Утв. Приказом федерального агентства по техническому регулированию и метрологии от 28 апреля 2016 г. N 35-пнст
Предварительный национальный стандарт ПНСТ 113-2016
"ДОРОГИ АВТОМОБИЛЬНЫЕ ОБЩЕГО ПОЛЬЗОВАНИЯ. СМЕСИ АСФАЛЬТОБЕТОННЫЕ ДОРОЖНЫЕ И АСФАЛЬТОБЕТОН. МЕТОД ОПРЕДЕЛЕНИЯ ВОДОСТОЙКОСТИ И АДГЕЗИОННЫХ СВОЙСТВ"
Automobile roads of general use. Hot asphalt mixtures and asphalt concrete. Method for determination of water resistance and adhesion properties
Срок действия - с 1 июня 2016 г.
по 1 июня 2019 г.
Введен впервые
Предисловие
1 Разработан Обществом с ограниченной ответственностью "Центр метрологии испытаний и стандартизации" (ООО "ЦМИиС")
2 Внесен Техническим комитетом по стандартизации ТК 418 "Дорожное хозяйство"
3 Утвержден и введен в действие приказом Федерального агентства по техническому регулированию и метрологии от 28 апреля 2016 г. N 35-пнст
4 Введен впервые
Введение
Настоящий стандарт разработан с учетом основных нормативных положений AASHTO T 283 "Определение водостойкости и адгезионных свойств асфальтобетона" ["Resistance of compacted hot mix asphalt (HMA) to moisture-induced damage"] и входит в комплекс стандартов, нормирующих метод объемного проектирования асфальтобетонных смесей в Российской Федерации.
1 Область применения
Настоящий стандарт устанавливает метод определения водостойкости и адгезионных свойств асфальтобетона путем разрушения образца, подверженного водонасыщению и циклу "замораживание - оттаивание".
Настоящий стандарт распространяется на асфальтобетонные дорожные смеси и асфальтобетон, предназначенные для устройства конструктивных слоев дорожной одежды.
2 Нормативные ссылки
В настоящем стандарте использованы нормативные ссылки на следующие стандарты:
ГОСТ 12.4.131-83 Халаты женские. Технические условия
ГОСТ 12.4.132-83 Халаты мужские. Технические условия
ГОСТ 12.4.252-2013 Система стандартов безопасности труда. Средства индивидуальной защиты рук. Перчатки. Общие технические требования. Методы испытаний
ГОСТ Р 12.1.019-2009 Система стандартов безопасности труда. Электробезопасность. Общие требования и номенклатура видов защиты
ГОСТ Р 53228-2008 Весы неавтоматического действия. Часть 1. Метрологические и технические требования. Испытания
ПНСТ 90-2016 Дороги автомобильные общего пользования. Смеси асфальтобетонные дорожные и асфальтобетон. Метод отбора проб
ПНСТ 91-2016 Дороги автомобильные общего пользования. Смеси асфальтобетонные дорожные и асфальтобетон. Метод сокращения пробы
ПНСТ 92-2016 Дороги автомобильные общего пользования. Смеси асфальтобетонные дорожные и асфальтобетон. Метод определения максимальной плотности
ПНСТ 106-2016 Дороги автомобильные общего пользования. Смеси асфальтобетонные дорожные и асфальтобетон. Метод определения объемной плотности
ПНСТ 110-2016 Дороги автомобильные общего пользования. Смеси асфальтобетонные дорожные и асфальтобетон. Метод подготовки цилиндрических образцов с использованием установки Маршалла
ПНСТ 112-2016 Дороги автомобильные общего пользования. Смеси асфальтобетонные дорожные и асфальтобетон. Метод приготовления образцов вращательным уплотнителем (Гиратором)
Примечание - При пользовании настоящим стандартом целесообразно проверить действие ссылочных стандартов в информационной системе общего пользования - на официальном сайте Федерального агентства по техническому регулированию и метрологии в сети Интернет или по ежегодному информационному указателю "Национальные стандарты", который опубликован по состоянию на 1 января текущего года, и по выпускам информационного указателя "Национальные стандарты" за текущий год. Если заменен ссылочный стандарт, на который дана недатированная ссылка, то рекомендуется использовать действующую версию этого стандарта с учетом всех внесенных в данную версию изменений. Если заменен ссылочный стандарт, на который дана датированная ссылка, то рекомендуется использовать версию этого стандарта с указанным выше годом утверждения (принятия). Если после утверждения национального стандарта в ссылочный стандарт, на который дана датированная ссылка, внесено изменение, затрагивающее положение, на которое дана ссылка, то это положение рекомендуется применять без учета данного изменения. Если ссылочный стандарт отменен без замены, то положение, в котором дана ссылка на него, рекомендуется применять в части, не затрагивающей эту ссылку.
