ПНСТ 264-2018 СИСТЕМА УПРАВЛЕНИЯ ТЕХНИЧЕСКИМ СОДЕРЖАНИЕМ ОБЪЕКТОВ ИНФРАСТРУКТУРЫ ЖЕЛЕЗНОДОРОЖНОГО ТРАНСПОРТА. ОБЩИЕ ПОЛОЖЕНИЯ
Maintenance management system of objects of railway transport infrastructure. General provisions
ОКС 03.220.30
Срок действия - с 1 октября 2018 г. до 1 октября 2021 г.
Предисловие
1 Разработан Акционерным обществом "Научно-исследовательский и проектно-конструкторский институт информатизации, автоматизации и связи на железнодорожном транспорте" (АО "НИИАС")
2 Внесен Техническим комитетом по стандартизации ТК 45 "Железнодорожный транспорт"
3 Утвержден и введен в действие Приказом Федерального агентства по техническому регулированию и метрологии от 27 марта 2018 г. N 2-пнст
Введение
Настоящий стандарт содержит описание основных элементов системы управления техническим содержанием (техническим обслуживанием и ремонтами) объектов инфраструктуры железнодорожного транспорта в соответствии с подходом, который учитывает надежность технических средств и риски принятия решений о назначении ремонтов.
Стандарт предназначен для применения руководителями, инженерно-техническим персоналом, ответственными в структурных подразделениях владельца инфраструктуры за планирование и осуществление технического содержания, ведение системы управления рисками.
Применение подхода к управлению техническим содержанием на основе надежности и рисков позволяет учитывать международный опыт в области технического содержания технических средств, учесть риски, связанные с обеспечением безопасности, здоровья людей и защиты окружающей среды, повысить эффективность технического содержания и, как следствие, повысить эффективность производственной деятельности владельца инфраструктуры.
Настоящий стандарт устанавливает цели, основные функции, основные элементы и принципы функционирования системы управления техническим содержанием объектов инфраструктуры железнодорожного транспорта (далее - объектов инфраструктуры), в том числе порядок планирования технического обслуживания, ремонта, оценки производственной деятельности структурных подразделений владельца инфраструктуры.
Настоящий стандарт распространяется на следующие объекты инфраструктуры:
- участки железнодорожного пути;
- устройства железнодорожного электроснабжения;
- устройства и системы железнодорожной автоматики и телемеханики;
- устройства и системы железнодорожной электросвязи.
В настоящем стандарте использованы нормативные ссылки на следующие стандарты:
ГОСТ 27.310 Надежность в технике. Анализ видов, последствий и критичности отказов. Основные положения
ГОСТ 18322 Система технического обслуживания и ремонта техники. Термины и определения
ГОСТ 32192 Надежность в железнодорожной технике. Основные понятия. Термины и определения
ГОСТ 33433 Безопасность функциональная. Управление рисками на железнодорожном транспорте
ГОСТ 33886 Железнодорожный путь. Номенклатура показателей надежности и функциональной безопасности
ГОСТ 33947 Железнодорожное электроснабжение. Номенклатура показателей надежности и функциональной безопасности
ГОСТ Р 27.202 Надежность в технике. Управление надежностью. Стоимость жизненного цикла
ГОСТ Р 27.601 Надежность в технике. Управление надежностью. Техническое обслуживание и его обеспечение
ГОСТ Р 27.606 Надежность в технике. Управление надежностью. Техническое обслуживание, ориентированное на безотказность
ГОСТ Р ИСО 9001 Системы менеджмента качества. Требования
Примечание - При пользовании настоящим стандартом целесообразно проверить действие ссылочных стандартов в информационной системе общего пользования - на официальном сайте Федерального агентства по техническому регулированию и метрологии в сети Интернет или по ежегодному информационному указате-
циональные стандарты", который опубликован по состоянию на 1 января текущего года, и по выпускам ежемесячного информационного указателя "Национальные стандарты" за текущий год. Если заменен ссылочный стандарт, на который дана недатированная ссылка, то рекомендуется использовать действующую версию этого стандарта с учетом всех внесенных в данную версию изменений. Если заменен ссылочный стандарт, на который дана датированная ссылка, то рекомендуется использовать версию этого стандарта с указанным выше годом утверждения (принятия). Если после утверждения настоящего стандарта в ссылочный стандарт, на который дана датированная ссылка, внесено изменение, затрагивающее положение, на которое дана ссылка, то это положение рекомендуется применять без учета данного изменения. Если ссылочный стандарт отменен без замены, то положение, в котором дана ссылка на него, рекомендуется применять в части, не затрагивающей эту ссылку.
