Утв. Приказом федерального агентства по техническому регулированию и метрологии от 21 июля 2016 г. N 58-пнст
Предварительный национальный стандарт ПНСТ 136-2016
"ДОРОГИ АВТОМОБИЛЬНЫЕ ОБЩЕГО ПОЛЬЗОВАНИЯ. СМЕСИ АСФАЛЬТОБЕТОННЫЕ ДОРОЖНЫЕ И АСФАЛЬТОБЕТОН. МЕТОД ОПРЕДЕЛЕНИЯ ПРОЧНОСТИ НА РАСТЯЖЕНИЕ И ЖЕСТКОСТИ"
Automobile roads of general use. Road hot asphalt mixtures and asphalt. Method of determining the tensile strength and stiffness
Срок действия - с 1 сентября 2016 г.
по 1 июня 2019 г.
Введен впервые
Предисловие
1 Разработан Закрытым акционерным обществом "Институт "СТРОЙПРОЕКТ" (ЗАО "Институт "СТРОЙПРОЕКТ") совместно с Автономной некоммерческой организацией "Научно-исследовательский институт транспортно-строительного комплекса" (АНО "НИИ ТСК")
2 Внесен Техническим комитетом по стандартизации ТК 418 "Дорожное хозяйство"
3 Утвержден и введен в действие приказом Федерального агентства по техническому регулированию и метрологии от 21 июля 2016 г. N 58-пнст
4 Введен впервые
Введение
Настоящий стандарт разработан с учетом основных нормативных положений AASHTO T 322 "Определение податливости и прочности горячих асфальтобетонных смесей с использованием устройства для испытания на непрямое растяжение" (AASHTO T 322 "Determining the creep compliance and strength of Hot Mix Asphalt (HMA) using the indirect tensile test device") и входит в комплекс стандартов, нормирующих метод объемного проектирования асфальтобетонных смесей в Российской Федерации.
1 Область применения
Настоящий стандарт устанавливает метод определения жесткости, прочности на растяжение и коэффициента Пуассона асфальтобетона с использованием методов непрямого нагружения.
Настоящий стандарт распространяется на асфальтобетонные дорожные смеси и асфальтобетон, предназначенные для устройства конструктивных слоев дорожной одежды.
2 Нормативные ссылки
В настоящем стандарте использованы нормативные ссылки на следующие стандарты:
ГОСТ Р 12.1.019-2009 Система стандартов безопасности труда. Электробезопасность. Общие требования и номенклатура видов защиты
ГОСТ Р 12.4.246-2008 Система стандартов безопасности труда. Средства индивидуальной защиты рук. Перчатки. Общие технические требования. Методы испытаний
ГОСТ 12.4.131-83 Халаты женские. Технические условия
ГОСТ 12.4.132-83 Халаты мужские. Технические условия
ГОСТ 166-89 (ИСО 3599-76) Штангенциркули. Технические условия
ПНСТ 92-2016 Дороги автомобильные общего пользования. Смеси асфальтобетонные дорожные и асфальтобетон. Метод определения максимальной плотности
ПНСТ 106-2016 Дороги автомобильные общего пользования. Смеси асфальтобетонные дорожные и асфальтобетон. Метод определения объемной плотности
ПНСТ 108-2016 Дороги автомобильные общего пользования. Смеси асфальтобетонные дорожные и асфальтобетон. Метод определения содержания воздушных пустот
Примечание - При пользовании настоящим стандартом целесообразно проверить действие ссылочных стандартов в информационной системе общего пользования - на официальном сайте Федерального агентства по техническому регулированию и метрологии в сети Интернет или по ежегодному информационному указателю "Национальные стандарты", который опубликован по состоянию на 1 января текущего года, и по выпускам информационного указателя "Национальные стандарты" за текущий год. Если заменен ссылочный стандарт, на который дана недатированная ссылка, то рекомендуется использовать действующую версию этого стандарта с учетом всех внесенных в данную версию изменений. Если заменен ссылочный стандарт, на который дана датированная ссылка, то рекомендуется использовать версию этого стандарта с указанным выше годом утверждения (принятия). Если после утверждения национального стандарта в ссылочный стандарт, на который дана датированная ссылка, внесено изменение, затрагивающее положение, на которое дана ссылка, то это положение рекомендуется применять без учета данного изменения. Если ссылочный стандарт отменен без замены, то положение, в котором дана ссылка на него, рекомендуется применять в части, не затрагивающей эту ссылку.
3 Термины и определения
В настоящем стандарте применены следующие термины с соответствующими определениями:
3.1 жесткость (creep compliance): Отношение деформации, зависящей от времени, к величине приложенного напряжения.
3.2 испытуемый образец (test sample): Образец цилиндрической формы диаметром (150±9) мм и высотой от 38 до 50 мм.
3.3 коэффициент Пуассона (Poissonr's ratio): Абсолютная величина отношения поперечной и продольной относительной деформации образца.