3 Термины и определения
В настоящем стандарте применены следующие термины с соответствующими определениями:
3.1 испытуемый образец (test sample): Уплотненная асфальтобетонная смесь в виде цилиндра диаметром 150 мм и высотой от 90 до 100 мм.
3.2 водостойкость (moisture resistance): Отношение предела прочности при непрямом растяжении серии образцов, подверженных водонасыщению и циклу "замораживание - оттаивание", к пределу прочности при непрямом растяжении серии образцов, выдержанных при комнатных условиях.
3.3 цикл "замораживание - оттаивание" (cycle of freezing-thawing): Цикл, за который образец асфальтобетона подвергается замораживанию в водонасыщеном состоянии при температуре минус (18±3)°С в течение не менее 16 ч, с последующим оттаиванием в водной среде при температуре (60±3)°С в течение (24±1) ч.
4 Требования к средствам измерений, вспомогательным устройствам, материалам и реактивам
4.1 При выполнении испытаний применяют следующие средства измерений, вспомогательные устройства и реактивы:
4.1.1 Вращательный уплотнитель в соответствии с ПНСТ 112.
4.1.2 Металлический противень для термостатирования смеси площадью от 50000 до 150000 мм2 и глубиной не менее 25 мм.
4.1.3 Водяной термостат, способный поддерживать температуру от 59°С до 61°С.
4.1.4 Весы с приспособлением для гидростатического взвешивания по ГОСТ Р 53228 II класса точности, с пределом измерения не менее 5000 г и ценой деления 0, 01 г.
4.1.5 Вакуумная установка для насыщения водой уплотненных образцов асфальтобетона.
4.1.6 Морозильная камера, способная поддерживать температуру от минус 15°С до минус 21°С.
4.1.7 Мерный цилиндр объемом не менее 10 мл.
4.1.8 Сушильный шкаф с принудительной вентиляцией, способный нагревать и поддерживать температуру от 25°С до 180°С с точностью 3°С.
4.1.9 Пресс с максимальной нагрузкой не менее 50 кН и способный поддерживать постоянную скорость деформации, равную 50 мм в минуту, с автоматической регистрацией значений деформации и нагрузки.
4.1.10 Нагрузочные пластины (рисунок 1), через которые передается нагрузка на образец, должны быть длиной не менее 100 мм, шириной (19, 0±0, 1) мм и радиусом кривизны рабочей поверхности (75, 0±0, 5) мм. В том случае, если испытание проводят на образцах диаметром 100 мм, приготовленных на уплотнителе Маршалла, необходимо применять нагрузочные пластины длиной не менее 70 мм, шириной (12, 7±0, 1) мм и радиусом кривизны рабочей поверхности (50, 0±0, 5) мм.
4.1.11 Герметичные полиэтиленовые пакеты, способные вместить испытуемые образцы.
4.1.12 Термометр ртутный с пределом измерений не менее 30°С и ценой деления 1°С.
4.1.13 Бытовая пластиковая стретч-пленка или пищевая пленка.
Рисунок 1 - Схема испытания на определение предела прочности при непрямом растяжении асфальтобетона
5 Метод измерений
Сущность метода заключается в определении отношения предела прочности при непрямом растяжении образца после воздействия влаги и цикла "замораживание - оттаивание" и предела прочности при непрямом растяжении образца, выдержанного на воздухе при температуре (22±3)°С.
После определения отношения предела прочности при непрямом растяжении по поверхности разлома визуально определяют степень адгезии битума с минеральной частью смеси.
6 Требования безопасности и охраны окружающей среды
При работе с асфальтобетонами используют специальную защитную одежду по ГОСТ 12.4.131 или ГОСТ 12.4.132. Для защиты рук используют перчатки по ГОСТ 12.4.252.
При выполнении измерений соблюдают правила по электробезопасности по ГОСТ Р 12.1.019 и инструкции по эксплуатации оборудования.
Не реже одного раза в два месяца необходимо проверять своими силами контролеры температуры в климатической камере, датчики нагрузки и деформации, а также проводить калибровку испытательного оборудования в установленные производителем сроки.
7 Требования к условиям измерений
При выполнении измерений соблюдают следующие условия для помещений, в которых испытывают образцы:
- температура - (22±3)°С;
- относительная влажность - (55±15)%.
8 Подготовка к выполнению измерений
8.1 При подготовке к выполнению испытаний проводят следующие работы:
- подготовка образцов;
- оценка объемных свойств образцов.
8.2 Подготовка образцов
Для проведения испытаний необходимо использовать не менее шести образцов, три из которых выдерживают на воздухе при температуре (22±3)°С, а остальные три подвергают водонасыщению, а также циклу "замораживание - оттаивание".
