Утв. Приказом федерального агентства по техническому регулированию и метрологии от 10 марта 2016 г. N 10-пнст
 
Предварительный национальный стандарт ПНСТ 88-2016
 
"ДОРОГИ АВТОМОБИЛЬНЫЕ ОБЩЕГО ПОЛЬЗОВАНИЯ. МАТЕРИАЛЫ ВЯЖУЩИЕ НЕФТЯНЫЕ БИТУМНЫЕ. МЕТОД ОПРЕДЕЛЕНИЯ УПРУГИХ СВОЙСТВ ПРИ МНОГОКРАТНЫХ СДВИГОВЫХ НАГРУЗКАХ (MSCR) С ИСПОЛЬЗОВАНИЕМ ДИНАМИЧЕСКОГО СДВИГОВОГО РЕОМЕТРА (DSR)"
 
 
 
Automobile roads of general use. Petroleum-based bitumen binders. Method of determining the properties of recovery via impacts multiple shear stress (MSCR) using dynamic shear rheometer (DSR)
 
Срок действия - c 1 июня 2016 г. по 1 июня 2019 г.
 
Введен впервые
 
Предисловие
 
1 Разработан Обществом с ограниченной ответственностью "Инновационный технический центр" (ООО "ИТЦ") совместно с Автономной некоммерческой организацией "Научно-исследовательский институт транспортно-строительного комплекса" (АНО "НИИ ТСК")
 
2 Внесен Техническим комитетом по стандартизации ТК 418 "Дорожное хозяйство"
 
3 Утвержден и введен в действие приказом Федерального агентства по техническому регулированию и метрологии от 10 марта 2016 г. N 10-ПНСТ
 
4 Введен впервые
 
Введение
 
Настоящий стандарт разработан с учетом основных нормативных положений стандарта AASHTO ТР 70 "Метод определения упругих свойств при многократных сдвиговых нагрузках (MSCR) с использованием динамического сдвигового реометра (DSR)" [AASHTO ТР 70 "Standard Method of Test for Multiple Stress Creep Recovery (MSCR) Test of Asphalt Binder Using a Dynamic Shear Rheometer (DSR)"] и входит в комплекс стандартов, нормирующих метод объемного проектирования асфальтобетонных смесей в Российской Федерации.
 
1 Область применения
 
Настоящий стандарт распространяется на нефтяные битумные вяжущие материалы (далее - битумные вяжущие), предназначенные в качестве вяжущего материала при строительстве, ремонте и реконструкции дорожных покрытий и оснований, и устанавливает метод определения упругих свойств битумных вяжущих при многократных циклах сдвиговых нагрузок с последующим восстановлением с использованием динамического сдвигового реометра (DSR).
 
2 Нормативные ссылки
 
В настоящем стандарте использованы нормативные ссылки на следующие стандарты:
 
ГОСТ 12.1.004-91 Система стандартов безопасности труда. Пожарная безопасность. Общие требования
 
ГОСТ 12.1.007-76 Система стандартов безопасности труда. Вредные вещества. Классификация и общие требования безопасности
 
ГОСТ 12.1.044-89 Система стандартов безопасности труда. Пожаровзрывоопасность веществ и материалов. Номенклатура показателей и методы их определения
 
ГОСТ 12.4.131-83 Халаты женские. Технические условия
 
ГОСТ 12.4.132-83 Халаты мужские. Технические условия
 
ГОСТ 12.4.252-2013 Система стандартов безопасности труда. Средства индивидуальной защиты рук. Перчатки. Общие технические требования. Методы испытаний
 
ГОСТ 3134-78 Уайт-спирит. Технические условия
 
ГОСТ 33140-2014 Дороги автомобильные общего пользования. Битумы нефтяные дорожные вязкие. Метод определения старения под воздействием высокой температуры и воздуха (метод RTFOT)
 
ГОСТ Р 12.1.019-2009 Система стандартов безопасности труда. Электробезопасность. Общие требования и номенклатура видов защиты
 
ПНСТ 82-2016 Дороги автомобильные общего пользования. Материалы вяжущие нефтяные битумные. Технические требования с учетом уровней эксплуатационных транспортных нагрузок
 
