РД 52.24.518-2008 МАССОВАЯ КОНЦЕНТРАЦИЯ НИТРИТОВ В ВОДАХ. МЕТОДИКА ВЫПОЛНЕНИЯ ИЗМЕРЕНИЙ ФОТОМЕТРИЧЕСКИМ МЕТОДОМ С СУЛЬФАНИЛАМИДОМ И N-(1-НАФТИЛ)ЭТИЛЕНДИАМИНА ДИГИДРОХЛОРИДОМ
Дата введения 20 мая 2008 г.
Введен впервые
Введение
Азот относится к числу биогенных элементов и его соединения имеют особое значение для развития жизни в водных объектах. При отсутствии азотсодержащих соединений в воде рост и развитие водной растительности прекращается, однако избыток этих соединений также приводит к негативным последствиям, вызывая процессы эвтрофикации водного объекта и ухудшение качества воды.
Минеральные формы азота в водных объектах представлены, главным образом нитритами, нитратами, аммиаком и ионами аммония.
Источниками поступления соединений азота в природные воды являются разложение клеток отмерших организмов, прижизненные выделения гидробионтов, атмосферные осадки, фиксация из воздуха в результате жизнедеятельности азотфиксирующих бактерий. Значительное количество азота может попадать в водные объекты с бытовыми, сельскохозяйственными и промышленными сточными водами.
Понижение содержания соединений азота в водоемах связано, в основном, с потреблением их водными растениями. Некоторую роль в этом процессе играет денитрификация, т.е. перевод связанного азота в свободное состояние.
Появление нитритов в природных водах связано, главным образом, с процессами минерализации органических веществ и нитрификации. Они являются промежуточным продуктом биохимического окисления аммиака или восстановления нитратов.
Нитриты - неустойчивые компоненты, поэтому в незагрязненных поверхностных водах они присутствуют в незначительных количествах (до 10 мкг/дм3). Повышение содержания нитритов указывает на усиление процессов микробиального разложения органических остатков в условиях дефицита кислорода и является одним из критериев сильного загрязнения водного объекта. Наибольшее содержание нитритов наблюдается к концу лета, что связано с протеканием процессов отмирания водных организмов и разложением органических остатков, а также увеличением интенсивности процесса восстановления нитратов бактериями-денитрификаторами.
В подземных водах содержание нитритов, как правило, выше, особенно в верхних водоносных горизонтах, и может достигать сотен микрограммов в кубическом дециметре.
Содержание нитритов в природных водах нормируется. Предельно допустимая концентрация нитритов для водных объектов рыбохозяйственного назначения 0,02 мг/дм3, хозяйственно-питьевого и культурно-бытового назначения - 1,0 мг/дм3 в пересчете на азот.
1.1 Настоящий руководящий документ устанавливает методику выполнения измерений массовой концентрации (далее - методика) нитритов в пробах природных и очищенных сточных вод в диапазоне от 0,005 до 0,300 мг/дм3 в пересчете на азот (далее - нитритного азота) фотометрическим методом. При анализе проб воды с массовой концентрацией нитритного азота, превышающей 0,300 мг/дм3, допускается выполнение измерений после соответствующего разбавления пробы дистиллированной водой.
1.2 Настоящий руководящий документ предназначен для использования в лабораториях, осуществляющих анализ природных и очищенных сточных вод.
В настоящем руководящем документе использованы ссылки на следующие нормативные документы:
ГОСТ 12.1.005-88 ССБТ. Общие санитарно-гигиенические требования к воздуху рабочей зоны
ГОСТ 12.1.007-76 ССБТ. Вредные вещества. Классификация и общие требования безопасности
ГОСТ 17.1.5.04-81 Охрана природы. Гидросфера. Приборы и устройства для отбора, первичной обработки и хранения проб природных вод. Общие технические условия
ГОСТ 17.1.5.05-85 Охрана природы. Гидросфера. Общие требования к отбору проб поверхностных и морских вод, льда и атмосферных осадков
ГОСТ Р ИСО 5725-6-2002 Точность (правильность и прецизионность) методов и результатов измерений. Часть 6. Использование значений точности на практике
ГОСТ Р 51592-2000 Вода. Общие требования к отбору проб
МИ 2881-2004 Рекомендация. ГСИ. Методики количественного химического анализа. Процедуры проверки приемлемости результатов анализа.
Примечание - Ссылки на остальные нормативные документы приведены в разделах 4, А.3 и А.4.