3.4 марка вяжущего PG XX-XX (binder grades): Обозначение марки вяжущего, первое число которого характеризует среднее значение самой высокой температуры покрытия на глубине 2 см от поверхности в течении семи дней на определенной автомобильной дороге, а второе - самую низкую температуру покрытия, зафиксированную на поверхности покрытия на той же автомобильной дороге.
Пример - PG 64-34.
3.5 образец (SGC sample): Уплотненная асфальтобетонная смесь в виде цилиндра диаметром (150±9) мм и высотой не менее 62 мм.
3.6 прочность на растяжение (tensile strength): Прочность образца, подверженного растяжению.
4 Требования к средствам измерений, вспомогательным устройствам, материалам и реактивам
При выполнении испытаний применяют следующие средства измерений, вспомогательные устройства и реактивы.
4.1 Испытательный комплекс на непрямое растяжение. В состав испытательного комплекса на непрямое растяжение должны входить устройство осевой нагрузки, устройство измерения нагрузки, датчики для измерения деформации образца, климатическая камера и система управления и сбора данных.
4.1.1 Устройство осевой нагрузки должно обеспечивать постоянную нагрузку не менее 100 кН с ценой деления не более 20 Н и постоянную скорость смещения плунжера не менее 12 мм/мин.
4.1.2 Устройство измерения нагрузки состоит из электронного датчика нагрузки, который расположен между нагрузочной пластиной и плунжером, с чувствительностью 20 Н, максимальным измерением не менее 100 кН.
4.1.3 Датчики для измерения деформации образца с диапазоном измерения до 25, 00 мм, который с помощью компьютерной программы уменьшают до 0, 25 мм и дискретностью 0, 0001 мм.
4.1.4 Климатическая камера способная поддерживать температуру от минус 30°С до 10°С внутри камеры с точностью до 0, 5°С. Внутренние размеры климатической камеры должны быть достаточными, чтобы термостатировать как минимум три испытуемых образца в течение 12 ч перед испытанием.
4.1.5 Система управления и сбора данных для записи времени приложенной нагрузки и деформации образца. При проведении испытания в течение 100 с цифровые устройства сбора данных должны обеспечивать частоту измерений 10 Гц в течение первых 10 с и 1 Гц в течение следующих 90 с. При проведении испытания в течение 1000 с цифровые устройства сбора данных должны обеспечивать частоту измерений 10 Гц - в течение первых 10 с, 1 Гц - в течение следующих 90 с и 0, 1 Гц - для остальных 900 с. При определении прочности на растяжение цифровые устройства сбора данных должны обеспечить частоту измерений 20 Гц в течение всего испытания.
4.1.6 Восемь металлических цилиндров, диаметром (8, 00±0, 01) мм и высотой (3, 20±0, 01) мм.
4.1.7 Монтажный шаблон, который применяется для размещения и центрирования металлических цилиндров на каждой стороне испытуемого образца (по четыре с каждой стороны) (см. рисунок 1).
4.1.8 Нагрузочная рама с нагрузочными пластинами, способная передавать вертикальную нагрузку на боковую плоскость образца при силе трения в направляющих не более 20 Н. Нагрузочная рама может быть на двух или четырех опорных колоннах (см. рисунок 2).
4.1.8.1 Нагрузочные пластины, через которые передается нагрузка на образец, должны быть длиной не менее 50 мм, шириной (19±1) мм и радиусом кривизны (75±1) мм.
4.1.9 Установка для распила асфальтобетона (циркулярная пила) для обработки торцов образцов. Циркулярная пила должна иметь алмазную режущую кромку и отпиливать торцы образцов без нагрева и ударной нагрузки.
4.1.10 Штангенциркуль по ГОСТ 166.
4.1.11 Сушильный шкаф с возможностью поддержания температуры (52±3)°С.
4.1.12 Эпоксидный клей с прочностью при отрыве не менее 20 МПа.
Примечание - Размеры указаны в миллиметрах с допуском ±0, 2 мм.
Рисунок 1 - Установочный шаблон
Рисунок 2 - Нагрузочная рама
5 Метод измерений
Сущность метода заключается в определении жесткости асфальтобетона при растяжении путем приложения постоянной статической нагрузки по вертикальной диаметральной оси образца. Для расчета жесткости используются результаты измерений горизонтальных и вертикальных деформаций в центре образцов. Нагрузки выбираются таким образом, чтобы горизонтальные деформации в ходе испытаний выдерживались в диапазоне линейных вязкостно-упругих величин.
6 Требования безопасности и охраны окружающей среды
При работе с асфальтобетонами используют специальную защитную одежду по ГОСТ 12.4.131 или ГОСТ 12.4.132. Для защиты рук используют перчатки по ГОСТ Р 12.4.246.
При выполнении измерений соблюдают правила по электробезопасности по ГОСТ Р 12.1.019 и инструкции по эксплуатации оборудования.
Не реже одного раза в год необходимо калибровать контролеры температуры в климатической камере, систему поддержания температуры в климатической камере, датчики нагрузки и деформации.
7 Требования к условиям измерений