8.2.1 Подготовка образцов из асфальтобетонной смеси, приготовленной в лаборатории
Либо разогревают минеральный заполнитель и вяжущие и смешивают их в заранее рассчитанных пропорциях, из расчета одна смешанная порция на один образец, либо можно приготовить сразу большую порцию смеси для приготовления как минимум трех образцов. Температурой смешивания является температура, при которой вязкость несостаренного вяжущего находится в пределах (0, 17±0, 02) Па·с. Температуру смешивания определяют в соответствии с приложением Г ПНСТ 112.
Приготовленную асфальтобетонную смесь равномерно распределяют на металлическом противне и остужают при температуре (22±3)°С в течение (120±30) мин.
Затем противень со смесью помещают в сушильный шкаф при температуре (60±3)°С и выдерживают при заданной температуре в течение от 15 до 17 ч. Противень со смесью следует ставить на перфорированные полки для обеспечения свободной циркуляции воздуха под ним.
Далее противень со смесью помещают в сушильный шкаф при температуре, равной температуре уплотнения, на (120±10) мин. Температурой уплотнения является температура, при которой вязкость несостаренного вяжущего находится в пределах (0, 28±0, 03) Па·с. Температуру уплотнения определяют в соответствии с приложением Г ПНСТ 112.
После выдерживания смеси в сушильном шкафу определяют максимальную плотность в соответствии с ПНСТ 92.
В соответствии с ПНСТ 112 формуют необходимое количество образцов диаметром 150 мм и высотой (95±5) мм либо образцы диаметром 100 мм и высотой (63, 5±2, 5) мм в соответствии с ПНСТ 110, с количеством воздушных пустот, равным (7, 0±0, 5)%. Уплотненные образцы выдерживают при температуре (22±3)°С в течение (24±3) ч.
8.2.2 Подготовка образцов из асфальтобетонной смеси, приготовленной на асфальтобетонном заводе
Асфальтобетонная смесь, приготовленная на заводе, должна быть отобрана в соответствии с ПНСТ 90.
Отобранную асфальтобетонную смесь равномерно распределяют на металлическом противне и остужают при температуре (22±3)°С в течение (120±30) мин.
Затем противень со смесью помещают в сушильный шкаф при температуре (60±3)°С и выдерживают при заданной температуре в течение от 15 до 17 ч. Противень со смесью следует ставить на перфорированные полки для обеспечения свободной циркуляции воздуха под ним.
После выдерживания асфальтобетонной смеси в сушильном шкафу определяют максимальную плотность в соответствии с ПНСТ 92.
После этого уменьшают количество асфальтобетонной смеси до требуемого для изготовления как минимум шести образцов в соответствии с ПНСТ 91.
В соответствии с ПНСТ 112 формуют необходимое количество образцов диаметром 150 мм и высотой (95±5) мм либо образцы диаметром 100 мм и высотой (63, 5±2, 5) мм в соответствии с ПНСТ 110, с количеством воздушных пустот, равным (7, 0±0, 5)%. Уплотненные образцы выдерживают при температуре (22±3)°С в течение (24±3) ч.
8.2.3 Подготовка образцов, отобранных из покрытия
Для проведения испытания на образцах, отобранных из слоев дорожного покрытия, необходимо отобрать керны толщиной не менее 63, 5 мм и диаметром 100 либо 150 мм. При необходимости следует отделить слои кернов друг от друга путем их разрезания на циркулярной пиле. После распиливания необходимо просушить образцы при температуре (22±3)°С до постоянной массы. Количество отобранных кернов должно быть не меньше шести для каждой группы.
8.3 Оценка объемных свойств образцов
После выдерживания образцов при температуре (22±3)°С измеряют высоту t и диаметр D каждого образца.
Затем необходимо определить объемную плотность Gmb и объем уплотненного образца, определенный при гидростатическом взвешивании Е каждого образца в соответствии с ПНСТ 106, и вычислить количество воздушных пустот Pa, %, по формуле

,
(1)
где Gmm - максимальная плотность асфальтобетона, г/см3;
Gmb - объемная плотность уплотненного асфальтобетона, г/см3.
Далее рассчитывают объем воздушных пустот Va, см3, в уплотненном образце по формуле

,
(2)
где Pa - содержание воздушных пустот, %;
Е - объем уплотненного образца асфальтобетона, определенный при гидростатическом взвешивании, см3.
После определения количества воздушных пустот каждого образца необходимо разделить образцы на две группы как минимум по три образца в каждой, так, чтобы среднее содержание воздушных пустот в обеих группах было примерно одинаковое.
9 Порядок выполнения испытаний
После проведения всех подготовительных процедур образцы первой группы выдерживают при температуре (22±3)°С, а образцы второй группы подвергают неполному водонасыщению, а также циклу "замораживание - оттаивание".
9.1 Образцы из первой группы выдерживают на воздухе при температуре (22±3)°С в течение (24±3) ч, а затем помещают в герметичный полиэтиленовый пакет.