3.1 При соблюдении всех регламентируемых методикой условий проведения измерений характеристики погрешности результата измерения с вероятностью 0,95 не должны превышать значений, приведенных в таблице 1.
|
Диапазон измерений массовой концентрации нитритного азота |
Показатель повторяемости (среднеквадратическое отклонение повторяемости) |
Показатель воспроизводимости (среднеквадратическое отклонение воспроизводимости) |
Показатель правильности (границы систематической погрешности) |
Показатель точности (границы погрешности) |
|
X, мг/дм3 |
σr, мг/дм3 |
σR, мг/дм3 |
±Δc, мг/дм3 |
±Δ, мг/дм3 |
|
От 0,0050 до 0,3000 включ. |
0,0001+0,0019·X |
0,0005+0,0081·X |
0,0003+0,014·X |
0,0010+0,021·X |
При выполнении измерений массовой концентрации нитритного азота свыше 0,300 мг/дм3 после соответствующего разбавления погрешность измерения массовой концентрации нитритного азота в исходной пробе находят по формуле
±Δ=(±Δ1)·η; (1)
где ±Δ1 - показатель точности измерения массовой концентрации нитритного азота в разбавленной пробе, рассчитанный по уравнению таблицы 1;
η - степень разбавления.
Предел обнаружения нитритного азота фотометрическим методом с сульфаниламидом и N-(1-нафтил)этилендиамина дигидрохлоридом равен 0,001 мг/дм3.
3.2 Значения показателя точности методики используют при:
- оформлении результатов измерений, выдаваемых лабораторией;
- оценке деятельности лабораторий на качество проведения измерений;
- оценке возможности использования результатов измерений при реализации методики в конкретной лаборатории.
При выполнении измерений применяют следующие средства измерений и другие технические средства:
4.1.1 Фотометр или спектрофотометр любого типа, обеспечивающий измерение оптической плотности в диапазоне длин волн от 400 до 500 нм (КФК-3, КФК-2, СФ-46, СФ-56 и др.).
4.1.2 Весы лабораторные высокого (II) класса точности по ГОСТ 24104-2001.
4.1.3 Весы лабораторные среднего (III) класса точности по ГОСТ 24104-2001 с наибольшим пределом взвешивания 200 и 500 г.
4.1.4 Государственный стандартный образец состава водных растворов нитрит-ионов ГСО 7479-98 (далее - ГСО).
4.1.5 Колбы мерные 2-го класса точности исполнения 2, 2а по ГОСТ 1770-74 вместимостью: 50 см3 - 3 шт., 100 см3 - 10 шт., 250 см3 - 2 шт., 500 см3 - 1 шт.
4.1.6 Пипетки градуированные 2-го класса точности исполнения 1,2, по ГОСТ 29227-91 вместимостью: 1 см3 - 4 шт., 2 см3 - 2 шт., 5 см3 - 3 шт., 10 см3 - 1 шт.
4.1.7 Пипетки с одной отметкой 2-го класса точности исполнения 2 по ГОСТ 29169-91 вместимостью: 5 см3 - 1 шт., 10 см3 - 2 шт., 20 см3 - 1 шт., 50 см3 - 1 шт.
4.1.8 Цилиндры мерные исполнения 1,3 по ГОСТ 1770-74 вместимостью: 25 см3 - 2 шт., 50 см3 - 1 шт., 100 см3 - 1 шт., 500 см3 - 1 шт.
4.1.9 Колбы конические Кн исполнения 2 по ГОСТ 25336-82 вместимостью: 50 см3 - 10-15 шт., 250 см3 - 1 шт.
4.1.10 Стаканы тип В, исполнения 1 по ГОСТ 25336-82 вместимостью: 250 см3 - 1 шт., 600 см3 - 1 шт., 1000 см3 - 1 шт.
4.1.11 Пробирки градуированные, исполнения 1 (конические) по ГОСТ 1770-74 - 2 шт.
4.1.12 Стаканчики для взвешивания СВ-19/9 (бюксы) по ГОСТ 25336-82 - 2 шт.
4.1.13 Воронка лабораторная диаметром 56 мм по ГОСТ 25336-82 - 2 шт.
4.1.15 Эксикатор исполнения 2, диаметром корпуса 190 мм по ГОСТ 25336-82 - 1 шт.
4.1.16 Шкаф сушильный общелабораторного назначения.
4.1.17 Устройство для фильтрования проб с использованием мембранных или бумажных фильтров.
4.1.18 Посуда стеклянная (в том числе темного стекла) для отбора проб и хранения растворов вместимостью 0,05; 0,1; 0,25; 0,5 дм3.
4.1.19 Холодильник бытовой.
4.1.20 Электроплитка с закрытой спиралью, ГОСТ 14919-83.
Примечание - Допускается использование других типов средств измерений, посуды и вспомогательного оборудования, в том числе импортных, с характеристиками не хуже, чем у приведенных в 4.1.
При выполнении измерений применяют следующие реактивы и материалы:
4.2.1 Натрий азотистокислый (нитрит натрия) по ГОСТ 4197-74, х.ч. (при отсутствии ГСО).
