Приказ от 08.11.2018 г. № 539 ПРАВИЛА БЕЗОПАСНОСТИ АММИАЧНЫХ ХОЛОДИЛЬНЫХ УСТАНОВОК И СИСТЕМ
Зарегистрировано в Минюсте России 23 января 2019 г. N 53520
ФЕДЕРАЛЬНАЯ СЛУЖБА ПО ЭКОЛОГИЧЕСКОМУ, ТЕХНОЛОГИЧЕСКОМУ
И АТОМНОМУ НАДЗОРУ
ПРИКАЗ
от 8 ноября 2018 г. N 539
ОБ УТВЕРЖДЕНИИ ФЕДЕРАЛЬНЫХ НОРМ И ПРАВИЛ В ОБЛАСТИ ПРОМЫШЛЕННОЙ БЕЗОПАСНОСТИ "ПРАВИЛА БЕЗОПАСНОСТИ АММИАЧНЫХ ХОЛОДИЛЬНЫХ УСТАНОВОК И СИСТЕМ"
В соответствии с подпунктом 5.2.2.16(1) пункта 5 Положения о Федеральной службе по экологическому, технологическому и атомному надзору, утвержденного постановлением Правительства Российской Федерации от 30 июля 2004 г. N 401 (Собрание законодательства Российской Федерации, 2004, N 32, ст. 3348; 2018, N 29, ст. 4438), приказываю:
1. Утвердить прилагаемые Федеральные нормы и правила в области промышленной безопасности "Правила безопасности аммиачных холодильных установок и систем".
2. Считать не подлежащим применению постановление Федерального горного и промышленного надзора России от 9 июня 2003 г. N 79 "Об утверждении Правил безопасности аммиачных холодильных установок" (зарегистрировано Министерством юстиции Российской Федерации 19 июня 2003 г., регистрационный N 4779).
3. Настоящий приказ вступает в силу по истечении шести месяцев со дня его официального опубликования.
Руководитель
А.В.АЛЕШИН
Утверждены
приказом Федеральной службы
по экологическому, технологическому
и атомному надзору
от 8 ноября 2018 г. N 539
ФЕДЕРАЛЬНЫЕ НОРМЫ И ПРАВИЛА В ОБЛАСТИ ПРОМЫШЛЕННОЙ БЕЗОПАСНОСТИ "ПРАВИЛА БЕЗОПАСНОСТИ АММИАЧНЫХ ХОЛОДИЛЬНЫХ УСТАНОВОК И СИСТЕМ"
I. ОБЩИЕ ПОЛОЖЕНИЯ
1. Настоящие Федеральные нормы и правила в области промышленной безопасности "Правила безопасности аммиачных холодильных установок и систем" (далее - Правила) устанавливают обязательные требования, направленные на обеспечение промышленной безопасности, предупреждение аварий, инцидентов и их последствий на аммиачных холодильных установках и системах, на которых используются, хранятся, транспортируются опасные вещества, в том числе токсичные, высокотоксичные и представляющие опасность для окружающей среды, а также способные образовывать паро-, газо- и пылевоздушные взрывопожароопасные смеси (далее - опасные вещества).
Требования пожарной безопасности должны выполняться в соответствии с положениями Федерального закона от 22 июля 2008 г. N 123-ФЗ "Технический регламент о требованиях пожарной безопасности" (Собрание законодательства Российской Федерации, 2008, N 30, ст. 3579; 2017, N 31, ст. 4793) (далее - Федеральный закон N 123-ФЗ), Правил противопожарного режима в Российской Федерации, утвержденных постановлением Правительства Российской Федерации от 25 апреля 2012 г. N 390 (Собрание законодательства Российской Федерации, 2012, N 19, ст. 2415; 2018, N 3, ст. 553), и нормативных документов по пожарной безопасности.