При выполнении измерений соблюдают следующие условия для помещений, в которых испытываются образцы:
- температура (22±3)°С;
- относительная влажность (55±15)%.
8 Подготовка к выполнению измерений
8.1 При подготовке к выполнению измерений проводят следующие работы:
- подготовка образцов;
- подготовка к испытаниям.
8.2 Подготовка образцов
8.2.1 Для испытания формуют на вращательном уплотнителе (Гираторе) не менее трех одинаковых образцов.
Примечание - Для проведения испытания допускается применять образцы, отобранные из конструктивных слоев автомобильной дороги.
8.2.2 На распиловочной установке с алмазным диском отпиливают у образцов не менее 6 мм с каждого торца для получения ровных параллельных поверхностей, перпендикулярных относительно высоты образца.
Толщина испытуемых образцов должна быть от 38 до 50 мм, а диаметр (150±9) мм. Фактическую толщину испытуемых образцов и диаметр измеряют с помощью штангенциркуля с точностью до 1 мм и записывают.
8.2.3 Определяют объемную плотность каждого испытуемого образца по ПНСТ 106.
8.2.4 После определения объемной плотности все испытуемые образцы высушивают при температуре (22±3)°С.
8.2.5 С помощью монтажного шаблона и эпоксидного клея приклеивают на торцевые стороны каждого испытуемого образца по четыре металлических цилиндра на расстоянии (19, 0±0, 1) мм от центра торца испытуемого образца. Металлические цилиндры размещают по два с вертикальной и два с горизонтальной оси испытательного образца таким образом, чтобы расположение металлических цилиндров с одного торца было зеркальным к другому торцу одного испытуемого образца.
8.2.6 Устанавливают датчики перемещения (см. рисунок 3) на металлические цилиндры таким образом, чтобы осевая линия датчика находилась на расстоянии (6, 4±0, 1) мм над поверхностью испытуемого образца.
8.3 Подготовка к испытанию
8.3.1 Испытуемые образцы перед испытанием выдерживают в климатической камере при температуре испытания с точностью до 0, 5°С в течение (3±1) ч. Ни при каких обстоятельствах испытуемые образы не должны выдерживаться при температуре 0°С или ниже более 24 ч.
Рисунок 3 - Датчики измерения деформации
Испытания проводят в диапазоне температур от минус 30°С до 10°С. Температуру испытания выбирают в зависимости от нижнего значения марки вяжущего PG следующим образом:
- для асфальтобетонных смесей, приготовленных на вяжущем марки PG XX-34 или ниже, испытания проводят при температурах минус 30°С, минус 20°С и минус 10°С;
- для асфальтобетонных смесей, приготовленных на вяжущем марки PG XX-28 и PG XX-22, испытания проводят при температурах минус 20°С, минус 10°С и 0°С;
- для асфальтобетонных смесей, приготовленных на вяжущем марки PG XX-16 или выше, испытания проводят при температурах минус 10°С, 0°С и 10°С;
- при испытании образцов, отобранных из покрытия со сроком эксплуатации более трех лет, температура испытания должна быть увеличена на 10°С.
9 Порядок выполнения измерения
Обнуляют показания электронной измерительной системы и прикладывают на испытуемый образец постоянную статическую нагрузку с точностью не менее 2% на (100±2) с. Для детального анализа асфальтобетона следует увеличить продолжительность нагружения до (1000, 0±20, 5) с.
Горизонтальная деформация образца при приложенной статической нагрузке должна быть от 0, 00125 до 0, 0190 мм. Если деформация не соответствует установленному пределу, то нагрузку необходимо снять, дать восстановиться образцу в течение не менее 5 мин и снова создать нагрузку, которая обеспечит необходимую деформацию испытуемого образца.
После проведения испытаний на определение жесткости при каждой температуре в климатической камере создают температуры, которые находятся, как правило, в серединах диапазонов испытательных температур при определении жесткости, выдерживают образцы при этих температурах в течение (3±1) ч и определяют прочность на растяжение каждого испытуемого образца путем создания вертикальной нагрузки на испытуемый образец со скоростью 12, 5 мм/мин.
Определяют вертикальные и горизонтальные деформации на обоих торцах испытуемого образца, а также максимальную нагрузку.
10 Обработка результатов испытаний
10.1 Определяют максимальную плотность смеси в соответствии с ПНСТ 92 и содержание воздушных пустот в каждом испытуемом образце в соответствии с ПНСТ 108.
10.2 Определение жесткости
10.2.1 Определяют среднее значение толщины bcp, мм, диаметра Dcp, мм, и нагрузки Pcp, кН, трех испытуемых образцов.
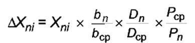
10.2.2 Рассчитывают приведенные горизонтальные ΔXni, мм, и вертикальные ΔYni, мм, деформации каждого из трех испытуемых образцов по обоим торцам по формулам

