ПНСТ 115-2016 ДОРОГИ АВТОМОБИЛЬНЫЕ ОБЩЕГО ПОЛЬЗОВАНИЯ. СМЕСИ АСФАЛЬТОБЕТОННЫЕ ДОРОЖНЫЕ И АСФАЛЬТОБЕТОН. МЕТОД ПРОЕКТИРОВАНИЯ ОБЪЕМНОГО СОСТАВА ПО МЕТОДОЛОГИИ SUPERPAVE
Automobile roads of general use. Hot asphalt mixtures and asphalt concrete. Design method of volumetric composition according to Superpave methodology
Срок действия - с 1 июня 2016 г.
по 1 июня 2019 г.
Введен впервые
Предисловие
1 Разработан Обществом с ограниченной ответственностью "Центр метрологии испытаний и стандартизации" (ООО "ЦМИиС")
2 Внесен Техническим комитетом по стандартизации ТК 418 "Дорожное хозяйство"
3 Утвержден и введен в действие приказом Федерального агентства по техническому регулированию и метрологии от 28 апреля 2016 г. N 37-пнст
4 Введен впервые
Введение
Настоящий стандарт разработан с учетом основных нормативных положений AASHTO R35 "Объемный метод проектирования состава асфальтобетонных смесей по системе "Superpave" [AASHTO R35 "Standard practice for superpave volumetric design for Hot Mix Asphalt (HMA)"] и входит в комплекс стандартов, нормирующих метод объемного проектирования асфальтобетонных смесей в Российской Федерации.
Настоящий стандарт устанавливает метод проектирования состава асфальтобетонных смесей по методологии Superpave, основанный на определении объемных свойств асфальтобетона.
Настоящий стандарт распространяется на асфальтобетонные дорожные смеси и асфальтобетон, предназначенные для устройства конструктивных слоев дорожной одежды.
В настоящем стандарте использованы нормативные ссылки на следующие стандарты:
ГОСТ 12.4.131-83 Халаты женские. Технические условия
ГОСТ 12.4.132-83 Халаты мужские. Технические условия
ГОСТ 12.4.252-2013 Система стандартов безопасности труда. Средства индивидуальной защиты рук. Перчатки. Общие технические требования. Методы испытаний
ГОСТ Р 12.1.019-2009 Система стандартов безопасности труда. Электробезопасность. Общие требования и номенклатура видов защиты
ПНСТ 71-2015 Дороги автомобильные общего пользования. Материалы минеральные мелкозернистые для приготовления асфальтобетонных смесей. Метод определения плотности и абсорбции
ПНСТ 75-2015 Дороги автомобильные общего пользования. Материалы минеральные для приготовления асфальтобетонных смесей. Метод определения зернового состава
ПНСТ 76-2015 Дороги автомобильные общего пользования. Материалы минеральные для приготовления асфальтобетонных смесей. Метод определения содержания пылеватых частиц при промывке
ПНСТ 77-2015 Дороги автомобильные общего пользования. Материалы минеральные для приготовления асфальтобетонных смесей. Метод определения максимальной плотности минерального порошка
ПНСТ 78-2015 Дороги автомобильные общего пользования. Материалы минеральные крупнозернистые для приготовления асфальтобетонных смесей. Метод определения плотности и абсорбции
ПНСТ 92-2016 Дороги автомобильные общего пользования. Смеси асфальтобетонные дорожные и асфальтобетон. Метод определения максимальной плотности
ПНСТ 106-2016 Дороги автомобильные общего пользования. Смеси асфальтобетонные дорожные и асфальтобетон. Метод определения объемной плотности
ПНСТ 112-2016 Дороги автомобильные общего пользования. Смеси асфальтобетонные дорожные и асфальтобетон. Метод приготовления образцов вращательным уплотнителем (Гиратором)
ПНСТ 113-2016 Дороги автомобильные общего пользования. Смеси асфальтобетонные дорожные и асфальтобетон. Метод определения водостойкости и адгезионных свойств
ПНСТ 114-2016 Дороги автомобильные общего пользования. Смеси асфальтобетонные дорожные и асфальтобетон. Технические требования для метода объемного проектирования по методологии Superpave