2. Правила разработаны в соответствии с Федеральным законом от 21 июля 1997 г. N 116-ФЗ "О промышленной безопасности опасных производственных объектов" (Собрание законодательства Российской Федерации, 1997, N 30, ст. 3588; 2017, N 11, ст. 1540) (далее - Федеральный закон N 116-ФЗ), Положением о Федеральной службе по экологическому, технологическому и атомному надзору, утвержденным постановлением Правительства Российской Федерации от 30 июля 2004 г. N 401, и обязательны для всех юридических лиц и индивидуальных предпринимателей, осуществляющих деятельность в области промышленной безопасности, связанную со стационарными холодильными установками и системами (далее - системы холодоснабжения).
3. Правила предназначены для применения:
а) при разработке технологических процессов, разработке документации, эксплуатации, реконструкции, техническом перевооружении, капитальном ремонте, консервации и ликвидации объектов систем холодоснабжения, в том числе работающих по замкнутому циклу с использованием аммиака в качестве холодильного агента, с учетом приведенной в Приложении N 1 к настоящим Правилам классификации аммиачных систем холодоснабжения;
б) при монтаже, наладке, обслуживании, диагностировании, эксплуатации, ремонте и утилизации технических устройств, применяемых на объектах систем холодоснабжения;
в) при проведении экспертизы промышленной безопасности:
документации на консервацию, ликвидацию объектов систем холодоснабжения;
документации на техническое перевооружение объектов систем холодоснабжения в случае, если указанная документация не входит в состав проектной документации такого объекта, подлежащей экспертизе в соответствии с законодательством о градостроительной деятельности;
технических устройств, зданий и сооружений, деклараций промышленной безопасности, применяемых на объектах систем холодоснабжения;
обоснования безопасности объектов систем холодоснабжения, а также изменений, вносимых в обоснование безопасности объектов систем холодоснабжения.
4. Требования химической безопасности для объектов систем холодоснабжения применяются в соответствии с Федеральными правилами в области промышленной безопасности "Правила безопасности химически опасных производственных объектов", утвержденными приказом Федеральной службы по экологическому, технологическому и атомному надзору от 21 ноября 2013 г. N 559 (зарегистрирован Министерством юстиции Российской Федерации 31 декабря 2013 г., регистрационный N 30995), с изменениями, внесенными приказом Федеральной службы по экологическому, технологическому и атомному надзору от 18 сентября 2017 г. N 365 (зарегистрирован Министерством юстиции Российской Федерации 9 октября 2017 г., регистрационный N 48468) (далее - Федеральные нормы и правила в области промышленной безопасности "Правила безопасности химически опасных производственных объектов").
5. Требования взрывопожаробезопасности для объектов систем холодоснабжения устанавливаются в соответствии с Федеральными нормами и правилами в области промышленной безопасности "Общие правила взрывобезопасности для взрывопожароопасных химических, нефтехимических и нефтеперерабатывающих производств", утвержденными приказом Федеральной службы по экологическому, технологическому и атомному надзору от 11 марта 2013 г. N 96 (зарегистрирован Министерством юстиции Российской Федерации 16 апреля 2013 г., регистрационный N 28138), с изменениями, внесенными приказом Федеральной службы по экологическому, технологическому и атомному надзору от 26 ноября 2015 г. N 480 (зарегистрирован Министерством юстиции Российской Федерации 18 февраля 2016 г., регистрационный N 41130) (далее - Федеральные нормы и правила в области промышленной безопасности "Общие правила взрывобезопасности для взрывопожароопасных химических, нефтехимических и нефтеперерабатывающих производств").
6. Проектирование, строительство, эксплуатация, реконструкция, техническое перевооружение, консервация, ликвидация объектов систем холодоснабжения, изготовление, монтаж, наладка, обслуживание и ремонт технических устройств, проведение экспертизы промышленной безопасности должны осуществляться в соответствии с требованиями Федерального закона N 116-ФЗ, настоящих Правил, Федеральных норм и правил в области промышленной безопасности "Правила безопасности химически опасных производственных объектов", законодательства Российской Федерации о градостроительной деятельности, законодательства Российской Федерации о техническом регулировании и законодательства Российской Федерации о пожарной безопасности.