В настоящем стандарте применены термины по ГОСТ 18322, ГОСТ 32192, ГОСТ 33433, а также следующие термины с соответствующими определениями:
3.1.1 техническое содержание (объектов инфраструктуры железнодорожного транспорта): Совокупность работ по техническому обслуживанию и ремонту объектов инфраструктуры железнодорожного транспорта.
3.1.2 техническое содержание по состоянию (объектов инфраструктуры железнодорожного транспорта): Техническое содержание, объем и момент начала которого определяют по результатам мониторинга технического состояния объектов инфраструктуры железнодорожного транспорта.
Примечание - С учетом ГОСТ 18322 техническое содержание по состоянию разделяют на техническое содержание с периодическим контролем и техническое содержание с непрерывным контролем.
3.1.3 техническое состояние (объектов инфраструктуры железнодорожного транспорта): Состояние объектов инфраструктуры железнодорожного транспорта, которое характеризуется в определенный момент времени, при определенных условиях внешней среды, значениями параметров, установленных в технической документации на них.
3.1.4
|
техническая диагностика: Область знаний, охватывающая теорию, методы и средства определения технического состояния объектов. [ГОСТ 20911-89, статья 3] |
3.1.5 вид технического обслуживания [ремонта]: Категория классификации технического обслуживания [ремонта] по отличительному признаку.
Примечание - Отличительные признаки классификации в соответствии с ГОСТ 18322.
3.1.6 владелец инфраструктуры: Юридическое лицо или индивидуальный предприниматель, имеющие инфраструктуру на праве собственности или на ином праве и оказывающие услуги по ее использованию на основании соответствующего договора.
В настоящем стандарте применены следующие сокращения:
АВЗ - аварийно-восстановительный запас;
АС - автоматизированная система управления ресурсами, рисками и надежностью на этапах жизненного цикла;
МТР - материально-технические ресурсы;
СЖЦ - стоимость жизненного цикла;
ТОиР - техническое обслуживание и ремонт;
ТОФ - технологический оборотный фонд;
PDCA - циклически повторяющийся процесс принятия решения, используемый в управлении эффективностью и (или) качеством бизнес-процессов, включающий этапы "Планируй - Делай - Проверяй - Действуй" (англ. Plan - Do - Check - Act).
4.1 Целью системы управления техническим содержанием объектов инфраструктуры является обеспечение выполнения объектами своих функций, заданного уровня надежности и безопасности объектов при нахождении баланса между затратами на эксплуатацию и проведение ТОиР, рисками и требуемыми эксплуатационными показателями (например, пропускной способностью участка железнодорожной линии).
4.2 Основными функциями системы управления техническим содержанием объектов инфраструктуры являются:
- управление проведением ТОиР для обеспечения надежной работы объектов инфраструктуры, безопасности движения поездов и бесперебойности перевозочного процесса;
- планирование мероприятий по программам реконструкции (обновления) объектов инфраструктуры;
- планирование и эффективное распределение МТР и трудовых ресурсов.
4.3 Система управления техническим содержанием объектов инфраструктуры железнодорожного транспорта представляет собой совокупность методов систематического управления рисками, анализа надежности, оценки остаточного ресурса (срока службы) объектов инфраструктуры, находящихся в эксплуатации, и алгоритмов оптимизации их технического содержания.
4.4 Основой системы управления техническим содержанием объектов инфраструктуры является методология ТОиР, ориентированная на безотказность, по ГОСТ Р 27.606. Применяемые в системе методы управления и алгоритмы должны соответствовать общим требованиям к менеджменту и процессам проведения и обеспечения ТОиР по ГОСТ Р 27.601.
4.5 Управление техническим содержанием объектов инфраструктуры должно быть основано на назначении работ по техническому содержанию объектов по их техническому состоянию, определяемому средствами технической диагностики и (или) экспертной оценкой специалистов по результатам проверок и осмотров.
При этом по решению владельца инфраструктуры для отдельных составных частей и элементов объектов инфраструктуры допускается применять плановую (планово-предупредительную, регламентированную) систему технического содержания, при которой ТОиР назначают через заранее установленные интервалы применения (или хранения) в соответствии с нормативной и технической документацией, или техническое содержание по отказу (корректирующее техническое содержание).
