ширину обочин следует принимать 2,0 м, в том числе краевых полос - 0,5 м (рисунки Д.1, Д.2). При обосновании (необходимость устройства технических проходов, тротуаров, элементов инженерного обеспечения, остановочных полос, дорожных ограждений и др.) допускается индивидуальное обоснование ширин обочин.
10.2.1 Проектирование плана и продольного профиля съездов транспортных развязок следует производить из условия наименьшего ограничения и изменения скорости, а также обеспечения безопасности и удобства движения.
10.2.2 Расчетную скорость движения на прямых и полупрямых съездах следует назначать в зависимости от расчетной скорости по основному направлению с наибольшей интенсивностью движения в соответствии с таблицей 9, а для левоповоротных съездов - в соответствии с таблицей 10.
|
Расчетная скорость движения, км/ч | ||
|
на основном направлении движения |
на съездах | |
|
основная |
минимально допустимая* | |
|
150 |
60-80 |
40 |
|
120 |
50-80 | |
|
100 | ||
|
80 |
50-60 | |
|
60 и менее | ||
|
* Допускается на особо трудных участках горной местности; на участках, проходящих по особо ценным земельным угодьям и в условиях реконструкции. | ||
|
Тип транспортной развязки |
Расчетная скорость, км/ч |
|
Все типы в условиях нового строительства |
40-50 |
|
Все типы в сложных условиях, в т.ч. горные и условия реконструкции |
30 |
10.2.3 При назначении элементов плана и продольного профиля съездов транспортных развязок, в качестве основных параметров следует принимать указанные в таблице 11.
|
Расчетная скорость, км/ч |
Наибольший продольный уклон, ‰ |
Наименьшие радиусы кривых в плане, м |
Наименьшие радиусы кривых в продольном профиле, м | |||
|
основные |
в горной местности |
выпуклых |
вогнутых |
вогнутых в горной местности | ||
|
80 |
60 |
300 |
250 |
5000 |
2000 |
1000 |
|
60 |
150 |
125 |
2500 |
1500 |
600 | |
|
50 |
100 |
100 |
1500 |
1200 |
400 | |
|
40 |
60 |
60 |
1000 |
1000 |
300 | |
|
30 |
30 |
30 |
600 |
600 |
200 | |
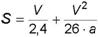
10.2.4 Наименьшее расстояние видимости следует определять расчетом по формуле
,
(2)
где S - расстояние видимости, м;
V - расчетная скорость движения, км/ч;
а = 3,4 м/с2 - замедление при торможении.
При проверке расстояния видимости на участке кривой в плане необходимо учитывать наличие элементов обустройства дороги (барьерных ограждений, шумозащитных экранов). При этом должна быть обеспечена видимость препятствия на середине полосы движения высотой 1,0 м.
10.2.5 Переходные кривые следует предусматривать при радиусах кривых в плане 2000 м и менее. Наименьшие длины переходных кривых следует принимать в соответствии с таблицей 12. Допускается индивидуальное обоснование длин переходных кривых, принимая нарастание центробежного ускорения не более 1,0 м/с3. Допускается сопряжение кривых в плане без устройства переходных кривых при соотношении их радиусов не более 1,3.
Таблица 12
|
Радиус круговой кривой, м |
30 |
50 |
60 |
80 |
100 |
150 |
200 |
250 |
300 |
400 |
500 |
600-1000 |
1000-2000 |
|
Длина переходной кривой, м |
30 |
35 |
40 |
45 |
50 |
60 |
70 |
80 |
90 |
100 |
110 |
120 |
100 |
10.2.6 Наибольшие продольные уклоны на участках кривых в плане малых радиусов следует уменьшать по сравнению с нормами таблицы 11 согласно таблице 13.
Таблица 13
|
Радиус кривой в плане, м |
50 |
45 |
40 |
35 |
30 |
|
Уменьшение наибольших продольных уклонов относительно норм, указанных в таблице 11, ‰, не менее |
10 |
15 |
20 |
25 |
30 |
10.2.7 Сумма продольного и поперечного уклона проезжей части должна составлять не менее 4 ‰.
10.2.8 Односкатный поперечный профиль закругления (вираж) следует предусматривать при радиусах кривизны меньше, чем 2000 м. Уклоны виража на всем участке круговой кривой назначают в зависимости от радиусов кривизны по таблице 14.
Таблица 14
|
Радиусы кривых в плане, м |
Поперечный уклон проезжей части на виражах, ‰ | |
|
основной |
в районах с частым гололедом | |
|
От 2000 до 1000 |
25-40 |
20-30 |
|
" 1000 " 800 |
30-50 |
30-40 |
|
" 800 " 700 |
30-50 |
30-40 |
|
" 700 " 650 |
40-50 |
40 |
|
650 и менее |
60 | |
|
Примечания 1 Меньшие значения поперечных уклонов на виражах соответствуют большим радиусам кривых, а большие значения - меньшим радиусам. 2 К районам с частой гололедицей относятся районы, в которых обледенение покрытия проезжей части автомобильных дорог при понижении температуры (ниже 0 °С) после оттепели и осаждения атмосферной влаги на охлажденную поверхность составляет более 10 дней в году. | ||
10.3.1 С целью обеспечения последовательного изменения режимов движения и приведения их в соответствие с изменяющимися дорожными условиями при проектировании транспортных развязок следует выполнять требования по взаимному расположению участков слияния и разделения транспортных потоков. Выполнение этих требований заключается в обеспечении минимальных расстояний между смежными участками слияния и разделения транспортных потоков.