7. Порядок ведения технологических процессов и работ, а также условия безопасной эксплуатации технических устройств должны определяться соответствующими технологическими регламентами, разрабатываемыми и утверждаемыми организациями, эксплуатирующими объекты систем холодоснабжения, с учетом требований Федеральных норм и правил в области промышленной безопасности "Требования к технологическим регламентам химико-технологических производств", утвержденных приказом Федеральной службы по экологическому, технологическому и атомному надзору от 31 декабря 2014 г. N 631 (зарегистрирован Министерством юстиции Российской Федерации 28 мая 2015 г., регистрационный N 37426) (далее - Федеральные нормы и правила в области промышленной безопасности "Требования к технологическим регламентам химико-технологических производств"), а также технической документации организации-изготовителя систем холодоснабжения.
8. Организацией, эксплуатирующей объекты систем холодоснабжения для опасных производственных объектов I, II и III классов опасности, должны быть разработаны и утверждены планы мероприятий по локализации и ликвидации последствий аварий (далее - планы мероприятий) в порядке, установленном Положением о разработке планов мероприятий по локализации и ликвидации последствий аварий на опасных производственных объектах, утвержденным постановлением Правительства Российской Федерации от 26 августа 2013 г. N 730 (Собрание законодательства Российской Федерации, 2013, N 35, ст. 4516).
9. Работники, деятельность которых связана с эксплуатацией объектов систем холодоснабжения, должны проходить подготовку и аттестацию в области промышленной безопасности и иметь профессиональную подготовку, а также быть обеспечены спецодеждой и средствами индивидуальной защиты.
10. В целях приведения объектов систем холодоснабжения в соответствие с требованиями настоящих Правил и других нормативных правовых актов в области промышленной безопасности организация, эксплуатирующая объекты систем холодоснабжения, должна провести комплексное обследование фактического состояния объекта системы холодоснабжения. В случае выявления несоответствий или отклонений систем холодоснабжения от требований настоящих Правил эксплуатирующей организацией разрабатывается календарный план по их устранению с компенсационными мерами по дальнейшей эксплуатации систем холодоснабжения до их устранения, в том числе с внесением изменений в проектную и эксплуатационную документацию.
II. ОБЩИЕ ТРЕБОВАНИЯ
11. Организации, имеющие в своем составе объекты системы холодоснабжения, должны иметь на них документацию, в том числе:
а) проектную и исполнительную документацию на системы холодоснабжения;
б) технологический регламент;
в) паспорта на все виды холодильного и технологического оборудования, а также паспорта на аммиачные трубопроводы;
г) планы мероприятий;
д) паспорт на систему холодоснабжения с учетом Приложения N 2 к настоящим Правилам;
е) рабочие инструкции по безопасному ведению работ в соответствии с перечнем, утвержденным техническим руководителем организации;
ж) документацию по проведению ремонтных работ.
12. Необходимость разработки декларации промышленной безопасности объекта системы холодоснабжения определяется в соответствии с требованиями статьи 14 Федерального закона N 116-ФЗ.
13. В компрессорном цехе должен вестись суточный журнал установленного в организации образца. Все журналы, указанные в главах настоящих Правил, должны быть пронумерованы, прошнурованы, скреплены печатью и храниться в организации в порядке и согласно срокам, установленным распорядительными документами организации.
14. Вход посторонних лиц в помещение машинного, аппаратного и конденсаторного отделений систем холодоснабжения не допускается.
Снаружи у входных дверей указанных помещений должны быть установлены звонки для вызова обслуживающего персонала, а также вывешены предупредительная надпись и знаки безопасности в соответствии с проектной документацией.
15. Относительный энергетический потенциал Qв технологических блоков, входящих в систему холодоснабжения, следует рассчитывать в соответствии с общими принципами, изложенными в Федеральных нормах и правилах в области промышленной безопасности "Общие правила взрывобезопасности для взрывопожароопасных химических, нефтехимических и нефтеперерабатывающих производств".
С учетом обращающихся опасных веществ необходимо принимать проектные решения, обеспечивающие Qв < 27 (III категория взрывоопасности).
16. Размещение систем холодоснабжения и их схемные решения определяются в соответствии с Приложением N 1 к настоящим Правилам.