4.2.2 N-(1-Нафтил)этилендиамин дигидрохлорид (N-(1-нафтил)этилендиаммоний двухлористый) C10H7NHCH2CH2NH2-2HCl по ТУ 6-09-15-420-80, ч.
4.2.3 Сульфаниламид (стрептоцид), ч.
4.2.4 Кислота соляная по ГОСТ 3118-77, ч.д.а.
4.2.5 Хлорид кальция обезвоженный, ТУ 6-09-4711-81, ч.
4.2.6 Квасцы алюмокалиевые по ГОСТ 4329-77, ч.д.а.
4.2.7 Аммиак водный по ГОСТ 3760-79, ч.д.а.
4.2.8 Вода дистиллированная по ГОСТ 6709-72.
4.2.9 Универсальная индикаторная бумага (рН 1-10) по ТУ 6-09-1181-76.
4.2.10 Фильтры бумажные обеззоленные "белая лента" по ТУ 6-09-1678-86.
4.2.11 Фильтры мембранные "Владипор МФАС-ОС-2", 0,45 мкм, ТУ 6-55-221-1-29-89 или другого типа, равноценные по характеристикам, или фильтры бумажные обеззоленные "синяя лента" по ТУ 6-09-1678-86.
Примечание - Допускается использование реактивов, изготовленных по другой нормативно-технической документации, в том числе импортных, с квалификацией не ниже указанной в 4.2.
Выполнение измерений массовой концентрации нитритного азота фотометрическим методом основано на способности первичных ароматических аминов, в частности сульфаниламида, давать в присутствии азотистой кислоты диазосоединение, которое, вступая в реакцию азосочетания с N-(1-нафтил)этилендиамином, образует интенсивно окрашенный азокраситель. Максимум оптической плотности в спектре азокрасителя наблюдается при 543 нм.
6.1 При выполнении измерений массовой концентрации нитритов в пробах природных и очищенных сточных вод соблюдают требования безопасности, установленные в национальных стандартах и соответствующих нормативных документах.
6.2 По степени воздействия на организм вредные вещества, используемые при выполнении измерений, относятся ко 2, 3 классам опасности по ГОСТ 12.1.007.
6.3 Содержание используемых вредных веществ в воздухе рабочей зоны не должно превышать установленных предельно допустимых концентраций в соответствии с ГОСТ 12.1.005.
6.4 Вредно действующие вещества подлежат сбору и утилизации в соответствии с установленными правилами.
6.5 Дополнительных требований по экологической безопасности не предъявляется.
К выполнению измерений и обработке их результатов допускаются лица со средним профессиональным образованием или без профессионального образования, но имеющие стаж работы в лаборатории не менее 6 мес., освоившие методику.
При выполнении измерений в лаборатории должны быть соблюдены следующие условия:
- температура окружающего воздуха (22±5)°C;
- атмосферное давление от 84,0 до 106,7 кПа (от 630 до 800 мм рт. ст.);
- влажность воздуха не более 80% при 25°С;
- напряжение в сети (220±10) В;
- частота переменного тока в сети питания (50±1) Гц.
Отбор проб для выполнения измерений массовой концентрации нитритного азота производится в соответствии с ГОСТ 17.1.5.05 и ГОСТ Р 51592. Оборудование для отбора проб должно соответствовать ГОСТ 17.1.5.04 и ГОСТ Р 51592. Пробу фильтруют через мембранный фильтр, очищенный кипячением в дистиллированной воде. Чистые фильтры хранят в плотно закрытом бюксе. Допустимо использование бумажных фильтров "синяя лента", промытых дистиллированной водой. При фильтровании через любой фильтр первые порции фильтрата следует отбросить. Пробы помещают в стеклянную или полиэтиленовую посуду с плотно закрывающейся пробкой. Объем пробы не менее 100 см3.
Нитриты являются весьма неустойчивым соединением, поэтому анализ следует провести в течение двух часов после отбора пробы. Допускается хранение проб в течение суток при охлаждении до 3-5°С. Использование каких-либо консервантов при этом не является эффективным. Более длительное хранение возможно при замораживании пробы.
10.1.1 Раствор N-(1-нафтил)этилендиамина дигидрохлорида
Взвешивают 0,5 г N-(1-нафтил)этилендиамина дигидрохлорида и растворяют его в 0,5 дм3 дистиллированной воды. Раствор устойчив в течение нескольких месяцев при хранении в темной склянке в холодильнике.
10.1.2 Раствор сульфаниламида
Взвешивают 5,0 г сульфаниламида, переносят его в мерную колбу вместимостью 500 см3, добавляют 300 см3 дистиллированной воды и 50 см3 концентрированной соляной кислоты. После растворения и охлаждения общий объем раствора доводят до метки на колбе дистиллированной водой. Раствор устойчив в течение нескольких месяцев при хранении в темной склянке в прохладном месте.