Внедрение постоянной технической диагностики состояния объектов инфраструктуры железнодорожного транспорта на базе автоматизированных средств контроля их параметров и функционирования позволит обеспечить переход от плановой системы технического содержания к техническому содержанию по состоянию.
4.6 Основные элементы системы управления техническим содержанием и взаимосвязь с другими сферами управления в организациях железнодорожного транспорта приведены на рисунке 1.

Рисунок 1 - Основные элементы системы управления техническим содержанием
4.7 Работы по управлению техническим содержанием объектов инфраструктуры в рамках своей ответственности осуществляют эксплуатационные подразделения владельца инфраструктуры.
Владельцы инфраструктуры при обеспечении внедрения и функционирования системы управления техническим содержанием и ее основных элементов должны руководствоваться моделью непрерывного улучшения PDCA по ГОСТ Р ИСО 9001. Упрощенная схема реализации модели PDCA при управлении техническим содержанием приведена в приложении А.
4.8 При функционировании и совершенствовании системы управления техническим содержанием необходимо систематически:
- определять и устанавливать приоритетные задачи на определенный период времени на основе критерия экономической эффективности;
- разрабатывать планы и программы для реализации поставленных задач;
- совершенствовать организационную структурную схему управления техническим содержанием объектов инфраструктуры;
- определять перечень законодательных и нормативных документов по эксплуатации, ТОиР объектов инфраструктуры; разрабатывать, пересматривать и своевременно вносить соответствующие изменения в нормативные документы организации - владельца инфраструктуры;
- осуществлять оценку показателей надежности и безопасности функционирования, остаточного ресурса, стоимости жизненного цикла объектов инфраструктуры;
- оценивать производственную деятельность эксплуатационных подразделений владельца инфраструктуры с учетом результатов работы по обеспечению качества технического содержания объектов инфраструктуры, оперативности устранения их отказов и нанесенного ущерба от нарушений в работе объектов инфраструктуры;
- управлять рисками, связанными с функционированием объектов инфраструктуры.
5.1.1 Планирование в системе управления техническим содержанием осуществляют на долгосрочную, среднесрочную и краткосрочную перспективу.
Долгосрочное и среднесрочное планирование осуществляют при формировании программ реконструкции (обновления) объектов инфраструктуры железнодорожного транспорта, а краткосрочное - при составлении планов-графиков технического содержания.
5.1.2 Порядок планирования технического содержания объектов инфраструктуры по техническому состоянию приведен на рисунке 2.
5.1.3 Порядок планирования технического содержания объектов инфраструктуры при плановом (планово-предупредительном, регламентированном) виде технического содержания устанавливает владелец инфраструктуры в инструкциях по ТОиР отдельно для каждой подсистемы инфраструктуры железнодорожного транспорта.

Рисунок 2 - Порядок планирования технического содержания объектов инфраструктуры по техническому состоянию
5.1.4 Ранжирование объектов инфраструктуры для каждой подсистемы инфраструктуры железнодорожного транспорта осуществляют по результатам анализа надежности, безопасности функционирования (оценки рисков), оценки технического состояния и остаточного ресурса с учетом классификации и специализации железнодорожных линий.
5.1.5 Наиболее критичные по ранжированному списку объекты инфраструктуры (с наихудшими показателями) рассматривают на предмет возможности включения их в программу реконструкции (обновления).
5.1.6 В программу включают экономически эффективные мероприятия по реконструкции (обновлению) основных средств подсистем инфраструктуры железнодорожного транспорта, обеспечивающие наименьшую среднегодовую стоимость жизненного цикла объектов инфраструктуры при реализации нормируемых показателей их надежности, функциональной безопасности и требуемой пропускной способности участков железнодорожных линий, а также в отдельных случаях мероприятия по иным основаниям. Мероприятия должны быть распределены в приоритетном порядке во времени действия программы.
Примечание - Иным основанием для включения мероприятия по реконструкции (обновлению) в программу может являться необходимость выполнения требований законодательства или нормативно-правовых актов Российской Федерации (например, по развитию транспортной системы страны (региона), организации высокоскоростного движения и обращения поездов повышенного веса, развитию железнодорожной инфраструктуры на направлениях международных транспортных коридоров).