9.2 Образцы второй группы подготавливаются следующим образом:
Определяют массу асфальтобетонных образцов на воздухе с точностью до 0, 01 г и помещают их в вакуумную камеру с перфорированными полками. Затем их заливают водой при температуре (22±3)°С так, чтобы толщина слоя воды над поверхностью образца была не менее 25 мм. Далее в камере создают остаточное давление, равное от 13 до 67 кПа, и выдерживают образцы при этом давлении в течение от 5 до 10 мин. После этого определяют массу насыщенных на воздухе образцов в соответствии с ПНСТ 106 и записывают ее как В. После проведения взвешивания образцы, насыщенные водой, необходимо снова хранить в воде до тех пор, пока проводят расчет степени насыщения.
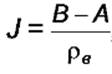
Затем вычисляют объем поглощенной воды J, см3, по формуле

,
(3)
где ρв - плотность воды, равная 0, 997, г/см3;
В - масса образца после насыщения влагой на воздухе, г;
А - масса сухого образца на воздухе, г.
Далее рассчитывают степень насыщения W, %. по формуле

,
(4)
где J - объем поглощенной воды, см3;
Va - объем воздушных пустот, см3.
Если степень насыщения составляет от 70% до 80%, то заматывают насыщенные водой образцы в пластиковую стретч-пленку и помещают их в герметичные полиэтиленовые пакеты, каждый отдельно, и добавляют в пакет (10, 0±0, 5) мл воды. Плотно закрыв полиэтиленовые пакеты, их помещают вместе с образцами в морозильную камеру при температуре от минус 15°С до минус 21°С на срок не менее 16 ч.
Если степень насыщения составляет менее 70%, то следует повторить вышеописанную процедуру водонасыщения, используя большее давление вакуума или более продолжительное время насыщения, до тех пор, пока степень насыщения не достигнет от 70% до 80%.
В том случае, если степень насыщения превысила 80%, данные образцы следует отбраковать.
Вынимают образцы из морозильной камеры, удаляют пленку и полиэтиленовый пакет и помещают образцы в водяной термостат с температурой (60±1)°С на (24±1) ч.
9.3 Далее образцы из первой группы, в герметичных пакетах, и из второй группы, без пленки и пакетов, помещают в водяную ванну при температуре (25±1)°С на (120±10) мин. Уровень воды над поверхностью образцов должен составлять не менее 25 мм. В случае необходимости допускается добавление льда в водяную ванну для стабилизации температуры в первые 15 мин.
После термостатирования в водяной ванне необходимо измерить толщину всех образцов t и раздавить их с помощью нагрузочных пластин, описанных в 4.1.10, фиксируя максимальную нагрузку Р при сжатии каждого образца и продолжая нагружение до полного разрушения образца на две части. При проведении испытания необходимо удостовериться в том, что нагрузку прикладывают строго по вертикальной диаметральной оси образца.
На разломившихся поверхностях образцов из второй группы оценивают адгезионные свойства асфальтобетона. Оценку выставляют по пятибалльной шкале - чем больше количество разрушений было выявлено на разломившейся поверхности образца, тем ниже оценка.
10 Обработка результатов испытаний
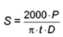
10.1 Для каждого испытуемого образца рассчитывают предел прочности при непрямом растяжении S, кПа, по формуле

,
(5)
где Р - максимальная нагрузка, Н;
t - толщина образца, мм;
D - диаметр образца, мм.
10.2 Коэффициент водостойкости TSR рассчитывают как отношение среднеарифметических пределов прочности при непрямом растяжении между второй и первой группой образцов по формуле

,
(6)
где S1 - среднее арифметическое значение предела прочности при непрямом растяжении образцов из первой группы, кПа;
S2 - среднее арифметическое значение предела прочности при непрямом растяжении образцов из второй группы, кПа.
11 Оформление результата испытания
Результат испытания оформляют в виде протокола, который должен содержать:
- обозначение настоящего стандарта;
- дату проведения испытания;
- название организации, проводившей испытание;
- вид асфальтобетона;
- высоту и диаметр всех образцов с точностью до 1 мм;
- температуру испытания с точностью до 1°С;
- количество образцов в каждой группе, шт.;
- средний процент содержания воздушных пустот, %;
- предел прочности при непрямом растяжении каждого образца, кПа;
- коэффициент водостойкости;
- визуальную оценку адгезионных свойств по пятибалльной шкале.
12 Контроль точности результата испытания
Точность результата испытания обеспечивается:
- соблюдением требований настоящего стандарта;
- проведением периодической оценки метрологических характеристик средств измерений;
- проведением периодической аттестации оборудования.
Лицо, проводящее измерения, должно быть ознакомлено с требованиями настоящего стандарта.