Утв. Приказом федерального агентства по техническому регулированию и метрологии от 20 декабря 2016 г. N 102-пнст
 
Предварительный национальный стандарт РФ ПНСТ 180-2016
 
"ДОРОГИ АВТОМОБИЛЬНЫЕ ОБЩЕГО ПОЛЬЗОВАНИЯ. СМЕСИ АСФАЛЬТОБЕТОННЫЕ ДОРОЖНЫЕ И АСФАЛЬТОБЕТОН. МЕТОД ОПРЕДЕЛЕНИЯ ИСТИРАЕМОСТИ"
 
 
 
Automobile roads of general use. Road hot asphalt mixtures and asphalt concrete. Method for determination of abrasion
 
Срок действия - с 1 июня 2017 г.
 
до 1 июня 2019 г.
 
Предисловие
 
1 Разработан Обществом с ограниченной ответственностью "Центр метрологии, испытаний и стандартизации" (ООО "ЦМИиС") при участии Закрытого акционерного общества "ВАД" (ЗАО "ВАД")
 
2 Внесен Техническим комитетом по стандартизации ТК 418 "Дорожное хозяйство"
 
3 Утвержден и введен в действие приказом Федерального агентства по техническому регулированию и метрологии от 20 декабря 2016 г. N 102-пнст
 
1 Область применения
 
Настоящий стандарт устанавливает метод определения истираемости асфальтобетонов.
 
Настоящий стандарт распространяется на асфальтобетонные смеси и асфальтобетон, предназначенные для устройства верхнего слоя покрытия автомобильных дорог общего пользования.
 
2 Нормативные ссылки
 
В настоящем стандарте использованы нормативные ссылки на следующие стандарты:
 
ГОСТ 12.4.131 Халаты женские. Технические условия
 
ГОСТ 12.4.132 Халаты мужские. Технические условия
 
ГОСТ 12.4.252 Система стандартов безопасности труда. Средства индивидуальной защиты рук. Перчатки. Общие технические требования. Методы испытаний
 
ГОСТ Р 12.1.019 Система стандартов безопасности труда. Электробезопасность. Общие требования и номенклатура видов защиты
 
ПНСТ 90-2016 Дороги автомобильные общего пользования. Смеси асфальтобетонные дорожные и асфальтобетон. Метод отбора проб
 
ПНСТ 106-2016 Дороги автомобильные общего пользования. Смеси асфальтобетонные дорожные и асфальтобетон. Метод определения объемной плотности
 
ПНСТ 110-2016 Дороги автомобильные общего пользования. Смеси асфальтобетонные дорожные и асфальтобетон. Метод подготовки цилиндрических образцов с использованием установки Маршалла
 
Примечание - При пользовании настоящим стандартом целесообразно проверить действие ссылочных стандартов в информационной системе общего пользования - на официальном сайте Федерального агентства по техническому регулированию и метрологии в сети Интернет или по ежегодному информационному указателю "Национальные стандарты", который опубликован по состоянию на 1 января текущего года, и по выпускам информационного указателя "Национальные стандарты" за текущий год. Если заменен ссылочный стандарт, на который дана недатированная ссылка, то рекомендуется использовать действующую версию этого стандарта с учетом всех внесенных в данную версию изменений. Если заменен ссылочный стандарт, на который дана датированная ссылка, то рекомендуется использовать версию этого стандарта с указанным выше годом утверждения (принятия). Если после утверждения национального стандарта в ссылочный стандарт, на который дана датированная ссылка, внесено изменение, затрагивающее положение, на которое дана ссылка, то это положение рекомендуется применять без учета данного изменения. Если ссылочный стандарт отменен без замены, то положение, в котором дана ссылка на него, рекомендуется применять в части, не затрагивающей эту ссылку.
 
3 Термины и определения
 
В настоящем стандарте применены следующие термины с соответствующими определениями:
 
3.1 асфальтобетонный образец (образец): Цилиндрический образец, приготовленный в лаборатории или отобранный из дорожного покрытия.
 
3.2 испытуемый асфальтобетонный образец (испытуемый образец): Цилиндрический образец высотой (30±1) мм, полученный путем распиловки асфальтобетонного образца.
 
3.3 истираемость асфальтобетона: Механическое свойство асфальтобетона, характеризующее способность сопротивляться воздействию истирания.
 
3.4 истирание: Один из видов износа дорожных покрытий, выражающийся в изменении формы, массы и состояния поверхности покрытия вследствие постепенного разрушения поверхности покрытия под воздействием трения и контактных напряжений от шин движущихся транспортных средств.
 
4 Требования к средствам измерений, вспомогательным устройствам, материалам и реактивам
 
4.1 Испытательная установка для определения истираемости асфальтобетона (см. рисунок 1), в состав которой входит:
 
- испытательная камера для испытуемого образца;
 
- крышка испытательной камеры из нержавеющей стали с отверстиями для пропуска воды (см, рисунок 2) и установленной металлической сеткой перед выходным отверстием. Снаружи цилиндрической части крышки должна быть канавка, в которую вставляется кольцеобразная резиновая прокладка диаметром (90, 0±1, 0) мм и диаметром сечения (3, 0±0, 2) мм;
 
- круглая резиновая пластина диаметром (90±1) мм и толщиной от 2 до 3 мм;
 
- стальное зажимное устройство для закрепления крышки на испытательной камере;
 
- плоская кольцеобразная резиновая прокладка с внешним диаметром (100, 0±0, 2) мм и внутренним диаметром (87, 4±0, 2) мм;
 
- водяной насос с пропускной способностью не менее 2, 0 л/мин;
 
- поршень с длиной хода (43±1) мм.
 