5.1.7 Применяемые при формировании программы стоимостные модели должны учитывать общие указания по проведению анализа стоимости жизненного цикла, установленные ГОСТ Р 27.202, и позволять проводить оценку и сравнение затрат и эффектов от реализации мероприятий по двум вариантам:
- для случая реализации мероприятия по реконструкции (обновлению);
- для альтернативного варианта (в случаях отказа от реализации мероприятия по реконструкции (обновлению) или назначения иного вида мероприятия).
5.1.8 При включении мероприятий в программу реконструкции (обновления) должны быть достигнуты следующие эффекты:
- снижение эксплуатационных расходов (за счет изменения периодичности и трудоемкости работ по техническому обслуживанию, снижения расхода сырья и материалов и т.д.);
- снижение расходов на внеплановые ремонты (за счет повышения надежности объектов инфраструктуры);
- снижение возможного ущерба, вызванного опасными отказами объектов инфраструктуры (за счет снижения частоты (вероятности) возникновения опасных отказов объектов инфраструктуры или тяжести последствий таких отказов);
- снижение потерь от простоя поездов, устранение барьерных мест, повышение пропускной способности участков железнодорожных линий.
5.1.9 При формировании программ по объектам инфраструктуры, относящимся к железнодорожному пути, следует применять следующую стоимостную модель:
;
(1)
где
- среднегодовая СЖЦ объекта инфраструктуры (1 км железнодорожного пути), руб.;
Sрек - стоимость реконструкции, руб.;
Sремонты(i) - стоимость ремонтов в год i, руб.;
SТС(i) - стоимость текущего содержания в год i, руб.;
Sутил. - затраты, связанные с утилизацией объекта инфраструктуры (в конце срока службы объекта), руб.;
Sотказы(i) - затраты, связанные с отказами объекта инфраструктуры в год i, руб.;
n - продолжительность жизненного цикла, годы;
η - частота отказов (показатель надежности), 1/ч;
С - требуемый уровень надежности, 1/ч.
5.1.10 При формировании программ реконструкции объектов железнодорожной автоматики и телемеханики, железнодорожного электроснабжения следует применять стоимостную модель, включающую:
- оценку соотношения допустимого и фактического значений коэффициента простоя (Кд, Кф соответственно);
- расчет среднегодовой СЖЦ объекта инфраструктуры;
- оценку экономического эффекта от реализации мероприятия программы.
Объекты железнодорожной автоматики и телемеханики и объекты железнодорожного электроснабжения могут быть включены в программу реконструкции основных средств в случае, если Кф ≥ Кд.
Оценку среднегодовой СЖЦ объекта железнодорожной автоматики и телемеханики, железнодорожного электроснабжения проводят по формуле
,
(2)
где СЖЦ - стоимость жизненного цикла объекта инфраструктуры за весь срок службы, руб.;
Т - срок службы нового объекта инфраструктуры, годы;
d - ставка дисконтирования.
СЖЦ объекта железнодорожной автоматики и телемеханики и объекта железнодорожного электроснабжения в случае его замены определяют по формуле
,
(3)
где Sнач.0 - затраты на приобретение и установку (при расчете среднегодовой СЖЦ объекта инфраструктуры эта статья затрат отражает годовой размер амортизации, начисленной с учетом стоимости привлечения инвестиционных ресурсов), руб.;
Sутил.Т - затраты, связанные с утилизацией объекта инфраструктуры (в конце срока службы объекта), руб.;
SТОi - затраты на техническое обслуживание объекта инфраструктуры в год i, руб.;
SPi - затраты на плановые виды ремонтов объекта инфраструктуры в год i, руб.;
Sотк.i - затраты, связанные с отказами объекта инфраструктуры в год i, руб.;
kТОi, kPi, kотк.i - коэффициенты риска превышения затрат на техническое обслуживание, плановые виды ремонта и затрат, связанных с отказами объекта инфраструктуры, над нормативными.
При наличии нескольких альтернативных вариантов по каждому мероприятию выбирают вариант с наименьшей среднегодовой СЖЦ.
Экономический эффект каждого мероприятия, включенного в программу реконструкции, ЭЭм, определяется разницей между среднегодовой СЖЦ объекта инфраструктуры при реализации альтернативного варианта и среднегодовой СЖЦ объекта инфраструктуры в случае реализации мероприятия, включенного в программу реконструкции, и рассчитывается по формуле
,
(4)
где
- среднегодовая стоимость жизненного цикла при реализации альтернативного варианта, руб.;
- среднегодовая стоимость жизненного цикла при реализации мероприятия, включенного в программу реконструкции основных средств, руб.
