ОДМ 218.2.034-2013 МЕТОДИЧЕСКИЕ РЕКОМЕНДАЦИИ ПО ПРИГОТОВЛЕНИЮ И ПРИМЕНЕНИЮ АСФАЛЬТОБЕТОННОЙ СМЕСИ С ИСПОЛЬЗОВАНИЕМ ПЕРЕРАБОТАННОГО АСФАЛЬТОБЕТОНА
В целях реализации в дорожном хозяйстве основных положений Федерального закона от 27 декабря 2002 г. N 184-ФЗ "О техническом регулировании" и обеспечения дорожных организаций методическими рекомендациями по приготовлению и применению асфальтобетонной смеси с использованием переработанного асфальтобетона:
1. Структурным подразделениям центрального аппарата Росавтодора, федеральным управлениям автомобильных дорог, управлениям автомобильных магистралей, межрегиональным дирекциям по строительству автомобильных дорог федерального значения, территориальным органам управления дорожным хозяйством субъектов Российской Федерации рекомендовать к применению с 30.05.2013 ОДМ 218.2.034-2013 "Методические рекомендации по приготовлению и применению асфальтобетонной смеси с использованием переработанного асфальтобетона" (далее - ОДМ 218.2.034-2013).
2. Управлению научно-технических исследований и информационного обеспечения (В.А. Попов) в установленном порядке обеспечить издание ОДМ 218.2.034-2013 и направить его в подразделения и организации, указанные в пункте 1 настоящего распоряжения.
3. Контроль за исполнением настоящего распоряжения возложить на заместителя руководителя Н.В. Быстрова.
Руководитель |
Р.В. Старовойт |
Настоящий отраслевой дорожный методический документ (далее - ОДМ) распространяется на горячие плотные асфальтобетонные смеси с содержанием щебня менее 50%, пористые и высокопористые смеси с добавлением переработанного асфальтобетона для устройства конструктивных слоев дорожной одежды автомобильных дорог, дворовых и стояночных площадок, дорог промышленных предприятий и устанавливает рекомендации по приготовлению и применению регенерированной асфальтобетонной смеси.
В настоящем ОДМ использованы нормативные ссылки на следующие документы.
ГОСТ Р 52128-2003 "Эмульсии битумные дорожные. Технические условия"
ГОСТ Р 52129-2003 "Порошок минеральный для асфальтобетонных и органоминеральных смесей. Технические условия"
ГОСТ 3344-83 "Щебень и песок шлаковые для дорожного строительства. Технические условия"
ГОСТ 8267-93 "Щебень и гравий из плотных горных пород для строительных работ. Технические условия"
ГОСТ 8736-93 "Песок для строительных работ. Технические условия"
ГОСТ 9128-2009 "Смеси асфальтобетонные дорожные, аэродромные и асфальтобетон. Технические условия"
ГОСТ 12801-98 "Материалы на основе органических вяжущих для дорожного и аэродромного строительства. Методы испытаний"
ГОСТ 22245-90 "Битумы нефтяные дорожные вязкие. Технические условия"
ГОСТ 11955-82 "Битумы нефтяные дорожные жидкие. Технические условия"
В настоящем ОДМ применены следующие термины с соответствующими определениями.
3.1 регенерированный асфальтобетон: Уплотненная регенерированная асфальтобетонная смесь.
3.2 регенерированная асфальтобетонная смесь: Рационально подобранная смесь минеральных материалов с вяжущим с применением в различном процентном отношении переработанного асфальтобетона.
3.3 переработанный асфальтобетон (РАП): Материал, получаемый путем фрезерования старого асфальтобетонного покрытия.
3.4 точечная проба: Проба, полученная путем отбора материала из штабеля с одной точки.
3.5 объединенная проба: Проба, полученная объединением точечных проб.
3.6 дорожная фреза: Самоходная или прицепная дорожная машина на гусеничном или пневмоколёсном ходу, предназначенная для снятия слоёв асфальтобетонных покрытий с автомобильных дорог, улиц, площадей при их ремонте и реконструкции.
3.7 дробильно-сортировочная установка: Комплекс оборудования, предназначенного для измельчения крупных гранул РАП и первичной сортировки.
4.1 Получение РАП
4.1.1 РАП получают путем фрезерования дорожной фрезой или иным способом разборки старого асфальтобетонного полотна. РАП загружают с помощью загрузочного устройства в автомобиль самосвал и отвозят в специально отведенное место для складирования.
4.1.2 Для размельчения РАП специальные дробильно-сортировочные установки.
4.2 Складирование и хранение РАП
4.2.1 РАП с различных объектов (полученный с разных автомобильных дорог или площадок) и различной крупности, рекомендуется хранить раздельно, не допуская его перемешивания. В качестве разделяющих стенок могут быть использованы бетонные или каменные перегородки. Хранение РАП в различных отвалах в зависимости от размера частиц позволяет добиться наибольшей стабильности материала по заданным характеристикам.