ПНСТ 84-2016 Дороги автомобильные общего пользования. Материалы вяжущие нефтяные битумные. Метод старения под действием давления и температуры (PAV)
 
ПНСТ 85-2016 Дороги автомобильные общего пользования. Материалы вяжущие нефтяные битумные. Технические требования с учетом температурного диапазона эксплуатации
 
ПНСТ 87-2016 Дороги автомобильные общего пользования. Материалы вяжущие нефтяные битумные. Метод определения свойств с использованием динамического сдвигового реометра (DSR)
 
Примечание - При пользовании настоящим стандартом целесообразно проверить действие ссылочных стандартов в информационной системе общего пользования - на официальном сайте Федерального агентства по техническому регулированию и метрологии в сети Интернет или по ежегодному информационному указателю "Национальные стандарты", который опубликован по состоянию на 1 января текущего года, и по выпускам информационного указателя "Национальные стандарты" за текущий год. Если заменен ссылочный стандарт, на который дана недатированная ссылка, то рекомендуется использовать действующую версию этого стандарта с учетом всех внесенных в данную версию изменений. Если заменен ссылочный стандарт, на который дана датированная ссылка, то рекомендуется использовать версию этого стандарта с указанным выше годом утверждения (принятия). Если после утверждения национального стандарта в ссылочный стандарт, на который дана датированная ссылка, внесено изменение, затрагивающее положение, на которое дана ссылка, то это положение рекомендуется применять без учета данного изменения. Если ссылочный стандарт отменен без замены, то положение, в котором дана ссылка на него, рекомендуется применять в части, не затрагивающей эту ссылку.
 
3 Термины и определения
 
В настоящем стандарте применены термины по ПНСТ 87, а также следующие термины с соответствующими определениями:
 
3.1 битумное вяжущее (bitumen binder): Органический вяжущий материал, производимый из продуктов переработки нефти с добавлением при необходимости органических модифицирующих добавок.
 
3.2 цикл ползучести и восстановления (creep-recovery cycle): Деформация образца битумного вяжущего под действием постоянной сдвиговой нагрузки в течение фиксированного периода времени с последующим восстановлением деформации при нулевой постоянной сдвиговой нагрузке в течение фиксированного периода времени.
 
Примечание - Цикл ползучести и восстановления (далее - цикл) состоит из двух последовательных фаз (ползучести и восстановления).
 
3.3 фаза ползучести (creep phase): Часть цикла, когда происходит деформация образца под действием постоянной нагрузки в течение фиксированного периода времени.
 
3.4 фаза восстановления (recovery phase): Часть цикла, когда происходит частичное восстановление деформации при нулевой постоянной нагрузке в течение фиксированного периода времени.
 
4 Требования к средствам измерений, вспомогательным устройствам, материалам и реактивам
 
При выполнении испытаний применяют средства измерений, вспомогательные устройства и реактивы по ПНСТ 87.
 
Динамический сдвиговый реометр (DSR) также должен обеспечивать:
 
- достижение заданного значения постоянной нагрузки для каждой фазы ползучести в течение 0, 03 с после начала цикла;
 
- фиксацию нагрузки не реже чем через каждые 0, 1 с во время фазы ползучести и не реже чем через каждые 0, 45 с во время фазы восстановления;
 
- фиксацию деформации образца не реже чем через каждые 0, 1 с во время фазы ползучести и не реже чем через каждые 0, 45 с во время фазы восстановления с суммированием результатов и фиксацией общей деформации на первой и десятой секунде каждого цикла.
 
Примечание - Если динамический сдвиговый реометр не фиксирует деформацию точно на первой и десятой секунде, его программное обеспечение должно экстраполировать полученные ранее данные с тем, чтобы определить величину деформации на первой секунде и десятой секунде. Экстраполированные данные должны включать в себя результат измерений, полученный не ранее чем за 0, 05 с до требуемого времени в фазе ползучести и не ранее чем за 0, 30 с до требуемого времени в фазе восстановления;
 
- отсутствие периодов релаксации или изменений уровня нагрузки между фазами ползучести и восстановления.
 