В программу реконструкции включают то мероприятие, которое обеспечивает достижение максимального экономического эффекта от его реализации.
5.1.11 При формировании программ обновления объектов железнодорожной электросвязи следует применять стоимостную модель, включающую:
- оценку соотношения допустимого, проектного и фактического значений коэффициента готовности услуги (соответственно КГУД, КГУП, КГУФ);
- расчет среднегодовой СЖЦ объекта инфраструктуры;
- оценку экономического эффекта от реализации мероприятия программы.
Для каждого объекта железнодорожной электросвязи, в отношении которого рассматривают вопрос об обновлении, производят расчеты фактического и проектного значений коэффициента готовности услуги и сравнивают их с допустимым значением показателя.
В общем случае, коэффициент готовности услуги рассчитывается по формуле
,
(5)
где ТДУ - суммарное время доступности услуги сети (системы) железнодорожной электросвязи за рассматриваемый период эксплуатации, ч;
ТНУ - суммарное время недоступности услуги сети (системы) железнодорожной электросвязи по причине восстановления из-за отказов установленных видов за рассматриваемый период эксплуатации, ч.
Объекты железнодорожной электросвязи включают в программу обновления основных средств в случае, если КГУФ ≤ КГУД. При этом также рассматривают соотношение допустимого и проектного значений коэффициента готовности услуги для выбора конкретного мероприятия в рамках программы обновления. При КГУП ≤ КГУД объект железнодорожной электросвязи подлежит замене или модернизации, при КГУП > КГУД объект железнодорожной электросвязи подлежит капитальному ремонту.
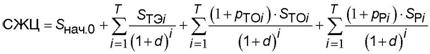
Затем проводят оценку среднегодовой СЖЦ по формуле (2), где СЖЦ объекта железнодорожной электросвязи в случае его замены определяют по формуле
,
(6)
где Sнач.0 - затраты на приобретение, установку, пуско-наладочные работы и ввод в эксплуатацию (при расчете среднегодовой СЖЦ объекта железнодорожной электросвязи эта статья затрат отражает годовой размер амортизации, начисленной с учетом стоимости привлечения инвестиционных ресурсов), затраты на проведение модернизации или капитального ремонта, руб.;
STЭi - текущие прямые эксплуатационные затраты, включающие в себя расходы на электроэнергию, расходные материалы и т.д., в случае замены объекта железнодорожной электросвязи в год i, руб.;
SТОi - затраты на техническое обслуживание объекта железнодорожной электросвязи в случае его замены в год i, руб.;
SPi - затраты на плановые и внеплановые виды ремонтов объекта железнодорожной электросвязи в случае его замены в год i, руб.;
рТОi, рРi - вероятность дополнительных затрат на техническое обслуживание, плановые и внеплановые виды ремонта объекта железнодорожной электросвязи в случае его замены по отношению к нормативным в i-й период времени. Данный показатель учитывают при наличии у владельца инфраструктуры накопленной статистики о фактах превышения затрат по сравнению с нормативными. До накопления такой статистики его принимают равным 0.
Экономический эффект каждого мероприятия, включенного в предварительный список программы обновления, определяют по формуле (4).
В программу обновления основных средств железнодорожной электросвязи включают мероприятия, имеющие наибольшие абсолютные значения экономического эффекта.
5.1.12 На все объекты инфраструктуры, не попавшие в программу реконструкции (обновления), должны быть составлены планы-графики их технического содержания (ТОиР) на период 1 год. По решению владельца инфраструктуры дополнительно могут разрабатываться планы-графики на более короткий срок. Подготовка планов должна вестись с использованием АС.
5.1.13 Работы по техническому содержанию, включаемые в планы-графики, планируют таким образом, чтобы интервалы времени между одними и теми же работами были равными и не превышали установленной периодичности, а работы, технологически связанные друг с другом, выполнялись одновременно.
5.1.14 При составлении планов-графиков технического содержания учитывают работы по ТОиР, установленные в технологических документах владельца инфраструктуры.
5.1.15 При планировании работ по капитальному и среднему ремонтам, в соответствии с порядком формирования нормативно-целевых бюджетов, установленных владельцем инфраструктуры, линейные предприятия ежегодно предоставляют в уполномоченное подразделение владельца инфраструктуры списки объектов инфраструктуры, на которых планируется проведение капитального ремонта.