При добавление РАП менее 15%, достаточно наличия одного общего штабеля. Разделение РАП на два или более штабеля будет способствовать стабилизации характеристик полученной регенерированной асфальтобетонной смеси.
При ограниченности мест для хранения РАП допустимо объединение РАП с разных объектов. При этом необходимо РАП в одном штабеле доводить до максимальной однородности путем перемешивания и измельчения, с обязательным отбором образцов для оценки гранулометрического состава и свойств заполнителя.
4.2.2 Для снижения попадания в РАП воды, пыли, грязи, травы и прочих загрязняющих примесей, РАП следует хранить на чистой, сухой и ровной поверхности желательно с твердым покрытием и под крышей, с обязательным обеспечением водостока.
4.3 Отбор проб РАП
4.3.1 При использовании РАП в регенерированных асфальтобетонных смесях до 25%, проводится анализ объединенной пробы РАП полученной путем отбора точечных проб в случайных местах штабеля. Для получения объединенной пробы рекомендуется использовать не менее 5 точечных проб.
4.3.1 При использовании РАП в регенерированных асфальтобетонных смесях более 25%, проводится анализ каждой точечной пробы, полученной путем отбора в случайных местах штабеля.
5.1 Метод А. Приготовление регенерированной асфальтобетонной смеси с использованием РАП до 15% как добавка (наполнитель).
5.1.1 Для приготовления проектируемой регенерированной асфальтобетонной смеси рассчитывается количество минеральных материалов (щебня, песка и минерального порошка).
5.1.2 Разогрев и смешение минеральных материалов следует осуществлять в соответствии с п. 4.3 ГОСТ 12801.
При приготовлении регенерированных асфальтобетонных смесей в лаборатории по горячей технологии минеральные материалы (щебень, песок, минеральный порошок) предварительно высушивают, а битум обезвоживают.
Щебень и песок в количествах, заданных по составу, нагревают до температуры, указанной в таблице 1 и добавляют требуемое количество ненагретого минерального порошка.
РАП, в количестве не более 15% от массы минеральной части асфальтобетонной смеси, добавляют в высушенном, но ненагретом состоянии в уже смешанную смесь щебня, песка и минерального порошка и перемешивают.
После этого добавляют требуемое количество обезвоженного битума, нагретого до температуры, указанной в таблице 1.
Продолжительность перемешивания определяется визуально и продолжается до тех пор, пока все минеральные зерна не будут покрыты вяжущим и в готовой смеси нет его отдельных сгустков.
Таблица 1
Наименование материалов |
Температура нагрева, °С, в зависимости от показателей вяжущего | |||
Глубина проникания иглы при 25°С, 0, 1 мм | ||||
40-60 |
61-90 |
91-130 |
131-200 | |
Щебень |
180-190 |
175-185 |
170-180 |
160-170 |
Песок |
180-190 |
175-185 |
170-180 |
160-170 |
Битум |
150-160 |
140-150 |
130-140 |
110-120 |
Регенерированная асфальтобетонная смесь |
150-160 |
145-155 |
140-150 |
130-140 |
Примечание - Данный метод приготовления регенерированных асфальтобетонных смесей основан на полученных результатах испытания плотных и пористых регенерированных асфальтобетонных смесей. Результаты испытания регенерированных асфальтобетонных смесей представлены в приложении Б.
5.2 Метод Б. Приготовление регенерированной асфальтобетонной смеси с добавлением РАП более 15%, учитывая состав минеральной части РАП при проектировании регенерированной асфальтобетонной смеси.
5.2.1 РАП для приготовления регенерированной асфальтобетонной смеси рекомендуется разделить на фракции просеиванием через сита с размером ячеек 5 и 10 мм.
Примечание - Допускается применять сита с другими размерами ячеек.
5.2.2 Для РАП с размером зерен менее 5 мм, от 5 до 10 мм и более 10 мм определяется зерновой состав минеральной части РАП в соответствии с ГОСТ 12801.
Примечание - Если для разделения РАП на фракции применялись сита с другими размерами ячеек, то зерновой состав минеральной части РАП определяется для каждой полученной фракции.
5.2.3 Рассчитывается количество исходных минеральных материалов (щебня, песка и минерального порошка) для приготовления проектируемой смеси с учетом количества минерального материала в каждой фракции РАП. Содержание каждой фракции РАП варьируется исходя из требований ГОСТ 9128 к проектируемой асфальтобетонной смеси.
Примечание - Допускается не применять ту или иную фракцию РАП, если это обеспечит соответствие требований ГОСТ 9128 к проектируемой асфальтобетонной смеси.
Зерновые составы минеральной части регенерированных асфальтобетонных смесей должны соответствовать указанным в таблице 2.