Примечание - При пользовании настоящим стандартом целесообразно проверить действие ссылочных стандартов в информационной системе общего пользования - на официальном сайте Федерального агентства по техническому регулированию и метрологии в сети Интернет или по ежегодному информационному указателю "Национальные стандарты", который опубликован по состоянию на 1 января текущего года, и по выпускам информационного указателя "Национальные стандарты" за текущий год. Если заменен ссылочный стандарт, на который дана недатированная ссылка, то рекомендуется использовать действующую версию этого стандарта с учетом всех внесенных в данную версию изменений. Если заменен ссылочный стандарт, на который дана датированная ссылка, то рекомендуется использовать версию этого стандарта с указанным выше годом утверждения (принятия). Если после утверждения национального стандарта в ссылочный стандарт, на который дана датированная ссылка, внесено изменение, затрагивающее положение, на которое дана ссылка, то это положение рекомендуется применять без учета данного изменения. Если ссылочный стандарт отменен без замены, то положение, в котором дана ссылка на него, рекомендуется применять в части, не затрагивающей эту ссылку.
В настоящем стандарте применены следующие термины с соответствующими определениями:
3.1 эквивалентная одноосная нагрузка; ЭООН (design ESALs): Нагрузка, равная 80 кН, передаваемая на дорожное покрытие от одной оси транспортного средства.
Примечание - Методика расчета количества приложений ЭООН представлена в ПНСТ 114 (приложение А).
3.2 воздушные пустоты Va,, % (air voids): Общее количество пустот в уплотненной асфальтобетонной смеси, выраженное в процентах от объема смеси.
3.3 пустоты в минеральном заполнителе; ПМЗ (voids in the mineral aggregate; VMA): Общее количество пустот между зернами минерального заполнителя в уплотненной асфальтобетонной смеси, выраженное в процентах от объема смеси, которое включает в себя количество воздушных пустот и оптимально эффективное содержание вяжущего.
3.4 объем абсорбированного вяжущего Vba,, см3 (absorbed binder volume): Объем вяжущего, абсорбированного в минеральный заполнитель.
3.5 эффективный объем вяжущего Vbe, см3 (effective binder volume): Объем вяжущего, который не абсорбировался в минеральный заполнитель.
3.6 пустоты, наполненные битумом; ПНБ (voids filled with asphalt; VFA): Общее количество пустот, заполненных вяжущим, выраженное в процентах от объема ПМЗ.
3.7 отношение пыль-вяжущее (dust-to-binderratio): Коэффициент, выраженный как отношение между количеством наполнителя, прошедшим через сито с размером ячеек 0, 075 мм, и оптимальным содержанием вяжущего вещества.
3.8 номинальный максимальный размер минерального заполнителя (nominal maximum aggregate size): Размер минерального заполнителя, соответствующий размеру ячейки сита, которое на один размер больше первого сита, остаток минерального заполнителя на котором составляет более 10%.
3.9 максимальный размер минерального заполнителя (maximum aggregate size): Размер минерального заполнителя, который на один размер больше, чем номинальный максимальный размер минерального заполнителя.
Сущность метода заключается в выборе исходного материала, проектировании состава минеральной части смеси, определении количества требуемого вяжущего, уплотнении асфальтобетонных образцов на гираторе и определении объемных свойств асфальтобетонной смеси.
Примечание - Данный стандарт допускает проектирование теплых асфальтобетонных смесей, температура которых может быть ниже более чем на 30°С.
При работе с асфальтобетонами используют специальную защитную одежду по ГОСТ 12.4.131 или ГОСТ 12.4.132. Для защиты рук используют перчатки по ГОСТ 12.4.252.
При выполнении измерений соблюдают правила по электробезопасности по ГОСТ Р 12.1.019 и инструкции по эксплуатации оборудования.