5.1.16 При формировании плана капитального ремонта следует применять стоимостные модели, описанные в 5.1.9-5.1.11.
5.1.17 План капитального ремонта согласовывают и утверждают в установленном владельцем инфраструктуры порядке (с применением АС при ее наличии).
5.2.1 При принятии решений по управлению техническим содержанием объектов инфраструктуры (планирование технического содержания в соответствии с 5.1, выбор вида технического содержания и ремонта, оценка возможности дальнейшей эксплуатации объекта после достижения установленных показателей долговечности, вывод из эксплуатации) необходимо учитывать следующие критерии:
- вид, тип, конструкция и другие характеристики объекта инфраструктуры;
- значимость объекта инфраструктуры для обеспечения перевозочного процесса и его допустимое состояние;
- соответствие показателей надежности, безопасности функционирования объектов, рисков безопасности движения нормируемым (допустимым) значениям;
- физический износ и остаточный ресурс (срок службы) объекта инфраструктуры и его составных частей на основе оценки их технического состояния;
- неустранимое функциональное устаревание (моральный износ) объекта инфраструктуры;
- условия работы объекта инфраструктуры (класс и специализация железнодорожных линий и путей, наличие или отсутствие резерва, климат и другие аналогичные факторы);
- степень оснащенности объекта инфраструктуры средствами постоянной технической диагностики;
- техническая оснащенность структурных подразделений владельца инфраструктуры, осуществляющих техническое содержание и их территориальное размещение в границах зоны обслуживания;
- требование законодательства или нормативно-правовых актов, реализация которых влияет на техническое содержание объекта инфраструктуры;
- эксплуатационные расходы на текущее содержание, экономическая эффективность принятого решения (ремонта, реконструкции (обновления)), стоимость жизненного цикла объекта инфраструктуры.
5.2.2 Принятие решений по управлению техническим содержанием объектов инфраструктуры следует осуществлять на основе проведенного анализа их надежности и функциональной безопасности:
- анализ безотказности позволяет прогнозировать, когда следует предпринимать действия по техническому содержанию в зависимости от видов отказов объекта инфраструктуры;
- анализ ремонтопригодности определяет действия по техническому содержанию в случае отказов объекта инфраструктуры и время, которое следует потратить, чтобы выполнить эти действия;
- анализ готовности прогнозирует частоту и продолжительность периодов перерывов в работе из-за действий по техническому содержанию;
- анализ функциональной безопасности позволяет оценить риски, связанные с выполнением различных действий по техническому содержанию объекта инфраструктуры с точки зрения их значимости и стоимости.
Номенклатуру показателей надежности и функциональной безопасности объектов железнодорожного пути и железнодорожного электроснабжения устанавливают с учетом ГОСТ 33886 и ГОСТ 33947 соответственно.
Оценку уровней рисков, связанных с безопасностью функционирования объектов инфраструктуры и безопасностью движения поездов, осуществляют по ГОСТ 33433.
5.2.3 Основным критерием для оптимизации эксплуатационных расходов, в зависимости от класса и специализации железнодорожной линии, является обеспечение необходимого уровня готовности объектов инфраструктуры. Необходимый уровень готовности определяет допустимое состояние объектов инфраструктуры и регламентное время возможного нахождения их в неисправном состоянии. В зависимости от допустимого состояния объектов инфраструктуры определяются виды и методы ТОиР.
5.2.4 Оценка технического состояния объекта инфраструктуры предусматривает последовательную реализацию следующих этапов:
- сбор и анализ исходной технической информации об объекте инфраструктуры;
- проведение функциональной диагностики и/или анализ результатов всех проведенных видов технической диагностики;
- экспертное обследование технического состояния объекта инфраструктуры (при необходимости);
- анализ повреждений, установление их механизма и определяющих параметров технического состояния объекта инфраструктуры;
- анализ отказов, оценка последствий и критичности отказов в соответствии с ГОСТ 27.310;
- обработка полученных данных и прогнозирование остаточного ресурса (срока службы);
- обоснование решений о возможности дальнейшей эксплуатации объекта инфраструктуры и работ по его техническому содержанию.
5.2.5 Остаточный ресурс (срок службы) может быть определен следующими способами:
- на основе моделирования состояния составных частей и элементов объекта инфраструктуры, оказывающих наибольшее влияние на его надежность и безопасность;
- по данным об эксплуатационной надежности объекта инфраструктуры;
- по параметрам технического состояния на основе балльности, указываемой в контрольно-оценочных картах (обобщенная оценка).