Таблица 2
В процентах по массе
Вид и тип смесей |
Размер зерен, мм, мельче: | ||||||||||
40 |
20 |
15 |
10 |
5 |
2, 5 |
1, 25 |
0, 63 |
0, 315 |
0, 16 |
0, 071 | |
Плотные: |
Непрерывный зерновой состав | ||||||||||
тип Б |
90-100 - |
76-90 (90-100) |
68-80 (80-100) |
60-72 (70-100) |
50-60 |
38-48 |
28-37 |
20-28 |
14-22 |
10-16 |
6-12 |
тип В |
- |
90-100 |
85-100 |
75-100 |
60-70 |
48-60 |
37-50 |
28-40 |
20-30 |
13-20 |
8-14 |
тип Г |
- |
- |
- |
100 |
70-100 |
65-82 |
45-65 |
30-50 |
20-36 |
15-25 |
8-16 |
тип Д |
- |
- |
- |
100 |
70-100 |
60-93 |
45-85 |
30-75 |
20-55 |
15-33 |
10-16 |
Плотные: |
Прерывистые зерновые составы | ||||||||||
Тип Б |
90-100 - |
76-90 (90-100) |
68-80 (80-100) |
60-72 (70-100) |
50-60 |
38-60 |
28-60 |
20-60 |
14-34 |
10-20 |
6-12 |
Пористые |
90-100 |
75-100 (90-100) |
64-100 |
52-88 |
40-60 |
28-60 |
16-60 |
10-60 |
8-37 |
5-20 |
2-8 |
Высокопористые щебеночные |
90-100 |
55-75 (90-100) |
35-64 |
22-52 |
15-40 |
10-28 |
5-16 |
3-10 |
2-8 |
1-5 |
1-4 |
Высокопористые песчаные |
- |
- |
- |
- |
70-100 |
64-100 |
41-100 |
25-85 |
17-72 |
10-45 |
4-10 |
Примечание - В скобках указаны требования к зерновым составам минеральной части регенерированных асфальтобетонных смесей при максимальной крупности применяемого щебня 20 мм. |
5.2.4 Разогрев и смешение исходных минеральных материалов следует осуществлять в соответствии с п. 4.3 ГОСТ 12801.
При приготовлении регенерированных асфальтобетонных смесей в лаборатории по горячей технологии минеральные материалы (щебень, песок, минеральный порошок) предварительно высушивают, а битум обезвоживают.
Щебень и песок в количествах, заданных по составу, нагревают до температуры, указанной в таблице 1 и добавляют требуемое количество ненагретого минерального порошка.
Полученные в результате разделения фракции РАП добавляют в высушенном, но ненагретом состоянии в уже смешанную смесь щебня, песка и минерального порошка в таком количестве, при котором зерновой состав регенерированной асфальтобетонной смеси не будет выходить за границы требования таблицы 2 и перемешивают.
После этого добавляют требуемое количество обезвоженного битума, нагретого до температуры, указанной в таблице 1.
Продолжительность перемешивания определяется визуально и продолжается до тех пор, пока все минеральные зерна не будут покрыты вяжущим и в готовой смеси нет его отдельных сгустков.
Примечание - Данный метод приготовления регенерированных асфальтобетонных смесей основан на полученных результатах испытания плотных и пористых регенерированных асфальтобетонных смесей. Результаты испытания регенерированных асфальтобетонных смесей представлены в приложении В.
5.3 Приготовление регенерированной асфальтобетонной смеси на асфальтобетонном заводе.
5.3.1 Особенностью асфальтобетонного завода, выпускаемого регенерированную асфальтобетонною смесь, является установка дополнительных приемных бункеров с дозаторами для загрузки в них РАП разных фракций.
Допускается применять двухкамерные смесители, у которых имеется возможность одновременного высушивания и смешения материала.
5.3.2 Подача РАП осуществляется в холодном состоянии непосредственно в асфальтосмеситель после смешения в нем минерального порошка с нагретыми щебнем и песком.
После перемешивания РАП с минеральными материалами в регенерированную асфальтобетонную смесь добавляют требуемое количество нагретого битума.
Примечание - При добавлении и перемешивании РАП с минеральными материалами, особенно если количество РАП составляет более 20%, температура регенерированной асфальтобетонной смеси снижается. В этом случае необходимо увеличить температуру нагрева щебня и песка.
5.3.3 После перемешивания готовая регенерированная асфальтобетонная смесь выгружается традиционным способом в бункер-накопитель.
6.1 Требования к щебню, применяемому для приготовления асфальтобетонных смесей.
6.1.1 Щебень из плотных горных пород и щебень из шлаков, входящие в состав смесей, должны соответствовать требованиям ГОСТ 8267 и ГОСТ 3344 соответственно.
6.1.2 Средневзвешенное содержание зерен пластинчатой (лещадной) и игловатой формы в смеси фракций щебня должно быть, процентов по массе, не более:
25 - для регенерированных смесей типов Б и высокопористых;
35 - для регенерированных смесей типов В и пористых.
6.1.3 Прочность и морозостойкость щебня, применяемого для регенерированных смесей и асфальтобетонов конкретных марок и типов, должны соответствовать указанным в таблице 10 ГОСТ 9128.
6.2 Требования к песку, применяемому для приготовления регенерированных асфальтобетонных смесей.