При выполнении измерений соблюдают следующие условия для помещений, в которых испытывают материалы:
- температура - (22±3)°С;
- относительная влажность - (55±15)%.
7.1 Подготовка минеральной части асфальтобетонной смеси
7.1.1 Отбирают минеральный материал, который планируется применять при приготовлении асфальтобетонной смеси.
7.1.2 Каждую фракцию крупнозернистого заполнителя и мелкозернистого заполнителя промывают в соответствии с ПНСТ 76 и определяют зерновой состав заполнителя в соответствии с ПНСТ 75.
7.1.3 Определяют качество минерального материала на соответствие требованиям 5.1.1 ПНСТ 114.
7.1.4 Определяют объемную плотность и максимальную плотность каждого крупнозернистого и мелкозернистого заполнителя в соответствии с ПНСТ 78 и ПНСТ 71, а также плотность минерального порошка в соответствии с ПНСТ 77.
7.1.5 Используя формулу (1), смешивают все минеральные материалы, которые планируется применять при приготовлении асфальтобетонной смеси таким образом, чтобы зерновой состав минеральной части смеси удовлетворял требованиям таблицы 1 ПНСТ 114.
P=A·a+B·b+C·c и т.д.,
(1)
где Р - полный проход материала на заданном сите от смеси применяемого материала А, Б, С и т.д., %;
А, Б, С и т.д. - количество зерен от каждого минерального материала А, В, С и т.д., прошедшее через заданное сито, %;
а, b, с и т.д. - количество материала А, В, С и т.д. в долях, применяемое в составе смеси, сумма которых равна 1, 00.
7.1.6 На применяемых материалах готовят не менее трех различных составов минеральной части асфальтобетонной смеси одного вида. Графический пример подготовки трех различных составов смеси представлен в приложении А.
7.1.7 Путем просеивания проверяют все запроектированные составы на соответствие требованиям таблицы 1 ПНСТ 114.
7.2 Определение первоначального содержания вяжущего
Для каждого подобранного зернового состава минеральной части смеси определяют первоначальное содержание вяжущего. Это может быть сделано на основе опыта работы с применяемыми материалами. В том случае, если данного опыта работы нет, расчет первоначального содержания вяжущего осуществляют в соответствии с приложением Б.
7.3 Приготовление образцов
7.3.1 В соответствии с ПНСТ 112 готовят не менее двух образцов от каждой запроектированной смеси. Количество оборотов должно быть равным N-проектному (Nпр). Количество оборотов гиратора выбирают в зависимости от интенсивности движения в месте строительства и в соответствии с данными, указанными в таблице 1. При уплотнении оборудование должно автоматически определять высоту образца после каждого оборота гиратора с точностью 0, 1 мм и фиксировать (записывать) в контрольных точках - Nнач, Nпр и Nмакс.
Таблица 1
|
Приложения ЭООН(1), млн |
Количество оборотов гиратора |
Категория и класс автомобильной дороги(2) | ||
|
Nнач. |
Nпр |
Nмакс. | ||
|
< 0, 3 |
6 |
50 |
75 |
Дороги обычного типа, категории V с минимальной интенсивностью движения |
|
От 0, 3 до < 3(3) |
7 |
75 |
115 |
Дороги обычного типа, категории III и IV со средней интенсивностью движения |
|
От 3 до < 30 |
8 |
100 |
160 |
Дороги обычного типа, категории IB, II и III с высокой интенсивностью движения |
|
≥30 |
9 |
125 |
205 |
Скоростные дороги и автомагистрали категории IБ и IA |
|
(1) Количество приложений ЭООН рассчитывают на 20 лет срока службы автомобильной дороги. (2) Указаны ориентировочные данные. Данные могут не совпадать с фактической интенсивностью движения в месте строительства. (3) В том случае, если фактическое количество приложений ЭООН в месте проведения работ рассчитано как от 0, 3 до < 10 млн, то по согласованию с заказчиком количество оборотов гиратора можно уменьшить для N-начального (Nнач) до 7, N-проектного (Nпр) до 75, а N-максимального (Nмакс) до 115. | ||||
7.3.2 Определяют объемную плотность каждого приготовленного образца в соответствии с ПНСТ 106.