10.1.3 Раствор соляной кислоты 1:1
К 50 см3 дистиллированной воды прибавляют 50 см3 концентрированной соляной кислоты и перемешивают.
10.2.1 Градуировочные растворы готовят из ГСО с концентрацией нитрит-иона 1,00 мг/см3 (0,3045 мг/см3 нитритного азота).
Для приготовления градуировочного раствора N 1 вскрывают ампулу, и ее содержимое переносят в сухую чистую коническую пробирку. С помощью чистой сухой градуированной пипетки вместимостью 5 см3 отбирают 4,10 см3 образца и переносят в мерную колбу вместимостью 50 см3. Объем в колбе доводят до метки дистиллированной водой и перемешивают. Массовая концентрация нитритного азота в градуировочном растворе N 1 составляет 25,0 мг/дм3 (если концентрация нитрит-ионов в ГСО не равна точно 1,00 мг/см3, рассчитывают массовую концентрацию нитритного азота в градуировочном растворе N 1 соответственно концентрации конкретного образца, либо пересчитывают объем стандартного образца, который необходимо отобрать, чтобы получить раствор с концентрацией нитритного азота 25,0 мг/дм3).
Градуировочный раствор N 1 следует хранить в холодильнике в плотно закрытой склянке из темного стекла не более 5 сут.
Для приготовления градуировочного раствора N 2 пипеткой с одной отметкой отбирают 10,0 см3 градуировочного раствора N 1, помещают его в мерную колбу вместимостью 50 см3 и доводят до метки дистиллированной водой. Массовая концентрация нитритного азота в градуировочном растворе N 2 составляет 5,00 мг/дм3. Раствор хранению не подлежит.
Для приготовления градуировочного раствора N 3 пипеткой с одной отметкой отбирают 10,0 см3 градуировочного раствора N 2, помещают его в мерную колбу вместимостью 50 см3 и доводят до метки дистиллированной водой. Массовая концентрация нитритного азота в градуировочном растворе N 3 составляет 1,00 мг/дм3. Раствор хранению не подлежит.
10.2.2 При отсутствии ГСО допускается в качестве градуировочных растворов использовать аттестованные растворы, приготовленные из нитрита натрия. Методика приготовления аттестованных растворов приведена в приложении А.
Для приготовления градуировочных образцов в мерные колбы вместимостью 100 см3 с помощью градуированных пипеток вместимостью 1, 2, 5 и 10 см3 приливают 0; 0,5; 1,0; 2,0; 5,0 градуировочного раствора N 3 с массовой концентрацией нитритного азота 1,00 мг/дм3 и 1,6; 2,0; 3,0; 4,0 и 6,0 см3 градуировочного раствора N 2 с массовой концентрацией нитритного азота 5,00 мг/дм3.
Объемы растворов доводят до меток на колбах дистиллированной водой и перемешивают. Массовая концентрация нитритного азота в полученных растворах составит, соответственно, 0; 0,005; 0,010; 0,020; 0,050; 0,080; 0,100; 0,150; 0,200; 0,300 мг/дм3.
Мерным цилиндром вместимостью 25 см3 отбирают дважды по 25 см3 каждого из приготовленных растворов, помещают их в сухие конические колбы вместимостью 50 см3, приливают 1 см3 раствора сульфаниламида и тщательно перемешивают. Через 5 мин. прибавляют 1 см3 раствора N-(1-нафтил)этилендиамина дигидрохлорида и тщательно перемешивают. Через 10 мин измеряют оптическую плотность каждого из полученных растворов при длине волны 543 нм на спектрофотометре (фотометре) с непрерывной разверткой спектра или 540 нм на фотометре, снабженном светофильтрами.
Образцы с концентрацией нитритного азота от 0,005 до 0,080 мг/дм3 измеряют в кювете с толщиной поглощающего слоя 5 см, образцы с концентрацией от 0,080 до 0,300 мг/дм3 - в кювете с толщиной поглощающего слоя 1 см относительно дистиллированной воды. Оптическую плотность холостого опыта измеряют в обеих кюветах. Среднее значение оптической плотности холостого опыта вычитают из усредненной оптической плотности растворов, содержащих нитриты.
Градуировочные зависимости оптической плотности от массовой концентрации нитритного азота для каждого из диапазонов измерений рассчитывают методом наименьших квадратов.
Градуировочные зависимости устанавливают при использовании новой партии реактивов сульфаниламида и N-(1-нафтил)этилендиамина дигидрохлорида и при замене измерительного прибора.