Природный песок и песок из отсевов дробления горных пород должен соответствовать требованиям ГОСТ 8736, при этом марка по прочности песка из отсевов дробления горных пород и содержание глинистых частиц, определяемых методом набухания, для регенерированных смесей и асфальтобетонов конкретных марок и типов должны соответствовать указанным в таблице 11 ГОСТ 9128. Общее содержание зерен мельче 0, 16 мм (в том числе пылевидных и глинистых частиц) в песке из отсевов дробления не нормируется.
6.3 Требования к минеральному порошку, применяемому для приготовления регенерированных асфальтобетонных смесей.
Минеральный порошок, входящий в состав регенерированных смесей и асфальтобетонов, должен соответствовать требованиям ГОСТ Р 52129.
6.4 Требования к битумам.
Для приготовления регенерированных смесей применяют вязкие дорожные нефтяные битумы по ГОСТ 22245.
6.5 Требования к РАП.
Для приготовления мелкозернистых регенерированных асфальтобетонных смесей размер зерен РАП должен быть не более 25 мм.
Для приготовления крупнозернистых регенерированных асфальтобетонных смесей размер зерен РАП должен быть не более 40 мм.
Дробимость щебня, входящего в состав РАП, должна быть не ниже марки 400.
7.1 Регенерированная асфальтобетонная смесь должна соответствовать всем требованиям ГОСТ 9128.
Показатели физико-механических свойств регенерированных асфальтобетонных смесей и регенерированных асфальтобетонов, применяемых в конкретных дорожно-климатических зонах должны соответствовать указанным в таблице 3.
Таблица 3
Наименование показателя |
Значения для асфальтобетонов марки | |||||||
I |
II |
III | ||||||
Для дорожно-климатических зон | ||||||||
II, III |
IV, V |
II, III |
IV, V |
II, III |
IV, V | |||
Водонасыщение, % по объему, для асфальтобетонов: - плотных типов (образцов, отформованных из смеси): Б, В и Г Д - плотных типов (вырубок и кернов готового покрытия), не более: Б, В и Г Д - пористых (образцов, отформованных из смеси) - пористых (вырубок и кернов готового покрытия), не более - высокопористых (образцов, отформованных из смеси) - высокопористых (вырубок и кернов готового покрытия), не более |
От 1, 5 до 4, 0 | |||||||
От 1, 0 до 4, 0 | ||||||||
4, 5 | ||||||||
4, 0 | ||||||||
От 4, 0 до 10, 0 | ||||||||
10, 0 | ||||||||
От 10, 0 до 18, 0 | ||||||||
18, 0 | ||||||||
Предел прочности при сжатии, при температуре 50°С, МПа, не менее, для асфальтобетонов: - плотных типов: Б В Г Д - пористых и высокопористых |
1, 2 1, 3 0, 7 |
1, 3 1, 6 0, 7 |
1, 0 1, 2 1, 2 1, 3 0, 5 |
1, 2 1, 3 1, 4 1, 5 0, 5 |
0, 9 1, 1 1, 0 1, 1 |
1, 1 1, 2 1, 1 1, 2 | ||
Предел прочности при сжатии, при температуре 20°С для асфальтобетонов плотных типов, МПа, не менее |
2, 5 |
2, 5 |
2, 2 |
2, 2 |
2, 0 |
2, 0 | ||
Предел прочности при сжатии, при температуре 0°С для асфальтобетонов плотных типов, МПа, не более |
11, 0 |
13, 0 |
12, 0 |
13, 0 |
12, 0 |
13, 0 | ||
Водостойкость, не менее: - плотных асфальтобетонов - пористых и высокопористых |
0, 90 0, 70 |
0, 85 0, 70 |
0, 85 0, 60 |
0, 80 0, 60 |
0, 75 |
0, 70 | ||
Водостойкость при длительном водонасыщении, не менее: - плотных асфальтобетонов - пористых и высокопористых |
0, 85 0, 60 |
0, 75 0, 60 |
0, 75 0, 50 |
0, 70 0, 50 |
0, 65 |
0, 60 | ||
Сдвигоустойчивость по: - коэффициенту внутреннего трения, не менее, для асфальтобетонов типов: Б В Г Д - сцеплению при сдвиге при температуре 50°С, МПа, не менее, для асфальтобетонов типов: Б В Г Д |
0, 81 0, 80 0, 37 0, 37 |
0, 83 0, 82 0, 38 0, 38 |
0, 81 0, 76 0, 80 0, 65 0, 35 0, 42 0, 36 0, 54 |
0, 83 0, 78 0, 82 0, 70 0, 36 0, 44 0, 37 0, 55 |
0, 80 0, 75 0, 78 0, 64 0, 34 0, 40 0, 35 0, 48 |
0, 81 0, 77 0, 80 0, 66 0, 36 0, 42 0, 36 0, 50 | ||
Трещиностойкость по пределу прочности на растяжение при расколе при температуре 0°С и скорости деформирования 50 мм/мин для асфальтобетонов плотных типов, МПа: - не менее - не более |
3, 5 6, 0 |
4, 0 6, 5 |
3, 0 6, 5 |
3, 5 7, 0 |
2, 5 7, 0 |
3, 0 7, 5 | ||
Примечания 1 Для крупнозернистых асфальтобетонов показатели сдвигоустойчивости и трещиностойкости не нормируются. 2 Для крупнозернистых пористых и высокопористых асфальтобетонов значение предела прочности при сжатии при температуре 50°С и показатели водостойкости не нормируются. | ||||||||
7.2 Контрольные пробы отбираются после работы дозаторов более одного часа или после выпуска регенерированной асфальтобетонной смеси объемом не менее 60 т.