7.3.3 У асфальтобетонной смеси каждого запроектированного состава определяют максимальную плотность в соответствии с ПНСТ 92.
7.4 Определение объемных свойств асфальтобетона
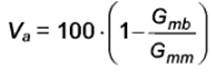
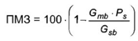
7.4.1 Вычисляют Va, %, и ПМЗ, %, для образцов, уплотненных в гираторе с количеством оборотов, равным Nпр, по формулам (2) и (3) соответственно.
,(2)
,(3)
где Gmb - объемная плотность уплотненного образца, г/см3;
Gmm - максимальная плотность асфальтобетонной смеси, г/см3;
Ps - количество минерального заполнителя в асфальтобетонной смеси, доли единиц;
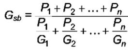
Gsb - общая объемная плотность минерального заполнителя, входящего в состав асфальтобетонной смеси, г/см3, определенный по формуле
,(4)
где P1, P2, ... Pn - количество в асфальтобетонной смеси каждого отдельного минерального заполнителя, %;
G1, G2, ... Gn - объемные плотности каждого отдельного минерального заполнителя, входящего в состав асфальтобетонной смеси, г/см3.
7.4.2 Определяют объемные свойства для каждого уплотненного образца с пересчетом того, что образец должен иметь 4% воздушных пустот.
7.4.2.1 Вычисляют отклонение ΔVa,, %, среднего содержания воздушных пустот в каждой подобранной смеси от проектируемого значения воздушных пустот, равного 4%, по формуле
ΔVa=4, 0-Va,
(5)
где Va - среднеарифметическое значение из двух (или более) образцов содержания воздушных пустот в проектируемом асфальтобетоне при количестве вращений гиратора, равном Nпр, %.
7.4.2.2 Определяют ориентировочное изменение количества вяжущего ΔPb, %, необходимое для получения содержания воздушных пустот в асфальтобетоне, равное 4%, по формуле
ΔPb=-0,4·ΔVa,
(6)
7.4.2.3 Определяют изменение количества пустот в минеральном заполнителе ΔПМЗ, %, вызванное изменением содержания воздушных пустот, для каждого проектируемого состава асфальтобетонной смеси по формулам:
ΔПМЗ=0, 2·ΔVa, при Va>4,0,
(7)
ΔПМЗ=0, 1·ΔVa, при Va, <4,0.
(8)
7.4.2.4 Для каждой проектируемой смеси вычисляют количество пустот в минеральном заполнителе ПМЗпр, %, которое должно получиться в образцах при количестве вращений гиратора Nпр и 4% воздушных пустот по формуле
ПМЗпр=ПМЗ+ΔПМЗ.
(9)
7.4.2.5 По формуле (10) определяют относительную плотность каждого образца Gmm нач, %, от максимальной плотности смеси при количестве вращений гиратора, равном Nнач, с учетом изменения количества воздушных пустот
,(10)
где hd - высота образца после количества вращений гиратора, равного Nпр, мм;
hi - высота образца после количества вращений гиратора, равного Nнач, мм.
7.4.2.6 Вычисляют расчетную плотность минерального заполнителя Gse, г/см3, предполагаемое необходимое количество вяжущего Pbерасч, %, и расчетное значение отношения пыль-вяжущее Н для каждой запроектированной смеси по формулам (11), (12) и (13) соответственно:
,(11)
,(12)
,(13)
где Pbi - первоначальное содержание вяжущего в асфальтобетонной смеси, %;
Gb - плотность применяемого вяжущего, г/см3;
Ps - количество минерального заполнителя в асфальтобетонной смеси, %;
Gsb - общая объемная плотность минерального заполнителя, входящего в состав асфальтобетонной смеси, г/см3;
P0, 075 - количество минеральных зерен в асфальтобетонной смеси мельче 0, 075 мм, %.