10.4.1 Контроль стабильности градуировочной характеристики проводят каждый раз перед выполнением измерений массовой концентрации нитритного азота в серии проб. Средствами контроля являются образцы, используемые для установления градуировочной зависимости по 10.3 (не менее 3 для каждой градуировочной зависимости).
Допускается проводить контроль стабильности градуировочной характеристики для одного диапазона измерений, если второй диапазон не будет использован для расчета результатов измерений в данной серии проб. Градуировочная характеристика считается стабильной при выполнении следующих условий:
|X-Cm|≤σR, (2)
где X - результат контрольного измерения массовой концентрации нитритного азота в образце, мг/дм3;
Cm - приписанное значение массовой концентрации нитритного азота в образце, мг/дм3;
σR - значение показателя воспроизводимости для концентрации Cm, мг/дм3 (таблица 1).
Если условие стабильности не выполняется для одного образца для градуировки, необходимо выполнить повторное измерение этого образца для исключения результата, содержащего грубую погрешность. При повторном невыполнении условия, выясняют причины нестабильности, устраняют их и повторяют измерение с использованием других образцов, предусмотренных методикой. Если градуировочная характеристика вновь не будет удовлетворять условию (1), устанавливают новую градировочную зависимость.
10.4.2 При выполнении условия (1) учитывают знак разности между измеренными и приписанными значениями массовой концентрации нитритного азота в образцах. Эта разность должна иметь как положительные, так и отрицательные значения, если же все значения имеют один знак, это говорит о наличии систематического отклонения. В таком случае требуется установить новую градуировочную зависимость.
11.1 Мерным цилиндром вместимостью 25 см3 отбирают две аликвоты по 25 см3 профильтрованной анализируемой воды, помещают их в сухие конические колбы вместимостью 50 см3, добавляют 1 см3 раствора сульфаниламида и тщательно перемешивают. Через 5 мин прибавляют 1 см3 раствора N-(1-нафтил)этилендиамина дигидрохлорида и тщательно перемешивают. Через 10 мин измеряют оптическую плотность каждого из полученных растворов при длине волны 543 нм спектрофотометре (фотометре) с непрерывной разверткой спектра или 540 нм на фотометре, снабженном светофильтрами, относительно дистиллированной воды в кювете с толщиной поглощающего слоя 1 см или 5 см в зависимости от содержания нитритов. Окраска полученных растворов устойчива не более 2 ч.
Если измеренное значение оптической плотности пробы превышает таковое для последней точки градуировочной зависимости для кюветы с толщиной поглощающего слоя 5 см, то проводят измерение оптической плотности в кювете толщиной поглощающего слоя 1 см. Если же полученное значение оптической плотности превышает значение таковой для последней точки в кювете с толщиной поглощающего слоя 1 см, то проводят повторное измерение после разбавления пробы. Для разбавления отбирают аликвоту от 5 до 50 см3 исходной воды пипеткой с одной отметкой, помещают аликвоту в мерную колбу вместимостью 100 см3, доводят до метки дистиллированной водой и перемешивают. Отбираемую для разбавления аликвоту следует выбирать таким образом, чтобы массовая концентрация нитритного азота в пробе после разбавления находилась в пределах от 0,10 до 0,30 мг/дм3.
Одновременно с пробами выполняют холостой опыт, используя дважды по 25 см3 дистиллированной воды.
11.2 Если анализируемая проба окрашена или слегка мутная, то отдельно проводят измерение ее собственной оптической плотности, добавив к 25 см3 пробы 1 см3 раствора сульфаниламида. Допускается измерять оптическую плотность пробы после добавления раствора сульфаниламида (до истечения 5 мин), а затем добавить раствор N-(1-нафтил) этилендиамина дигидрохлорида, возвратив всю пробу обратно в коническую колбу.
При значительной цветности анализируемой воды целесообразно устранение ее обработкой пробы суспензией гидроксида алюминия (приготовление суспензии описано в приложении Б). Для этого в коническую колбу вместимостью 250 см3 помешают 100-120 см3 анализируемой воды, приливают 3-4 см3 суспензии гидроксида алюминия и встряхивают до обесцвечивания жидкости. Дают пробе отстояться несколько минут и фильтруют через бумажный фильтр "белая лента", промытый дистиллированной водой. Первую порцию фильтрата следует отбросить.
11.3 Выполнению измерений могут мешать сильные восстановители, а также некоторые металлы: висмут(III), ртуть(II), сурьма(III), золото(III), серебро(I), хлорплатинаты, метаванадаты в высоких концентрациях, как правило, не встречающихся в природных или очищенных сточных водах.
Мешающее влияние может оказывать значительное количество железа (III), а также меди (II), вызывающей каталитическое разложение азокрасителя. Однако при соблюдении условий выполнения измерений, регламентированных методикой, их мешающим влиянием на практике можно пренебречь.