7.3 Отобранная проба оценивается по физико-механическим характеристикам, а результаты сопоставляются с проектным составом регенерированной асфальтобетонной смеси и требованиями ГОСТ 9128. В случае отклонения от проектных данных выполняются корректировки состава регенерированной асфальтобетонной смеси до начала основного производства.
7.4 На участке дороги, где проводилась укладка, отбираются пробы в соответствии с ГОСТ 12801 для оценки степени уплотнения регенерированного асфальтобетона, а также, при необходимости, оцениваются физико-механические характеристики.
7.5 Контроль качества для регенерированных асфальтобетонных смесей аналогичен контролю традиционных асфальтобетонных смесей.
8.1 Регенерированную асфальтобетонную смесь применяют при строительстве и ремонте конструктивных слоев дорожной одежды автомобильных дорог, дворовых и стояночных площадок, дорог промышленных предприятий в II, III, IV и V дорожно-климатических зонах.
8.2 Регенерированную асфальтобетонную смесь приготовленную по методу А допускается применять в нижнем слое покрытия и в слоях основания на автомобильных дорогах всех технических категорий за исключением автомобильных дорог категории I, а также в покрытии при строительстве и ремонте дворовых и стояночных площадок
8.3 Регенерируемую асфальтобетонную смесь приготовленную по методу Б допускается применять в нижнем слое покрытия и слоях основания на автомобильных дорогах всех технических категорий за исключением автомобильных дорог категории I, а также в верхнем слое покрытия на автомобильных дорогах IV и V технических категорий, при строительстве и ремонте дорог промышленных предприятий, дворовых и стояночных площадок.
Приложение А
(справочное)
1 Общие положения.
1.1 Основания и покрытия из регенерированной асфальтобетонной смеси устраивают при температуре окружающего воздуха не ниже плюс 5°С и на сухом основании с положительной температурой в соответствии СНиП 3.06.03 [1].
1.2 В состав работ по устройству оснований и покрытий из регенерированной асфальтобетонной смеси входят следующие технологические операции:
- подготовительные работы;
- доставка регенерированной асфальтобетонной смеси и выгрузка в бункер асфальтоукладчика;
- укладка смеси асфальтоукладчиком;
- уплотнение уложенного слоя катками.
1.3 Процесс укладки регенерированной асфальтобетонной смеси должен быть непрерывным и согласован с производительностью асфальтобетонного завода, количеством автотранспортных средств для доставки регенерированной асфальтобетонной смеси, производительностью асфальтоукладчика (асфальтоукладчиков) и звена дорожных катков для уплотнения слоя.
1.4 Для укладки смеси рекомендуется применять асфальтоукладчики с автоматической системой обеспечения ровности и поперечного уклона.
1.5 Для уплотнения слоев из асфальтобетонной смеси применяют дорожные катки массой от 6 до 18 тонн.
2 Подготовительные работы.
2.1 Ознакомление с требованиями проекта.
2.2 В период подготовительных работ рекомендуется произвести пробную укладку асфальтобетонной смеси. Совместно с асфальтобетонным заводом следует скорректировать состав смеси и нормы розлива вяжущего для подгрунтовки.
2.3 По результатам пробной укладки уточняют:
- окончательный состав асфальтобетонной смеси, определяют режим ее укладки и уплотнения;
- тип асфальтоукладчика (режимы работы органов предварительного уплотнения, обогрев плиты, ширина плиты при укладке и т.д.) и применяемых катков (тип, вес, вид, количество и т.д.), а также режим их работы;
- степень уплотнения слоя (коэффициент уплотнения и пористость);
3 Доставка регенерированной асфальтобетонной смеси на объект.
3.1 Необходимое количество и грузоподъемность транспортных средств зависит от производительности асфальтобетонного завода, заданного темпа укладки регенерированной асфальтобетонной смеси, состояния подъездных дорог, дальности транспортирования и времени доставки.
3.2 Доставку смеси осуществляют в автомобилях самосвалах с чистыми кузовами, закрытыми защитными тентами или непромокаемыми пологами.
4 Технология укладки.
4.1 Поверхность конструктивного слоя, на который планируется укладывать регенерированную асфальтобетонную смесь должна быть очищена от пыли и грязи.
4.2 Для обеспечения сцепления слоев, слой основания необходимо обрабатывать жидкими битумами по ГОСТ 11955 или битумной эмульсией по ГОСТ Р 52128.
4.3 Допускается не производить обработку основания из свежеуложенного регенерированного асфальтобетона вяжущим, если его поверхность не загрязнена и движению транспорта не открыто.