Примечание - Расстояние между участками примыкания и разделения транспортных потоков - расстояние между острыми концами разделительных полос, устраиваемых между этими элементами.
10.3.2 Минимальные расстояния между последовательно расположенными въездами и съездами транспортных развязок следует принимать по таблице 15.
|
Схема взаимного расположения участков примыкания и разделения транспортных потоков |
Минимальная длина участка L, м, на элементах транспортных развязок | ||
|
Съезды в составе транспортной развязки полного типа |
Съезды в составе транспортной развязки неполного типа | ||
|
240 |
180 | |
|
120 | ||
Приложение А
(рекомендуемое)
|
Наименование |
Схема транспортной развязки |
Условия применения |
|
Пересечения | ||
|
Транспортная развязка типа "клеверный лист" |
|
Интенсивность поворачивающих направлений в каждой из зон переплетений транспортных потоков не более 800 авт./ч. |
|
Транспортная развязка с направленными и петлевыми съездами |
|
Соотношение интенсивностей поворачивающих направлений не позволяет выполнить устройство транспортных развязок типа "клеверный лист" |
|
Транспортная развязка с направленными съездами |
|
Стесненные условия. Соотношение интенсивностей поворачивающих направлений не позволяет выполнить устройство транспортных развязок типа "клеверный лист" |
|
Примыкания | ||
|
Примыкание типа "труба" |
|
Во всех случаях, кроме рассмотренных ниже |
|
Примыкание с петлевыми съездами |
|
Устройство примыканий с учетом перспективного развития |
|
Примыкание с направленными съездами |
|
Стесненные условия для устройства примыкания типа "труба" |
|
Наименование |
Схема транспортной развязки |
Условия применения |
|
Пересечения | ||
|
Пересечение типа "ромб" |
|
Интенсивность каждого из левоповоротных направлений позволяет устройство пересечений в одном уровне на второстепенном направлении движения |
|
Интенсивность каждого из левоповоротных направлений позволяет устройство кольцевых пересечений в одном уровне на второстепенном направлении движения | |
| ||
|
Пересечение типа "совмещенный неполный клеверный лист" |
|
Интенсивность каждого из левоповоротных направлений позволяет устройство пересечений в одном уровне и стесненные условия в диагональных четвертях |
|
Интенсивность каждого из левоповоротных направлений позволяет устройство пересечений в одном уровне и стесненные условия в соседних четвертях | |
|
Пересечение типа "неполный клеверный лист" |
|
Интенсивность одного из левоповоротных направлений не позволяет устройство пересечения в одном уровне |
|
Интенсивность двух из левоповоротных направлений в диагональных четвертях не позволяет устройство пересечения в одном уровне | |
|
Пересечение типа "неполный клеверный лист" |
|
Интенсивность двух из левоповоротных направлений в соседних четвертях не позволяет устройство пересечения в одном уровне* |
|
Интенсивность трех из левоповоротных направлений в соседних четвертях не позволяет устройство пересечения в одном уровне* | |
|
Примыкания | ||
|
Примыкание типа "труба"** |
|
Во всех случаях, кроме рассмотренных ниже |
|
Примыкание типа "ромб" |
|
Стесненные условия либо устройство примыканий с учетом перспективного развития |
|
Примыкание с петлевыми съездами** |
|
Устройство примыканий с учетом перспективного развития |
|
* С учетом обеспечения пропускной способности каждой из зон переплетения - 800 физ. авт./ч. ** Относятся к примыканиям 1-го класса, используются для организации примыканий автомобильных дорог категорий I-III (при обосновании - IV) к автомагистралям и скоростным автомобильным дорогам. | ||
Приложение Б
(рекомендуемое)

1 - основное направление движения; 2 - съезды транспортной развязки; 3 - зона (участок) разделения транспортных потоков; 4 - зона (участок) слияния транспортных потоков; 5 - распределительная проезжая часть; 6 - второстепенное направление движения; 7 - пересечение в одном уровне; 8 - путепровод; 9 - зона переплетения транспортных потоков
Рисунок Б.1 - Основные элементы транспортной развязки
Приложение В
(обязательное)

а) Тип В.1

б) Тип В.2

в) Тип В.3

г) Тип В.4

д) Тип В.5
Рисунок В.1 - Основные схемы организации участков примыкания транспортных потоков
Приложение Г
(обязательное)

а) Тип С.1

б) Тип С.2

в) Тип С.3

г) Тип С.4

д) Тип С.5

е) Тип С.6
Рисунок Г.1 - Основные схемы организации участков разделения транспортных потоков
Приложение Д
(рекомендуемое)

Рисунок Д.1 - Принципиальное решение поперечного профиля однополосного съезда транспортной развязки

Рисунок Д.2 - Принципиальное решение поперечного профиля двухполосного съезда транспортной развязки