11.4 На выполнение измерений может оказать влияние высокая щелочность пробы воды (более 10 ммоль/дм3), перед анализом таких проб их следует нейтрализовать до рН 6-7 по универсальной индикаторной бумаге, добавляя по каплям раствор соляной кислоты 1:1.
11.5 Наиболее существенное влияние оказывает активный хлор или хлорамин (более 0,05 мг/дм3). При высокой концентрации нитритов уменьшить влияние указанных веществ можно разбавлением пробы.
12.1 Вычисляют значение оптической плотности Ах, соответствующее концентрации нитритного азота в пробе по формуле
Ах=А-А1-А2, (3)
где А - значение оптической плотности анализируемой пробы воды, полученное в ходе выполнения измерений;
А1 - значение собственной оптической плотности пробы, к которой добавлен только раствор сульфаниламида;
А2 - среднее значение оптической плотности холостой пробы.
12.2 По соответствующей градуировочной зависимости находят массовую концентрацию нитритного азота в анализируемой пробе воды X, мг/дм3, согласно полученному значению оптической плотности Ах.
Если измерение проводилось после разбавления исходной пробы, то концентрацию нитритного азота в исходной пробе воды рассчитывают по формуле
X=Cp·η, (4)
где Cp - массовая концентрация нитритного азота, найденная по градуировочной зависимости, мг/дм3;
η - степень разбавления исходной пробы воды.
Если для устранения цветности использовали суспензию гидроксида алюминия, то в полученный результат следует ввести поправку на разбавление - умножить результат на коэффициент 1,03.
12.3 Результат измерений в документах, предусматривающих его использование, представляют в виде
X̅±Δ, мг/дм3 (Р = 0,95), (5)
где X̅ - среднее арифметическое значение двух результатов измерений, разность между которыми не превышает предела повторяемости r (2,77•σr), мг/дм3. Значения σr приведены в таблице 1. При превышении предела повторяемости следует поступать в соответствии с 13.2;
±Δ - границы характеристик погрешности результатов измерений для данной массовой концентрации нитритного азота (таблица 1), мг/дм3.
Численные значения результата измерения должны оканчиваться цифрой того же разряда, что и значения характеристики погрешности. Последние не должны содержать более двух значащих цифр.
12.4 Допустимо представлять результат в виде:
X̅±Δл (Р = 0,95) при условии Δл<Δ, (6)
где ±Δл - границы характеристик погрешности результатов измерений, установленные при реализации методики в лаборатории и обеспечиваемые контролем стабильности результатов измерений, мг/дм3.
12.5 Результаты измерения оформляют протоколом или записью в журнале, по формам, приведенным в Руководстве по качеству лаборатории.
13.1.1 Контроль качества результатов измерений при реализации методики в лаборатории предусматривает:
- оперативный контроль исполнителем процедуры выполнения измерений (на основе оценки повторяемости, погрешности при реализации отдельно взятой контрольной процедуры);
- контроль стабильности результатов измерений (на основе контроля стабильности среднеквадратического отклонения повторяемости, среднеквадратического отклонения внутрилабораторной прецизионности, погрешности).
13.1.2 Периодичность оперативного контроля и процедуры контроля стабильности результатов выполнения измерений регламентируют в Руководстве по качеству лаборатории.
13.2.1 Контроль повторяемости осуществляют для каждого из результатов измерений, полученных в соответствии с методикой. Для этого отобранную пробу воды делят на две части, и выполняют измерение в соответствии с разделом 11.
13.2.2 Результат контрольной процедуры rк, мг/дм3 рассчитывают по формуле
rк=|X1-X2|, (7)
где X1, X2 - результаты измерений массовой концентрации нитритного азота в пробе, мг/дм3.
13.2.3 Предел повторяемости rп, мг/дм3, рассчитывают по формуле
rп=2,77•σr, (8)
где σr - показатель повторяемости методики, мг/дм3 (таблица 1).
13.2.4 Результат контрольной процедуры должен удовлетворять условию
rк≤rп. (9)
13.2.5 При несоблюдении условия (9) выполняют еще два измерения и сравнивают разницу между максимальным и минимальным результатами с нормативом контроля равным 3,6•σr. В случае повторного превышения предела повторяемости, поступают в соответствии с разделом 5 ГОСТ Р ИСО 5725-6.
13.3.1 Контроль исполнителем процедуры выполнения измерений проводят путем сравнения результатов отдельно взятой контрольной процедуры Кк с нормативом контроля К.
13.3.2 Результат контрольной процедуры Кк, мг/дм3, рассчитывают по формуле
Кк=|X̅'-X̅-C|, (10)
где X̅' - среднее арифметическое результатов контрольных измерений массовой концентрации нитритного азота в пробе с известной добавкой, мг/дм3;
X̅ - среднее арифметическое результатов контрольных измерений массовой концентрации нитритного азота в рабочей пробе, мг/дм3;
С - концентрация добавки, мг/дм3.