,
(1)

,
(2)
где ΔXni и ΔYni - приведенные горизонтальная и вертикальная деформации на торце i испытуемого образца n, мм;
Xni и Yni - горизонтальная и вертикальная деформации, измеренные в процессе испытания на торце i испытуемого образца n, мм;
bn, Dn и Pn - толщина, диаметр и нагрузка соответственно испытуемого образца n, мм.
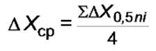
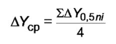
10.2.3 По формулам (1) и (2) определяют приведенные горизонтальную ΔX0, 5ni, мм, и вертикальную ΔY0, 5ni, мм, деформации на каждом из шести торцов испытуемых образцов, которые соответствуют половине времени испытания.
Примечание - Если испытание проводилось в течение 100 с, то определяют значение деформации за время, равное 50 с, а если испытание проводилось в течение 1000 с, то определяют значение деформации за время, равное 500 с.
10.2.4 Определяют среднее значение приведенных горизонтальной ΔXcp, мм, и вертикальной ΔYcp, мм, деформаций по четырем значениям приведенной горизонтальной и вертикальной деформаций из шести по формулам (3) и (4). Наибольшие и наименьшие значения измеренной горизонтальной и вертикальной деформаций отбрасываются.

,
(3)

.
(4)
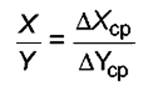
10.2.5 Определяют соотношение горизонтальной и вертикальной деформаций X/Y по формуле

.
(5)
10.2.6 Определяют среднее значение горизонтальной Xcp(t), мм, деформации в любой точке за время проведения испытания по четырем значениям замеренной горизонтальной деформации из шести по формуле (6). Наибольшие и наименьшие значения измеренной горизонтальной деформации отбрасываются.

.
(6)
10.2.7 Определяют жесткость G, кПа-1, асфальтобетона по формуле

,
(7)
где L - длина датчика перемещения, равная 0, 038 м;
С - коэффициент, который рассчитывается по формуле (8) и должен удовлетворять неравенству (9)

,
(8)

.
(9)
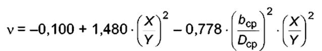
10.2.8 Значение коэффициента Пуассона v должно быть в диапазоне от 0, 05 до 0, 5 включительно и рассчитывается по формуле

.
(10)
10.3 Определение прочности на растяжение
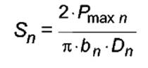
10.3.1 Прочность на растяжение Sn, кПа, испытуемого образца n рассчитывается по формуле

,
(11)
где Pmax n - максимальная нагрузка на образец n, Н.
10.3.2 Рассчитывают среднее арифметическое значение прочности на растяжение трех испытуемых образцов с точностью до 0, 001 кПа.
11 Оформление результата испытания
Результат испытания оформляют в виде протокола, который должен содержать:
- обозначение настоящего стандарта;
- дату проведения испытания;
- наименование организации, проводившей испытание;
- вид асфальтобетона;
- объемную плотность каждого испытуемого образца с точностью до 0, 001 г/см3;
- содержание воздушных пустот каждого испытуемого образца с точностью до 0, 1%;
- высоту и диаметр всех испытуемых образцов с точностью до 1 мм;
- температуру испытания с точностью до 0, 5°С;
- значение жесткости с точностью до 1 Па-1;
- значение прочности при растяжении с точностью до 1 Па.
12 Контроль точности результата испытания
Точность результата испытания обеспечивается:
- соблюдением требований настоящего стандарта;
- проведением периодической оценки метрологических характеристик средств измерений;
- проведением периодической аттестации оборудования.
Лицо, проводящее измерения, должно быть ознакомлено с требованиями настоящего стандарта.