5 Метод измерений
 
Сущность метода заключается в многократном циклическом воздействии на образец битумного вяжущего путем приложения и снятия сдвиговой нагрузки в течение определенного времени и измерении деформации и упругого восстановления образца в каждом цикле.
 
6 Требования безопасности и охраны окружающей среды
 
Битумы согласно ГОСТ 12.1.007 относятся к 4-му классу опасности являются малоопасными веществами по степени воздействия на организм человека.
 
При работе с битумами используют одежду специальную защитную - по ГОСТ 12.4.131 или ГОСТ 12.4.132. Для защиты рук используют перчатки - по ГОСТ 12.4.252.
 
При выполнении измерений соблюдают правила по электробезопасности - по ГОСТ Р 12.1.019 и инструкции по эксплуатации оборудования.
 
Битумы согласно ГОСТ 12.1.044 относятся к трудногорючим жидкостям. Работы с применением битумов должны производиться с соблюдением требований пожарной безопасности - по ГОСТ 12.1.004.
 
Испытанный материал утилизируют в соответствии с рекомендациями завода-изготовителя, указанными в стандарте организации на материал.
 
7 Требования к условиям измерений
 
При выполнении измерений соблюдают условия для помещений, в которых испытываются образцы в соответствии с ПНСТ 87.
 
8 Подготовка к выполнению измерений
 
8.1 При подготовке к выполнению измерений проводят следующие работы:
 
- подготовка образцов;
 
- подготовка к испытаниям.
 
8.2 Подготовка образцов
 
Испытания проводят на битумном вяжущем материале, состаренном в соответствии с ГОСТ 33140.
 
Образцы для испытания подготавливают в соответствии с ПНСТ 87 с использованием плит диаметром 25 мм.
 
Примечание - Для достижения достаточной адгезии образца битумного вяжущего и плит измерительной системы рекомендуется нагреть плиты измерительной системы до температуры 64°С и выше до помещения образца в динамический сдвиговой реометр.
 
Испытания допускается проводить на том же образце, который использовался при определении сдвиговой устойчивости битумного вяжущего, состаренного по ГОСТ 33140, с использованием плит диаметром 25 мм в соответствии с ПНСТ 87 и ПНСТ 85, в таком случае необходимо начать выполнение настоящего испытания не ранее чем через 1 мин после окончания предыдущего испытания для соблюдения периода релаксации битумного вяжущего.
 
Примечание - Допускается применять данный метод в исследовательских целях для испытаний несостаренного битумного вяжущего и состаренного по ПНСТ 84.
 
9 Порядок выполнения измерения
 
Температура испытания выбирается в соответствии с ПНСТ 82. Испытание необходимо проводить при выбранной температуре испытания.
 
Испытание состоит из двух последовательных этапов (первого этапа и второго этапа).
 
На первом этапе на образце битумного вяжущего необходимо произвести 10 циклов. В каждом цикле необходимо сначала приложить в течение 1 с постоянную нагрузку 0, 1 кПа (фаза ползучести), которая должна достигаться в течение 0, 03 с после начала цикла, а затем снизить нагрузку до нуля и оставить образец без нагрузки в течение 9 с (фаза восстановления). В течение испытания нагрузку и деформацию необходимо фиксировать не реже чем через каждые 0, 1 с во время действия приложенной нагрузки и не реже чем через каждые 0, 45 с, когда образец находится без нагрузки. Помимо этого необходимо фиксировать значения деформации образца в конце каждой фазы. После завершения цикла необходимо сразу начинать следующий цикл.
 
На втором этапе к образцу битумного вяжущего необходимо приложить 10 циклов аналогично первому этапу, используя вместо постоянной нагрузки 0, 1 кПа нагрузку 3, 2 кПа.
 
Время испытания, состоящего из двух последовательных этапов, должно составлять 200 с.
 
10 Обработка результатов испытаний
 
Для каждого из проведенных циклов необходимо рассчитать по формуле (1) значение деформации (ε1) за время фазы ползучести
 
ε1=εc-ε0,
 
(1)
 
где ε0 - значение деформации в момент начала цикла и фазы ползучести;
 
εc - значение деформации в конце фазы ползучести цикла.
 