13.3.3 Норматив контроля погрешности К, мг/дм3 рассчитывают по формуле
, (11)
где Δлх' - значения характеристики погрешности результатов измерений установленные при реализации методики в лаборатории, соответствующие массовой концентрации нитритного азота в пробе с добавкой, мг/дм3;
Δлх - значения характеристики погрешности результатов измерений, установленные при реализации методики в лаборатории, соответствующие массовой концентрации нитритного азота в рабочей пробе, мг/дм3.
Примечание - Допустимо для расчета норматива контроля использовать значения характеристик погрешности, полученные расчетным путем по формулам Δлх'=0,84•Δх' и Δлх=0,84•Δх.
13.3.4 Если результат контрольной процедуры удовлетворяет условию
|Кк|≤К, (12)
процедуру анализа признают удовлетворительной.
При невыполнении условия (12) контрольную процедуру повторяют. При повторном невыполнении условия (12), выясняют причины, приводящие к неудовлетворительным результатам, и принимают меры по их устранению.
14.1 Расхождение между результатами измерений, полученными в двух лабораториях, не должно превышать предела воспроизводимости R. При выполнении этого условия приемлемы оба результата измерений и в качестве окончательного может быть использовано их общее среднее значение. Значение предела воспроизводимости рассчитывают по формуле
R=2,77•σR. (13)
14.2 При превышении предела воспроизводимости могут быть использованы методы оценки приемлемости результатов измерений согласно разделу 5 ГОСТ Р ИСО 5725 - 6 или МИ 2881.
14.3 Проверка приемлемости проводится при необходимости сравнения результатов измерений, полученных двумя лабораториями.
ПРИЛОЖЕНИЕ А
(рекомендуемое)
Настоящая методика регламентирует процедуру приготовления аттестованных растворов, предназначенных для установления градуировочных характеристик приборов и контроля точности результатов измерений массовой концентрации нитритного азота в природных и очищенных сточных водах фотометрическим методом.
Метрологические характеристики аттестованных растворов приведены в таблице А.1.
|
Наименование характеристики |
Значение характеристики для аттестованного раствора | ||
|
AP1-N-NO2 |
AP3-N-NO2 |
AP4-N-NO2 | |
|
Аттестованное значение массовой концентрации нитритного азота, мг/дм3 |
250,0 |
5,00 |
1,00 |
|
Границы погрешности аттестованного значения массовой концентрации нитритного азота (Р = 0,95), мг/дм3 |
±2,5 |
±0,059 |
±0,013 |
A.3.1 Весы лабораторные высокого (II) класса точности по ГОСТ 24104-2001.
А.3.2 Колбы мерные 2-го класса точности исполнения 2, 2а по ГОСТ 1770-74 вместимостью: 50 см3 - 1 шт., 250 см3 - 2 шт.
А.3.3 Пипетки с одной отметкой 2-го класса точности исполнения 2 по ГОСТ 29169-91 вместимостью: 5 см3 - 1 шт., 10 см3 - 1 шт.
А.3.4 Стаканчик для взвешивания СВ-19/9 (бюкс) по ГОСТ 25336-82.
А.3.5 Воронка лабораторная по ГОСТ 25336-82 диаметром 56 мм.
А.3.6 Эксикатор исполнения 2, диаметром корпуса 190 мм по ГОСТ 25336-82.
А.3.7 Хлорид кальция обезвоженный по ТУ 6-09-4711-81, ч.
А.3.8 Склянка из темного стекла для хранения раствора вместимостью 0,25 дм3.
А.3.9 Шкаф сушильный общелабораторного назначения.
А.3.10 Холодильник бытовой.
А.4.1 Натрий азотистокислый (нитрит натрия) по ГОСТ 4197-74, х.ч. (допустимо ч.д.а.)
А.4.2 Вода дистиллированная по ГОСТ 6709-72.
А.5.1 Приготовление аттестованного раствора AP1-N-NO2
Для приготовления аттестованного раствора нитритов AP1-N-NO2 взвешивают в бюксе с точностью до четвертого знака после запятой 0,308 г нитрита натрия NaNO2, предварительно высушенного в сушильном шкафу при температуре 105°С в течение 1 ч. Количественно переносят навеску в мерную колбу вместимостью 250 см3, растворяют в дистиллированной воде, доводят объём раствора до метки и перемешивают. Переносят раствор в склянку из темного стекла с хорошо притертой стеклянной или пластиковой пробкой.
Полученному раствору приписывают массовую концентрацию нитритного азота 250,0 мг/дм3.