5.3.1 Все виды работ по управлению и осуществлению технического содержания объектов инфраструктуры подлежат документированию с указанием факта выполнения всех установленных процессов ТОиР, технологических операций и их результатов. Документирование выполняют с использованием специализированных программных средств АС.
5.3.2 Состав необходимых данных в выходных справках, которые формируют подсистемы АС, представлен в таблице 1.
|
Подсистема |
Состав данных |
|
Подсистема расчета и анализа показателей надежности и безопасности функционирования |
Частота и интенсивность отказов Интенсивность опасных отказов Наработка на отказ Время восстановления Коэффициенты простоя Коэффициенты готовности Определение сценария принятия решения |
|
Подсистема оценки деятельности структурных подразделений по показателям надежности и безопасности функционирования объектов инфраструктуры |
Показатели безопасности Интенсивность отказов Интенсивность восстановления Интегральный показатель качества работы подразделения Рейтинговая оценка подразделений |
|
Подсистема сбора и обработки информации по предотказным состояниям и критическим параметрам |
Выявленные предотказные состояния по результатам контроля состояния объектов инфраструктуры |
|
Подсистема оценки остаточного ресурса (срока службы) и оценки эффективности дальнейшей эксплуатации после достижения установленных показателей долговечности |
Динамика интенсивности отказов Динамика наработки на отказ Результаты оценки влияния факторов Остаточный ресурс (срок службы) объекта инфраструктуры |
|
Подсистема составления планов работ по ремонтам и реконструкции (обновлению) |
Стоимость жизненного цикла объектов инфраструктуры Показатели эффективности ремонта (реконструкции (обновления)) Матрицы принятия решения |
|
Подсистема оценки рисков |
Уровень риска Матрицы рисков |
По решению владельца инфраструктуры состав данных в выходных справках может быть расширен.
5.3.3 Оценку и анализ производственной деятельности структурных подразделений владельца инфраструктуры с целью принятия решения по управлению техническим содержанием объектов инфраструктуры (в том числе управлению трудовыми ресурсами) осуществляют на основе применения сочетания метода "ключевых показателей эффективности" и рейтингового метода.
Оценку осуществляют по основным результатам производственной деятельности по критериям, которые могут быть выражены или оценены первичными показателями надежности и безопасности, представленными в таблице 2.
По решению владельца инфраструктуры состав учитываемых факторов может быть расширен.
На основании первичных показателей в соответствии с методиками, утвержденными владельцем инфраструктуры, проводят расчет комплексных (частных) показателей, а затем интегральных показателей оценки деятельности структурных подразделений.
В качестве оценочной шкалы для рейтинговой оценки деятельности структурных подразделений применяют 100-балльную шкалу, на которой выделено четыре качественных диапазона значений с оценками: отлично, хорошо, удовлетворительно, неудовлетворительно.
Для представления в рейтинговой шкале значения, полученные с помощью метода "ключевых показателей эффективности", пересчитывают в баллы. В качестве допустимого уровня на балльной шкале принят уровень, соответствующий границе между удовлетворительной и неудовлетворительной оценками.
|
Результаты деятельности |
Критерии оценки |
Первичные показатели |
Учитываемые факторы |
|
1 Безопасность функционирования инфраструктуры |
1.1 Безопасность движения |
1.1.1 Доля нарушений безопасности движения (от общего числа отказов инфраструктуры) |
а) Состояние технических средств б) Климатические условия эксплуатации в) Оснащенность средствами ТОиР г) Территориальное размещение объектов в границах зоны обслуживания и наличие к ним подъездных путей |
|
1.2 Безопасность функционирования инфраструктуры |
1.2.1 Интенсивность опасных отказов инфраструктуры | ||
|
2 Устойчивость функционирования инфраструктуры |
2.1 Качество функционирования объектов |
2.1.1 Коэффициент неготовности объектов | |
|
2.2 Качество технического содержания объектов |
2.2.1 Интенсивность отказов объектов 2.2.2 Количество предотказов объектов | ||
|
2.3 Оперативность устранения отказов объектов |
2.3.1 Среднее время до восстановления объектов | ||
|
3 Влияние функционирования инфраструктуры железнодорожного транспорта на перевозочный процесс |
3.1 Влияние технического содержания на отказы, приведшие к задержкам поездов |
3.1.1 Интенсивность отказов объектов, отказы которых привели к задержкам поездов |
а) Состояние технических средств б) Климатические условия эксплуатации в) Оснащенность средствами ТОиР г) Территориальное размещение объектов в границах зоны обслуживания и наличие к ним подъездных путей |
|
3.2 Оперативность устранения отказов, приведших к задержкам поездов |
3.2.1 Среднее время до восстановления объектов, отказы в которых привели к задержкам поездов | ||
|
4 Компетентность персонала |
4.1 Уровень компетентности эксплуатирующего персонала |
4.1.1 Доля отказов объектов по вине персонала |
- |
На основе результатов оценки производственной деятельности подразделений формируется их рейтинг в виде оценочных табличных форм или диаграмм, форма которых приведена в приложении Б.