4.4 Темп укладки регенерированных асфальтобетонных смесей должен быть непрерывным и соответствовать объему поставки асфальтобетонной смеси.
4.5 Рекомендуется перед выгрузкой регенерированной асфальтобетонной смеси в приемный бункер асфальтоукладчика, применять перегружатель асфальтобетонной смеси.
5 Технология уплотнения.
5.1 Горячую регенерированную асфальтобетонную смесь уплотняют дорожными катками после распределения ее асфальтоукладчиком.
5.2 Вид, вес и количество дорожных катков и ведущую машину звена для основного уплотнения назначают исходя из вида регенерированной асфальтобетонной смеси, толщины слоя, скорости укладки и погодно-климатических условий на основании пробного уплотнения.
5.3 В процессе уплотнения необходимо обеспечить минимальные расстояния между асфальтоукладчиком и катками. При движении катков необходимо исключить резкое торможение и реверсирование.
5.4 Уплотнение производят от краев к оси дороги, а затем от оси к краям.
5.5 В процессе уплотнения регенерированной асфальтобетонной смеси дорожные катки должны находиться в непрерывном движении. Не допускается останавливать катки на недоуплотненном и неостывшем слое.

Приложение Б
(справочное)
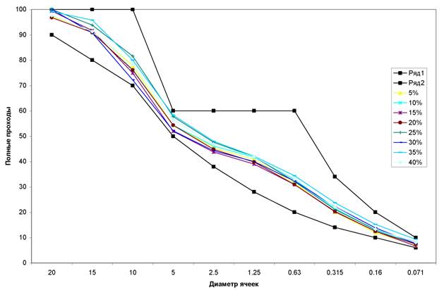
Б.1 Результаты испытания плотной регенерированной асфальтобетонной смеси типа Б марки I с содержанием РАП от 5% до 40%.
Б.1.1 Результаты определения зернового состава плотных регенерированных асфальтобетонных смесей типа Б марки I представлены на рисунке Б.1.
По графикам видно, что зерновые составы минеральной составляющей всех регенерированных асфальтобетонных смесей соответствуют области нормативных кривых для асфальтобетонных смесей типа Б.

Рисунок Б.1 - Графики зерновых составов плотных регенерированных асфальтобетонных смесей типа Б
Б.1.2 Результаты определения физико-механических показателей плотных регенерированных асфальтобетонных смесей типа Б марки I представлены в таблице Б.1.
Таблица Б.1
Наименование показателя |
Требования ГОСТ 9128-09 (I марка, II дкз) |
Фактическое значение от содержания РАП | |||||||
5% |
10% |
15% |
20% |
25% |
30% |
35% |
40% | ||
Остаточная пористость, % |
от 2, 5 до 5, 0 |
2, 7 |
2, 7 |
2, 7 |
2, 3 |
2, 3 |
2, 7 |
2, 7 |
2, 3 |
Водонасыщение, % по объему |
от 1, 5 до 4, 0 |
1, 6 |
1, 5 |
1, 6 |
2, 0 |
1, 5 |
1, 5 |
1, 8 |
1, 5 |
Средняя плотность, г/см3 |
не нормируется |
2, 56 |
2, 55 |
2, 54 |
2, 55 |
2, 54 |
2, 52 |
2, 54 |
2, 52 |
Предел прочности при сжатии при температуре 50°С, МПа |
не менее 1, 2 |
1, 7 |
1, 6 |
1, 8 |
1, 6 |
1, 7 |
1, 8 |
2, 2 |
2, 5 |
Предел прочности при сжатии при температуре 20°С, МПа |
не менее 2, 5 |
5, 4 |
4, 9 |
5, 6 |
5, 3 |
4, 9 |
5, 1 |
6, 0 |
7, 1 |
Предел прочности при сжатии при температуре 0°С, Мпа |
не более 11, 0 |
11, 0 |
11, 0 |
11, 0 |
12, 5 |
12, 8 |
13, 7 |
11, 9 |
14, 5 |
Водостойкость |
не менее 0, 90 |
0, 91 |
0, 94 |
0, 91 |
0, 88 |
0, 97 |
1, 20 |
0, 93 |
1, 01 |
Водостойкость при длительном водонасыщении |
не менее 0, 85 |
0, 89 |
0, 94 |
0, 96 |
0, 92 |
0, 88 |
1, 06 |
0, 91 |
0, 95 |
Коэффициент внутреннего трения |
не менее 0, 81 |
0, 92 |
0, 84 |
0, 95 |
0, 95 |
0, 86 |
0, 93 |
0, 95 |
0, 93 |
Сцепление при сдвиге при температуре 50°С, МПа |
не менее 0, 37 |
0, 48 |
0, 53 |
0, 47 |
0, 48 |
0, 52 |
0, 50 |
0, 52 |
0, 66 |
Трещиностойкость по пределу прочности на растяжение при расколе при температуре 0°С, МПа |
не менее 3, 5 не более 6, 0 |
5, 7 |
5, 9 |
5, 8 |
6, 0 |
5, 5 |
6, 1 |
5, 9 |
5, 8 |
По данным таблицы Б.1 видно, что заявленным требованиям соответствуют регенерированные асфальтобетонные смеси с содержанием РАП вплоть до 15%.