17. Системы холодоснабжения, поставляемые в виде контейнеров полной заводской готовности, а также холодильные машины блочной поставки должны разрабатываться и изготавливаться организациями-изготовителями в соответствии с требованиями технических регламентов.
Подключение технологических потребителей к указанным контейнерам и машинам, а также их размещение на площадке должны осуществляться в соответствии с нормативными техническими документами по устройству и эксплуатации электроустановок, техническими регламентами и настоящими Правилами.
III. ТРЕБОВАНИЯ К АППАРАТУРНОМУ ОФОРМЛЕНИЮ
18. Все подпадающие под действие технического регламента Таможенного союза "О безопасности оборудования, работающего под избыточным давлением" (ТР ТС 032/2013), принятого решением Совета Евразийской экономической комиссии от 2 июля 2013 г. N 41 (далее - ТР ТС 032/2013) (официальный сайт Евразийской экономической комиссии http://www.eurasiancommission.org, 3 июля 2013 г.), составные компоненты систем холодоснабжения относятся к оборудованию для рабочих сред группы 1.
19. В системе холодоснабжения должны быть предусмотрены устройства, предотвращающие попадание капель жидкого аммиака во всасывающую полость компрессоров с учетом требований пункта 234 настоящих Правил.
20. Блок испарителя для охлаждения хладоносителя должен включать в себя устройство для отделения капель жидкости из парожидкостной аммиачной смеси и возврата отделенной жидкости в испаритель.
21. Для отделения жидкой фазы из перемещаемой парожидкостной смеси в системах холодоснабжения с непосредственным охлаждением на каждую температуру кипения должны предусматриваться циркуляционные (или защитные) ресиверы, совмещающие функции отделителя жидкости.
Допускается в обоснованных в проектной документации случаях предусматривать для указанных целей отдельные отделители жидкости, соединенные трубопроводами с циркуляционными (защитными) ресиверами, не совмещающими функции отделителя жидкости.
22. Геометрический объем циркуляционных ресиверов со стояком, совмещающих функции отделителя жидкости, для каждой температуры кипения в насосных схемах с нижней и верхней подачей аммиака в охлаждающие устройства следует рассчитывать по формулам, приведенным в Приложении N 3 к настоящим Правилам.
23. Геометрический объем защитных ресиверов (Vз.р), совмещающих функции отделителя жидкости, должен рассчитываться для каждой температуры кипения по формулам:
аппараты вертикального типа: Vз.р > Vс x 0, 5 м3;
аппараты горизонтального типа: Vз.р > Vс x 0, 6 м3, где Vс - суммарный геометрический объем устройств охлаждения и технологических аппаратов (для одной температуры кипения).
24. Размер паровой зоны вертикального сосуда или аппарата, исполняющего функции отделителя жидкости, должен обеспечивать скорость паров аммиака в сечении паровой зоны не более 0, 5 м/с.
Для горизонтальных циркуляционных (или защитных) ресиверов, совмещающих функции отделителя жидкости, с учетом соответствующей длины зоны сепарации (расстояние между патрубками входа парожидкостной смеси аммиака от потребителей холода и выхода паров к компрессорам) расчетную скорость паров аммиака в сечении паровой зоны допускается принимать до 1, 0 м/с.
25. Для аварийного (ремонтного) освобождения от жидкого аммиака охлаждающих устройств, аппаратов, сосудов и блоков, а также для удаления конденсата при оттаивании охлаждающих устройств горячими парами необходимо предусматривать дренажный ресивер, рассчитанный на прием аммиака из наиболее аммиакоемкого аппарата, сосуда или блока.
Геометрический объем дренажного ресивера следует принимать из условия заполнения его не более чем на 80%.
26. Геометрический объем линейных ресиверов систем холодоснабжения следует принимать не более 30% суммарного геометрического объема охлаждающих устройств помещений, аммиачной части технологических аппаратов и испарителей.
Для холодильных машин с дозированной зарядкой аммиака линейный ресивер не предусматривается.