7.4.2.7 Сравнивают полученные данные всех проектируемых смесей с требованиями ПНСТ 114 и выбирают тот состав, который максимально удовлетворяет этим требованиям.
В таблице 2 представлен пример выбора требуемого состава асфальтобетонной смеси на основе расчетных данных.
Таблица 2
|
Асфальтобетонная смесь с номинальным максимальным размером заполнителя 19, 0 мм и с проектным количеством приложения ЭООН в месте строительства от 3 до 10 млн | ||||
|
Объемные свойства |
состав 1 |
состав 2 |
состав 3 |
Требования |
|
Асфальтобетонные смеси с начальным содержанием вяжущего(1) | ||||
|
Первоначальное содержание битума Pbi, % |
4, 4 |
4, 4 |
4, 4 | |
|
Относительная плотность, % от максимальной плотности смеси при Nнач |
88, 3 |
88, 0 |
87, 3 |
≤89, 0 |
|
Относительная плотность, % от максимальной плотности смеси при Nпр |
95, 6 |
94, 9 |
94, 5 | |
|
Содержание воздушных пустот Va, %, при Nпр |
4, 4 |
5, 1 |
5, 5 |
4±0, 3 |
|
Количество ПМЗ, % |
13, 0 |
13, 6 |
14, 1 |
≥13, 0 |
|
Рассчитанные отклонения(2) | ||||
|
Отклонения от требуемого содержания воздушных пустот ΔVa, % |
-0, 4 |
-1, 1 |
-1, 5 | |
|
Рассчитанное изменение в количестве вяжущего ΔPb, % |
0, 2 |
0, 4 |
0, 6 | |
|
Изменение количества пустот в минеральном заполнителе ΔПМЗ, % |
-0, 1 |
-0, 2 |
-0, 3 | |
|
Предполагаемые значения свойств асфальтобетонных смесей(3) | ||||
|
Предполагаемое необходимое количество вяжущего Pbе расч, % |
4, 6 |
4, 8 |
5, 0 | |
|
Полученное значение ПМЗ, % |
12, 9 |
13, 4 |
13, 8 |
≥13, 0 |
|
Относительная плотность, % от максимальной плотности смеси при Nнач с учетом изменения количества воздушных пустот |
88, 7 |
89, 1 |
88, 8 |
≤89, 0 |
|
(1) В этой части таблицы представлены результаты, полученные после испытания каждой из трех подготовленных смесей с начальным содержанием вяжущего. Результаты испытания показывают, что содержание воздушных пустот в образцах во всех трех случаях превышает требуемое значение, поэтому необходимо провести расчеты для корректировки содержания вяжущего, при котором содержание воздушных пустот в образцах будет соответствовать требуемому, для определения скорректированного значения ПМЗ и значения относительной плотности при Nнач количестве оборотов гиратора. (2) В этой части таблицы представлены отклонения, на которые изменятся представленные показатели при получении требуемого количества воздушных пустот. (3) С учетом того, что составы N 2 и 3 не удовлетворяют требованиям, а состав 3 удовлетворяет всем необходимым на данный момент требованиям, то именно его выбирают для дальнейшего проектирования асфальтобетонной смеси. | ||||
7.5 Определение фактического содержания вяжущего для асфальтобетонной смеси
7.5.1 На выбранном составе минеральных заполнителей в соответствии с ПНСТ 112 готовят четыре асфальтобетонные смеси со следующим содержанием вяжущего: на 0, 5% меньше Pbе расч; равное Pbе расч; на 0, 5% больше Pbе расч; на 1, 0% больше Pbе расч. От каждой смеси готовят не менее двух образцов. Количество оборотов гиратора должно быть равным Nпр согласно таблице 1. При уплотнении записывают высоту образца после каждого оборота гиратора с точностью 0, 1 мм.
7.5.2 Определяют объемную плотность каждого приготовленного образца в соответствии с ПНСТ 106.
7.5.3 У асфальтобетонных смесей с различным содержанием вяжущего определяют максимальную плотность в соответствии с ПНСТ 92.