4.2 Криостат с возможностью поддержания температуры воды (5±1)°С.
 
4.3 Шары из нержавеющей стали диаметром от 11, 50 до 12, 01 мм.
 
  
Рисунок 1 - Схема испытательной установки
 
  
Рисунок 2 - Крышка испытательной камеры
 
5 Метод измерений
 
Сущность метода заключается в определении потери массы испытуемого образца, подвергнутого истирающему воздействию стальных шаров аналогично воздействию на асфальтобетон шиповатых шин.
 
6 Требования безопасности и охраны окружающей среды
 
При работе с асфальтобетонами используют специальную защитную одежду по ГОСТ 12.4.131 или ГОСТ 12.4.132. Для защиты рук используют перчатки по ГОСТ 12.4.252.
 
При выполнении измерений соблюдают правила по электробезопасности по ГОСТ Р 12.1.019 и инструкции по эксплуатации оборудования.
 
Испытанный асфальтобетон утилизируют в соответствии с рекомендациями предприятия-изготовителя, указанными в стандарте организации на материал.
 
7 Требования к условиям измерений
 
При выполнении измерений соблюдают следующие условия для помещений, в которых испытывают образцы:
 
- температура (22±3)°С;
 
- относительная влажность (55±15)%.
 
8 Подготовка к выполнению измерений
 
8.1 При подготовке к выполнению испытаний проводят следующие работы:
 
- приготовление испытуемых образцов;
 
- подготовка испытуемых образцов.
 
8.2 Приготовление испытуемых образцов
 
8.2.1 Асфальтобетонные образцы приготавливают в соответствии с ПНСТ 110-2016.
 
Допускается отбор образцов путем выбуривания цилиндров диаметром (100, 0±1, 0) мм из готового асфальтобетонного покрытия в соответствии с ПНСТ 90-2016.
 
8.2.2 После приготовления образцы выдерживают при температуре (22±3)°С в течение не менее 12 ч.
 
8.2.3 Образцы распиливают в плоскости, перпендикулярной к его оси, таким образом, чтобы толщина полученного отпиленного образца составляла (30, 0±1, 0) мм. Полученную часть толщиной (30, 0±1, 0) мм считают испытуемым образцом.
 
Для испытания необходимо подготовить не менее четырех испытуемых образцов.
 
8.3 Подготовка испытуемых образцов
 
8.3.1 Для каждого испытуемого образца определяют объемную плотность в соответствии с ПНСТ 106-2016.
 
8.3.2 Испытуемые образцы термостатируют в течение (5, 0±0, 5) ч при температуре (5±1)°С.
 
8.3.3 После термостатирования образцы извлекают из воды, обтирают влажным полотенцем и определяют массу каждого образца с точностью до 0, 1 г.
 
9 Порядок выполнения испытаний
 
При проведении испытаний для каждого испытуемого образца выполняют следующие действия:
 
- помещают испытуемый образец в испытательную камеру. Образцы, приготовленные в лаборатории, устанавливают опиленной поверхностью вверх, образцы, отобранные из покрытия, - неопиленной поверхностью вверх. Образец должен быть жестко закреплен в испытательной камере. Допускается использование специальных прокладок между образцом и стенкой камеры с целью предотвращения перемещения образца во время испытания;
 
- помещают кольцеобразную прокладку на образец, стальные шары помещают в кольцевую прокладку и закрывают крышку испытательной камеры;
 
- проводят испытание в течение (15±1) мин при частоте подъема поршня (950±10) циклов в минуту, при этом расход воды должен составлять (2, 0±0, 2) л/мин;
 
- после завершения испытания образец вынимают из установки и промывают холодной водой;
 
- обтирают образец влажным полотенцем и определяют массу с точностью до 0, 1 г.
 
10 Обработка результатов испытаний
 
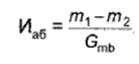
Истираемость асфальтобетона Иаб, см3, вычисляют до целого числа по формуле
 

,
 
(1)
 
где m1 - масса образца перед испытаниями, г;
 
m2 - масса образца после испытания, г;
 
Gmb - объемная плотность образца, г/см2 с точностью до первого знака после запятой, определяемая по ПНСТ 106-2016.
 
11 Оформление результата испытания
 
Результат испытания оформляют в виде протокола, который должен содержать:
 
- обозначение настоящего стандарта;
 
- дату проведения испытания;
 
- название организации, проводившей испытание;
 
- вид и тип асфальтобетона;
 
- значение истираемости асфальтобетона,
 
12 Контроль точности результата испытания
 
Точность результата испытания обеспечивается:
 
- соблюдением требований настоящего стандарта;
 
- проведением периодической оценки метрологических характеристик средств измерений;
 
- проведением периодической аттестации оборудования.
 
Специалисты, проводящие измерения, должны быть ознакомлены с требованиями настоящего стандарта.