27. Допускается предусматривать дополнительные линейные ресиверы (ресиверы) для хранения годового запаса аммиака. При этом ресиверы не должны заполняться более 80% их геометрического объема.
28. Для систем холодоснабжения с количеством заправленного аммиака до 1000 кг допускается предусматривать один линейный ресивер, объем которого должен рассчитываться на годовой запас аммиака и должен соответствовать требованиям главы XIV настоящих Правил.
29. Допускается предусматривать ресиверы для хранения аммиака с вместимостью, обоснованной проектной документацией и позволяющей принять аммиак из одной транспортной единицы.
30. В системах холодоснабжения не допускается использовать линейные ресиверы (неунифицированные) в качестве защитных, дренажных или циркуляционных, а кожухотрубные испарители - в качестве конденсаторов и наоборот.
31. При подаче паров аммиака со стороны высокого давления к сосудам (аппаратам) на стороне низкого давления для освобождения их от жидкого аммиака и очистки от масла давление в этих сосудах (аппаратах) не должно превышать давления испытания на плотность в соответствии с Приложением N 4 к настоящим Правилам.
32. При наличии на общей нагнетательной магистрали теплообменного аппарата (для использования теплоты перегретых паров аммиака) должно быть применено устройство обводной линии с запорным клапаном на ней.
33. Воздух и другие неконденсирующиеся газы должны выпускаться из системы в сосуд с водой через устанавливаемый аппарат-воздухоотделитель.
IV. ТРЕБОВАНИЯ К РАЗМЕЩЕНИЮ ОБОРУДОВАНИЯ
34. Оборудование, работающее на аммиаке, может размещаться:
в специальном помещении - машинном или аппаратном отделении;
в помещении потребителей холода;
на открытой площадке.
35. Вертикальные кожухотрубные, испарительные и воздушные конденсаторы, маслоотделители на магистральных нагнетательных трубопроводах должны устанавливаться на открытых площадках. В обоснованных в проектной документации случаях допускается устанавливать конденсаторы над машинными отделениями, а линейные ресиверы - как внутри, так и снаружи помещений.
36. Водяные насосы оборотной системы водоснабжения должны размещаться в специальном помещении - насосной станции, над зданием которой могут устанавливаться конденсаторы.
В обоснованных в проектной документации случаях допускается размещение насосов оборотного водоснабжения в одном помещении с холодильным оборудованием (машинном или аппаратном отделении).
37. В помещении машинного (аппаратного) отделения следует устанавливать компрессорные агрегаты, блочные холодильные машины, циркуляционные (защитные) ресиверы, промежуточные сосуды, аммиачные насосы, маслосборники, горизонтальные кожухотрубные конденсаторы. Допускается размещать блоки испарителей, ресиверы для хранения масла, циркуляционные, защитные и дренажные ресиверы, насосы для перекачки аммиака и хладоносителя вне машинного (аппаратного) отделения на открытых площадках, если это позволяют установленное изготовителем (с учетом климатических особенностей местности) исполнение этого оборудования и нормы охраны труда. Место размещения определяется проектной документацией.
38. Расстояние в свету от аппаратов (сосудов), расположенных снаружи машинного (аппаратного) отделения, следует принимать не менее 1, 0 м от стены здания. Указанное требование не распространяется на машинные отделения контейнерного типа.
39. Не допускается размещать холодильное оборудование:
под эстакадами технологических трубопроводов с горючими, едкими и взрывоопасными продуктами;
над площадками открытых насосных и компрессорных установок, кроме случаев применения герметичных (бессальниковых) насосов или при принятии специальных мер безопасности, исключающих попадание аммиака на ниже установленное оборудование.
40. Для вновь строящихся и реконструируемых систем холодоснабжения:
ширина центрального прохода для обслуживания оборудования должна быть не менее 1, 5 м;
проход шириной не менее 1, 0 м в обоснованных в проектной документации случаях допускается предусматривать между выступающими частями аппаратов, сосудов, компрессорных агрегатов и блочных холодильных машин с электродвигателями мощностью не более 55 кВт;
проход между выступающими частями отдельно стоящих компрессорных агрегатов и блочных холодильных машин с электродвигателями мощностью более 55 кВт должен быть не менее 1, 5 м (при реконструкции в обоснованных в проектной документации случаях допускается 1, 0 м);
при расположении машинного (аппаратного) отделения в помещении с внутренними колоннами расстояние от колонн до выступающих частей оборудования допускается 0, 7 м при наличии других проходов нормальной величины.