7.5.4 Для каждой асфальтобетонной смеси по формулам (2) и (3) определяют Va, %, и ПМЗ, %. После этого определяют количество пустот, наполненных битумом ПНБ, %, по формуле
.(14)
7.5.5 Вычисляют отношение пыль-вяжущее Н для каждой смеси по формуле
,(15)
где Pb - количество вяжущего в смеси, %.
7.5.6 Для каждой из четырех смесей определяют относительную плотность образцов Gmm нач, %, от максимальной плотности смеси при количестве вращений гиратора, равном Nнач по формуле
.(16)
7.5.7 По средним значениям Va, ПМЗ, ПНБ и Gmb каждой из четырех асфальтобетонных смесей строят графики относительно содержания вяжущего, как показано на примере (рисунок 1), а значения заносят в таблицу в соответствии с примером таблицы 3.
7.5.8 Методом интерполяции по графикам определяют необходимое количество вяжущего с точностью 0, 1%, при котором содержание Va будет равно 4% при количестве вращений гиратора, равном Nпр, а также соответствие требованиям ПНСТ 114 объемных свойств смеси при данном количестве вяжущего.
7.5.9 На выбранном составе минеральных заполнителей и определенном количестве вяжущего в соответствии с ПНСТ 112 готовят не менее двух образцов. Количество оборотов гиратора в данном случае должно быть равным Nмакс согласно таблице 1.
7.5.10 Определяют объемную плотность приготовленных образцов в соответствии с ПНСТ 106.
7.5.11 Определяют максимальную плотность смеси в соответствии с ПНСТ 92.
Рисунок 1 - Пример построения графиков для выбора необходимого количества вяжущего
Таблица 3
|
Pbе расч, % |
Va, % |
ПМЗ, % |
ПНБ, % |
Объемная плотность при Nпр, г/см3 |
|
4, 3 |
9, 5 |
15, 9 |
40, 3 |
2, 320 |
|
4, 8 |
7, 0 |
14, 7 |
52, 4 |
2, 366 |
|
5, 3 |
6, 0 |
14, 9 |
59, 5 |
2, 372 |
|
5, 8 |
3, 7 |
13, 9 |
73, 5 |
2, 412 |
|
Примечания 1 Расчетным количеством вяжущего в данном примере является 4, 8%. Количество ПНБ должно быть от 65% до 75%, а значение ПМЗ - не менее 13, 0%. 2 По представленным данным в таблице 3 и на рисунке 1 видно, что содержание воздушных пустот, равное 4%, достигается при содержании вяжущего 5, 7%. 3 В данном примере при содержании вяжущего, равном 5, 7%, количество ПНБ и значение ПМЗ будет удовлетворять установленным требованиям. | ||||
7.5.12 По формуле (17) определяют максимальную относительную плотность приготовленных образцов Gmm макс, %, от максимальной плотности смеси
,(17)
где Gmb - объемная плотность уплотненного образца после количества оборотов гиратора, равного Nмакс, г/см3.
7.5.13 Вычисляют среднеарифметическое значение Gmm макс и сравнивают с требованием ПНСТ 114.
7.5.14 В случае несоответствия каких-либо показателей требованиям ПНСТ 114 следует воспользоваться рекомендациями, указанными в приложении В.
7.6 Определение водостойкости
Водостойкость асфальтобетона определяют в соответствии с ПНСТ 113 и сравнивают с требованием ПНСТ 114.
Результаты проектирования оформляют в виде рецепта асфальтобетонной смеси, который должен содержать:
- вид смеси;
- дату проведения проектирования;
- данные об уровне транспортного движения в районе предполагаемого строительства;
- идентификацию применяемых минеральных заполнителей с указанием источника получения, требуемых качественных характеристик и зернового состава;
- марку применяемого вяжущего с указанием организации изготовителя и качественных характеристик;
- данные запроектированной асфальтобетонной смеси, такие как количество вяжущего; относительная плотность при количестве вращений гиратора, равном Nнач, Nпр и Nмакс; значения ПМЗ, ПНБ, Va, Vba, Vbe и отношение "пыль - вяжущее".