Б.2 Результаты испытания пористой регенерированной асфальтобетонной смеси с содержанием РАП от 5% до 40%.
Б.2.1 Результаты определения зернового состава пористых регенерированных асфальтобетонных смесей представлены на рисунке Б.2.
По графикам видно, что зерновые составы минеральной составляющей всех регенерированных асфальтобетонных смесей соответствуют области нормативных кривых для пористых асфальтобетонных смесей.
Рисунок Б.2 - Графики зерновых составов пористых регенерированных асфальтобетонных смесей
Б.2.2 Результаты определения физико-механических показателей пористых регенерированных асфальтобетонных смесей представлены в таблице Б.2.
Таблица Б.2
Наименование показателя |
Требования ГОСТ 9128-09 (I марка, II дкз) |
Фактическое значение от содержания РАП | |||||||
5% |
10% |
15% |
20% |
25% |
30% |
35% |
40% | ||
Остаточная пористость, % |
от 5, 0 до 10, 0 |
8, 3 |
6, 5 |
6, 8 |
7, 5 |
7, 5 |
7, 2 |
6, 5 |
6, 5 |
Водонасыщение, % по объему |
от 4, 0 до 10, 0 |
7, 0 |
5, 8 |
6, 3 |
6, 4 |
6, 0 |
5, 6 |
5, 4 |
5, 4 |
Средняя плотность, г/см3 |
не нормируется |
2, 44 |
2, 46 |
2, 45 |
2, 46 |
2, 46 |
2, 45 |
2, 45 |
2, 46 |
Предел прочности при сжатии при температуре 50°С, МПа |
не менее 0, 7 |
1, 0 |
1, 1 |
1, 3 |
1, 1 |
1, 0 |
1, 6 |
1, 4 |
1, 8 |
Водостойкость |
не менее 0, 7 |
0, 91 |
0, 96 |
1, 00 |
1, 00 |
1, 01 |
0, 94 |
0, 98 |
0, 99 |
Водостойкость при длительном водонасыщении |
не менее 0, 6 |
0, 80 |
0, 73 |
0, 64 |
0, 60 |
0, 66 |
0, 68 |
0, 65 |
0, 69 |
По данным таблицы Б.2 видно, что заявленным требованиям соответствуют все регенерированные асфальтобетонные смеси.
Б.3 Исследования РАП в Европе и Америке показали, что при добавлении РАП до 15% не следует производить каких-либо изменений в процессе подбора состава регенерированной асфальтобетонной смеси. Результаты отечественных исследований РАП и регенерированных асфальтобетонных смесей приводят к аналогичному заключению.
Также стоит отметить, что в пористые регенерированные асфальтобетонные смеси возможно добавление РАП до 40% без каких-либо изменений в процессе подбора состава регенерированной асфальтобетонной смеси.
Приложение В
(справочное)
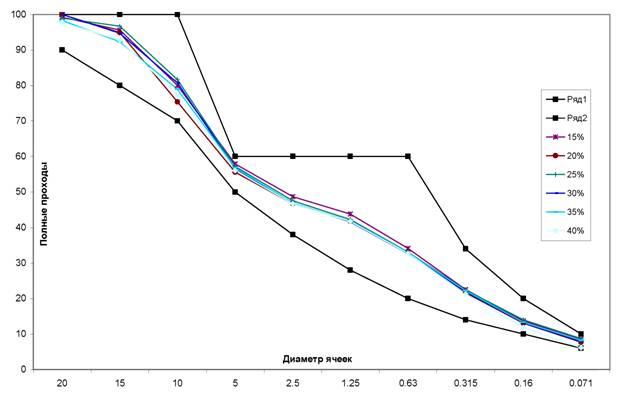
В.1 Результаты испытания плотной регенерированной асфальтобетонной смеси типа Б марки I с содержанием РАП от 15% до 40%.
В.1.1 Результаты определения зернового состава плотных регенерированных асфальтобетонных смесей типа Б марки I представлены на рисунке В.1.
По графикам видно, что зерновые составы минеральной составляющей всех регенерированных асфальтобетонных смесей соответствуют области нормативных кривых для асфальтобетонных смесей типа Б.

Рисунок В.1 - Графики зерновых составов плотных регенерированных асфальтобетонных смесей типа Б
В.1.2 Результаты определения физико-механических показателей плотных регенерированных асфальтобетонных смесей типа Б марки I представлены в таблице В.1.