Для каждого из проведенных циклов необходимо рассчитать по формуле (2) значение деформации (ε10) за время всего цикла
 
ε10=εr-ε0,
 
(2)
 
где ε0 - значение деформации в момент начала цикла и фазы ползучести;
 
εr - значение деформации в конце цикла и фазы восстановления.
 
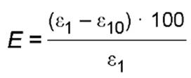
Для каждого цикла необходимо рассчитать по формуле (3) упругое восстановление (Е), в процентах
 

,
 
(3)
 
где ε1 - значение деформации, рассчитанное по формуле 1;
 
ε10 - значение деформации, рассчитанное по формуле 2.
 
Далее необходимо рассчитать среднее значение упругого восстановления (R0, 1) для циклов первого этапа и среднее значение упругого восстановления (R3, 2) для циклов второго этапа.
 
Среднее значение упругого восстановления для первого этапа (R0, 1) рассчитывается как среднеарифметическое 10 значений упругого восстановления (E), полученных для циклов первого этапа.
 
Среднее значение упругого восстановления для второго этапа (R3, 2) рассчитывается как среднеарифметическое 10 значений упругого восстановления (E), полученных для циклов второго этапа.
 
Далее необходимо рассчитать по формуле (4) изменение значения упругого восстановления (R) между первым и вторым этапом, в процентах
 

,
 
(4)
 
где R0, 1 - среднее значение упругого восстановления для первого этапа, %;
 
R3, 2 - среднее значение упругого восстановления для второго этапа, %.
 
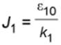
Далее необходимо рассчитать относительную необратимую деформацию (J1) для каждого цикла первого этапа по формуле
 

,
 
(5)
 
где ε10 - значение деформации за время каждого цикла, рассчитанное по формуле 2;
 
k1 - нагрузка, равная 0, 1 кПа.
 
Далее необходимо рассчитать относительную необратимую деформацию (J2) для каждого цикла второго этапа по формуле, в кПа-1
 

,
 
(6)
 
где ε10 - значение деформации за время каждого цикла, рассчитанное по формуле 2, %;
 
k2 - нагрузка, равная 3, 2 кПа.
 
Далее необходимо рассчитать среднее значение относительной необратимой деформации (J0, 1) как среднеарифметическое 10 значений относительной необратимой деформации (J1), полученных для циклов первого этапа.
 
Далее необходимо рассчитать среднее значение относительной необратимой деформации (J3, 2) как среднеарифметическое 10 значений относительной необратимой деформации (J2), полученных для циклов второго этапа.
 
Далее необходимо рассчитать по формуле 7 изменение значения относительной необратимой деформации (J) между первым и вторым этапом, в процентах
 

,
 
(7)
 
где J0, 1 - среднее значение относительной необратимой деформации для циклов первого этапа;
 
J3, 2 - среднее значение относительной необратимой деформации для циклов второго этапа.
 
11 Оформление результата испытания
 
Результат испытания оформляется в виде протокола, который должен содержать:
 
- идентификацию испытуемого образца;
 
- дату проведения испытания;
 
- название организации, проводившей испытание;
 
- ссылку на настоящий стандарт и отклонения от его требований;
 
- ссылку на тип испытательного оборудования;
 
- ссылку на акт отбора проб;
 
- температуру проведения испытаний с точностью до 0, 1°С;
 
- среднее значение упругого восстановления для первого этапа (R0, 1);
 
- среднее значение упругого восстановления для второго этапа (R3, 2);
 
- изменение значения упругого восстановления (R) между первым и вторым этапом, в процентах;
 
- среднее значение относительной необратимой деформации (J0, 1) в кПа-1 с точностью до 0, 01 кПа-1;
 
- среднее значение относительной необратимой деформации (J3, 2) в кПа-1 с точностью до 0, 01 кПа-1;
 
- изменение значения относительной необратимой деформации (J) между первым и вторым этапом, в процентах, с точностью до 0, 1%.
 
12 Контроль точности результата испытания
 
Точность результата испытания обеспечивается:
 
- соблюдением требований настоящего стандарта;
 
- проведением периодической оценки метрологических характеристик средств измерений;
 
- проведением периодической аттестации оборудования.
 
Лицо, проводящее измерения, должно быть ознакомлено с требованиями настоящего стандарта.