Приложение А
(рекомендуемое)
Рисунок А.1 - Пример построения кривых трех различных зерновых составов асфальтобетонной смеси с номинальным максимальным размером заполнителя 19, 0 мм
Приложение Б
(обязательное)
Б.1 Определяют общую объемную Gsb, г/см3, и максимальную Gsa, г/см3, плотность минерального заполнителя, входящего в состав асфальтобетонной смеси, для каждой проектируемой смеси по формулам
,(Б.1)
,(Б.2)
где P1, P2, ... Pn - количество в асфальтобетонной смеси каждого отдельного минерального заполнителя, %;
G1, G2, ... Gn - объемные плотности каждого отдельного минерального заполнителя, входящего в состав асфальтобетонной смеси, г/см3;
Ga1, Ga2, ... Gan - максимальные плотности каждого отдельного минерального заполнителя, входящего в состав асфальтобетонной смеси, г/см3.
Б.2 Вычисляют плотность заполнителя асфальтобетонной смеси Gsea, г/см3, с учетом абсорбированного вяжущего по формуле
Gsea=Gsb+0, 8·(Gsa-Gsb),
(Б.3)
где 0, 8 - коэффициент, учитывающий абсорбцию минерального заполнителя.
Б.3 Определяют объем вяжущего, абсорбированного в минеральный заполнитель, Vba, см3, по формуле
,(Б.4)
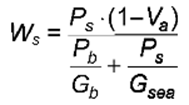
где Ws - масса общего минерального заполнителя в 1 см3 смеси, г, вычисленная по формуле
,(Б.5)
где Pb - количество вяжущего, в долях, принимаемое равным 0, 05;
Ps - количество минерального заполнителя в смеси, в долях, принимаемое равным 0, 95;
Gb - плотность вяжущего, г/см3;
Va - объем воздушных пустот, принимаемый равным 0, 04 см3 в 1 см3 асфальтобетонной смеси.
Б.4 По формуле (Б.6) вычисляют эффективный (расчетный) объем вяжущего Vbe, см3
Vbe=0, 176-0, 0675·log(Sn),
(Б.6)
где Sn - номинальный максимальный размер заполнителя в проектируемой смеси.
Примечание - Данная формула устанавливает эмпирическое соотношение между ПМЗ и Vbe при содержании воздушных пустот в смеси, равном 4, 0%, а также соотношение между ПМЗ и номинальным максимальным размером зерен минерального заполнителя.
Б.5 Определяют первоначальное содержание вяжущего в асфальтобетонной смеси Pbi, %, для приготовления проектируемых асфальтобетонных смесей по формуле
.(Б.7)
Приложение В
(рекомендуемое)
В.1 Изменение ПМЗ
Для увеличения значения ПМЗ рекомендуется выполнить следующие операции:
- изменить соотношение минеральных заполнителей в составе смеси;
- уменьшить количество зерен размером менее 0, 075 мм в случае высокого их содержания, но не менее допустимого значения для данной смеси;
- провести дополнительное дробление или замену одного или более минеральных заполнителей, входящих в состав асфальтобетонной смеси.
В.2 Изменение ПНБ
Количество ПНБ напрямую зависит от количества ПМЗ. Если количество ПМЗ соответствует установленным требованиям в ПНСТ 114, то минимальное значение ПНБ подбирается под требуемые 4, 0% воздушных пустот в асфальтобетонной смеси.
Количество ПНБ больше допустимого по верхней границе диапазона говорит о высоком содержании ПМЗ и необходимости их снижения. Снижение ПМЗ возможно за счет изменения зернового состава минеральной части смеси, а также увеличения количества зерен менее 0, 075 мм. В том случае, если данные действия не изменили значения ПНБ, необходимо заменить применяемый минеральный заполнитель.
В.3 Изменение водостойкости
Увеличение значения водостойкости асфальтобетона возможно достигнуть за счет введения в вяжущее адгезионных добавок.