Таблица В.1
Наименование показателя |
Требования ГОСТ 9128-09 (I марка, II дкз) |
Фактическое значение от содержания РАП | |||||
15% |
20% |
25% |
30% |
35% |
40% | ||
Остаточная пористость, % |
от 2, 5 до 5, 0 |
2, 7 |
3, 1 |
3, 1 |
3, 1 |
3, 1 |
3, 8 |
Водонасыщение, % по объему |
от 1, 5 до 4, 0 |
1, 5 |
1, 6 |
1, 5 |
1, 5 |
1, 2 |
1, 1 |
Средняя плотность, г/см3 |
не нормируется |
2, 52 |
2, 52 |
2, 52 |
2, 50 |
2, 51 |
2, 51 |
Предел прочности при сжатии при температуре 50°С, МПа |
не менее 1, 2 |
1, 6 |
1, 4 |
1, 6 |
2, 0 |
1, 5 |
1, 8 |
Предел прочности при сжатии при температуре 20°С, МПа |
не менее 2, 5 |
6, 5 |
6, 4 |
5, 5 |
6, 2 |
5, 2 |
6, 5 |
Предел прочности при сжатии при температуре 0°С, МПа |
не более 11, 0 |
10, 9 |
10, 8 |
11, 0 |
11, 5 |
12, 0 |
11, 5 |
Водостойкость |
не менее 0, 90 |
0, 99 |
0, 90 |
1, 02 |
0, 94 |
1, 01 |
0, 95 |
Водостойкость при длительном водонасыщении |
не менее 0, 85 |
0, 86 |
0, 85 |
0, 90 |
0, 85 |
0, 98 |
0, 85 |
Коэффициент внутреннего трения |
не менее 0, 81 |
0, 94 |
0, 92 |
0, 94 |
0, 81 |
0, 95 |
0, 95 |
Сцепление при сдвиге при температуре 50°С, МПа |
не менее 0, 37 |
0, 43 |
0, 42 |
0, 46 |
0, 46 |
0, 37 |
0, 51 |
Трещиностойкость по пределу прочности на растяжение при расколе при температуре 0°С, МПа |
не менее 3, 5 не более 6, 0 |
5, 9 |
5, 6 |
6, 0 |
5, 5 |
5, 9 |
5, 9 |
По данным таблицы В.1 видно, что заявленным требованиям соответствуют регенерированные асфальтобетонные смеси с содержанием РАП от 15% до 25%.
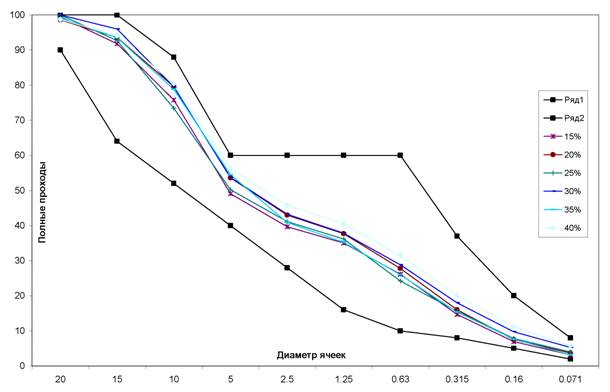
В.2 Результаты испытания пористой регенерированной асфальтобетонной смеси с содержанием РАП от 15% до 40%.
В.2.1 Результаты определения зернового состава пористых регенерированных асфальтобетонных смесей представлены на рисунке В.2.

Рисунок В.2 - Графики зерновых составов пористых регенерированных асфальтобетонных смесей
По графикам видно, что зерновые составы минеральной составляющей всех регенерированных асфальтобетонных смесей соответствуют области нормативных кривых для пористых асфальтобетонных смесей.
В.2.2 Результаты определения физико-механических показателей пористых регенерированных асфальтобетонных смесей представлены в таблице В.2.
Таблица В.2
Наименование показателя |
Требования ГОСТ 9128-09 (I марка, II дкз) |
Фактическое значение от содержания РАП | |||||
15% |
20% |
25% |
30% |
35% |
40% | ||
Остаточная пористость, % |
от 5, 0 до 10, 0 |
7, 6 |
7, 9 |
6, 8 |
5, 0 |
4, 6 |
4, 6 |
Водонасыщение, % по объему |
от 4, 0 до 10, 0 |
7, 2 |
6, 3 |
5, 4 |
4, 6 |
4, 3 |
3, 5 |
Средняя плотность, г/см3 |
не нормируется |
2, 44 |
2, 46 |
2, 47 |
2, 47 |
2, 48 |
2, 49 |
Предел прочности при сжатии при температуре 50°С, МПа |
не менее 0, 7 |
0, 9 |
1, 0 |
1, 1 |
1, 2 |
1, 4 |
1, 5 |
Водостойкость |
не менее 0, 7 |
1, 00 |
0, 91 |
1, 01 |
1, 01 |
0, 94 |
1, 01 |
Водостойкость при длительном водонасыщении |
не менее 0, 6 |
0, 74 |
0, 60 |
0, 60 |
0, 60 |
0, 61 |
0, 62 |
По данным таблицы В.2 видно, что заявленным требованиям соответствуют регенерированные асфальтобетонные смеси с содержанием РАП от 15% до 30%.
Библиография
[1] СНиП 3.06.03-85 |
Автомобильные дороги |