Сравнивая рейтинги одного и того же подразделения за смежные периоды оценки, можно оценить динамику качества его работы.
5.4.1 Основным принципом управления ресурсами при осуществлении технического содержания объектов инфраструктуры является принцип обоснованности затрат всех видов ресурсов, заключающийся в том, что их расходование на все работы технического содержания допустимо лишь в том объеме, который минимально необходим для выполнения поставленной перед техническим содержанием цели.
5.4.2 Управление материальными ресурсами при осуществлении технического содержания объектов инфраструктуры включает процессы планирования, закупок, поставок, хранения и учета запасов и оборотных фондов материалов, запасных частей и оборудования, которые подразделяют на:
- текущий запас - запас материалов и запасных частей, предназначенный для поддержания исправного и работоспособного состояния объектов инфраструктуры при выполнении работ по техническому обслуживанию и для восстановления их исправного и работоспособного состояния при ремонте;
- аварийно-восстановительный запас (АВЗ) - запас материалов, запасных частей и оборудования, предназначенный для выполнения аварийно-восстановительных работ при ликвидации последствий стихийных бедствий, чрезвычайных ситуаций, крушений, аварий, вызвавших повреждение объектов инфраструктуры;
- технологический оборотный фонд (ТОФ) - набор съемных комплектующих изделий и отдельных видов устройств, необходимых для обеспечения выполнения работ по ТОиР вне места эксплуатации, связанных с временным выводом из эксплуатации объектов инфраструктуры или их составных частей.
5.4.3 Порядок планирования, использования и учета текущего запаса материалов и запасных частей, АВЗ и ТОФ устанавливает владелец инфраструктуры.
5.4.4 Управление трудовыми ресурсами при осуществлении технического содержания объектов инфраструктуры включает следующие процессы:
- планирование трудовых ресурсов, т.е. разработка тактики удовлетворения будущих потребностей в определенном персонале;
- набор персонала на работу и отбор лучших кандидатов из резерва, созданного в ходе набора;
- определение заработной платы и льгот;
- адаптация принятых работников и введение их в курс того, что ожидает получить от их профессиональной деятельности владелец инфраструктуры;
- обучение работника трудовым навыкам для более эффективного выполнения работы;
- оценка трудовой деятельности;
- повышение, понижение, перевод, увольнение;
- подготовка руководящих кадров, управление продвижением по службе.
5.4.5 На должности работников, осуществляющих техническое содержание объектов инфраструктуры, принимают лиц, соответствующих квалификационным требованиям, установленным в профессиональных стандартах, выдержавшим испытания в знании нормативных документов в области ТОиР, требований охраны труда, пожарной, электробезопасности и прошедших медицинское освидетельствование в установленном порядке.
5.4.6 Оценку производственной деятельности работников структурных подразделений владельца инфраструктуры проводят в соответствии с 5.3.3.
5.4.7 Замещение вакантных должностей и подготовка резерва руководителей и специалистов должна осуществляться установленным владельцем инфраструктуры порядком.
Приложение А
(справочное)

Рисунок А.1 - Применение модели PDCA при управлении техническим содержанием объектов инфраструктуры железнодорожного транспорта

Рисунок А.2 - Упрощенная схема реализации модели PDCA при управлении техническим содержанием объектов инфраструктуры железнодорожного транспорта
Приложение Б
(справочное)

Рисунок Б.1 - Диаграмма для анализа производственной деятельности подразделения по комплексным (частным) показателям оценки деятельности

Рисунок Б.2 - Диаграмма для анализа производственной деятельности подразделения по интегральным показателям оценки деятельности