А.5.2 Приготовление аттестованного раствора AP3-N-NO2
Отбирают 5,0 см3 раствора AP1-N-NO2 пипеткой с одной отметкой вместимостью 5 см3 и переносят его в мерную колбу вместимостью 250 см3. Объем раствора доводят до метки на колбе дистиллированной водой и перемешивают.
Полученному раствору приписывают массовую концентрацию нитритного азота 5,00 мг/дм3.
А.5.3 Приготовление аттестованного раствора AP4-N-NO2
Отбирают 10,0 см3 раствора AP3-N-NO2 пипеткой вместимостью 10 см3 с одной отметкой и переносят его в мерную колбу вместимостью 50 см3. Объем раствора доводят до метки на колбе дистиллированной водой и перемешивают.
Полученному раствору приписывают массовую концентрацию нитритного азота 1,00 мг/дм3.
А.6.1 Расчет метрологических характеристик аттестованного раствора AP1-N-NO2
Аттестованное значение массовой концентрации нитритного азота C1, мг/дм3, рассчитывают по формуле
, (А.1)
где m - масса навески нитрита натрия, г;
V - вместимость мерной колбы, см3;
14,01 и 69,00 - молярная масса азота и нитрита натрия, соответственно, г/моль.
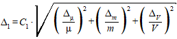
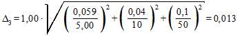
Расчет погрешности приготовления аттестованного раствора AP1-N-NO2, Δ1, мг/дм3 выполняют по формуле
, (А.2)
где Δ1 - предел возможных значений погрешности приготовления аттестованного раствора AP1-N-NO2, мг/дм3;
Δμ - предельное значение возможного отклонения массовой доли основного вещества в реактиве от приписанного значения μ, %;
μ - массовая доля основного вещества (NaNO2) в реактиве, приписанная реактиву квалификации "х.ч." или "ч.д.а.", %;
Δm - предельная возможная погрешность взвешивания, г;
ΔV - предельное значение возможного отклонения вместимости мерной колбы от номинального значения, см3.
Погрешность приготовления аттестованного раствора AP1-N-NO2 равна:
мг/см3.
А.6.2 Расчет метрологических характеристик аттестованного раствора AP3-N-NO2
Аттестованное значение массовой концентрации нитритного азота C2, мг/дм3, рассчитывают по формуле
, (А.3)
где V1 - объем раствора AP1-N-NO2, отбираемый пипеткой, см3;
Расчет погрешности приготовления аттестованного раствора AP3-N-NO2 выполняют по формуле
, (А.4)
где Δ2 - предел возможных значений погрешности приготовления аттестованного раствора AP3-N-NO2, мг/дм3;
- предельное значение возможного отклонения объема V1 от номинального значения, см3.
Погрешность приготовления аттестованного раствора AP3-N-NO2 равна
мг/дм3.
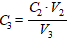
А.6.3 Расчет метрологических характеристик аттестованного раствора AP4-N-NO2
Аттестованное значение массовой концентрации нитритного азота C3, мг/дм3, рассчитывают по формуле
, (А.5)
где V2 - объем раствора AP3-N-NO2, отбираемый пипеткой, см3;
V3 - вместимость мерной колбы, см3.
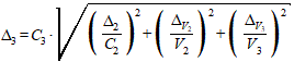
Расчет погрешности приготовления аттестованного раствора AP4-N-NO2 выполняют по формуле
, (А.5)
где
- предельное значение возможного отклонения объема V2 от номинального значения, см3;
- предельное значение возможного отклонения вместимости мерной колбы от номинального значения, см3;
Погрешность приготовления аттестованного раствора AP4-N-NO2 равна
мг/дм3.
Необходимо соблюдать общие требования техники безопасности при работе в химических лабораториях.
Аттестованный раствор может готовить инженер или лаборант со средним профессиональным образованием, прошедший специальную подготовку.
На склянки с аттестованными растворами должны быть наклеены этикетки с указанием условного обозначения аттестованного раствора, массовой концентрации нитритного азота, погрешности ее установления и даты приготовления.
Аттестованный раствор AP1-N-NO2 следует хранить в темной, плотно закрытой склянке в холодильнике не более 1 мес.
Аттестованные растворы AP3-N-NO2 и AP4-N-NO2 хранению не подлежат.
ПРИЛОЖЕНИЕ Б
(обязательное)
В стакане вместимостью 1000 см3 растворяют 63 г алюмокалиевых квасцов (KA1(SO4)2·12H2O), в 500 см3 дистиллированной воды, нагревают раствор примерно до 60°С и при постоянном перемешивании медленно прибавляют 28 см3 концентрированного раствора аммиака. Дают смеси отстояться в течение 1 ч, а затем промывают 4-6 раз дистиллированной водой (до нейтральной реакции по универсальной индикаторной бумаге), декантируя жидкость над осадком.