41. Для постоянного обслуживания оборудования (арматуры) на уровне выше 1, 8 м от пола должна быть устроена металлическая площадка с ограждением и лестницей. При длине площадки более 6 м лестницы должны быть с обеих сторон площадки.
Допускается с одной стороны использовать вертикальную лестницу.
42. Под циркуляционными ресиверами с насосами, защитными ресиверами должны быть предусмотрены поддоны (приямки) для сбора жидкого аммиака в случае разгерметизации сосуда. При этом при проектировании поддона (приямка) необходимо исходить из условия получения минимальной площади зеркала пролива для уменьшения испарения аммиака.
Расчетный уровень жидкого аммиака в случае аварийного вытекания хладагента из наиболее аммиакоемкого сосуда в поддон (приямок) должен быть ниже бортика поддона (края приямка).
Количество пролитого аммиака из циркуляционного ресивера должно определяться по рабочему заполнению сосуда, а из защитного ресивера - по максимально допустимому заполнению сосуда.
Глубина приямка должна быть не более 2, 5 м. Приямки должны иметь не менее двух лестниц, а при глубине приямка более 2 м - выход непосредственно наружу.
43. Линейные и дренажные ресиверы следует размещать в специальном поддоне.
Расчетный уровень жидкого аммиака в случае аварийного вытекания его в поддон из наиболее емкого сосуда должен быть ниже бортика поддона. Количество пролитого аммиака из линейного или дренажного ресивера должно определяться из расчета его максимально допустимого заполнения на 80%.
Линейные ресиверы должны быть защищены навесом от солнечных лучей и осадков и ограждены забором высотой не менее 1, 5 м с запирающимися на замок входами.
44. Для зарядки системы аммиаком необходимо предусматривать стыковочные узлы для подсоединения аммиачных цистерн или баллонов.
45. В машинном или аппаратном отделении может быть предусмотрена установка воздушного компрессора, предназначенного для пневматического испытания трубопроводов, аппаратов или сосудов. С этой целью следует предусматривать систему стационарных трубопроводов сжатого воздуха для возможности проведения испытания каждого сосуда, аппарата или участка аммиачного трубопровода. Запорные клапаны на трубопроводах от компрессора и сброса давления, контрольный манометр, а также кнопки управления компрессором должны быть вынесены за пределы помещения, в котором испытывается оборудование. На трубопроводе сжатого воздуха должен быть установлен предохранительный клапан.
Использование воздушного компрессора для других целей не допускается.
Пневматические испытания должны осуществляться в соответствии с требованиями Федеральных норм и правил в области промышленной безопасности "Правила промышленной безопасности опасных производственных объектов, на которых используется оборудование, работающее под избыточным давлением", утвержденных приказом Федеральной службы по экологическому, технологическому и атомному надзору от 25 марта 2014 г. N 116 (зарегистрирован Министерством юстиции Российской Федерации 19 мая 2014 г., регистрационный N 32326), с изменениями, внесенным приказом Федеральной службы по экологическому, технологическому и атомному надзору от 12 декабря 2017 г. N 539 (зарегистрирован Министерством юстиции Российской Федерации 15 июня 2018 г., регистрационный N 51352) (далее - Федеральные нормы и правила в области промышленной безопасности "Правила промышленной безопасности опасных производственных объектов, на которых используется оборудование, работающее под избыточным давлением").
V. ТРЕБОВАНИЯ К ТРУБОПРОВОДАМ И АРМАТУРЕ
46. Проектирование, изготовление, монтаж и эксплуатация трубопроводов должны осуществляться с учетом физико-химических свойств и технологических параметров транспортируемых сред, а также технических требований к безопасности трубопроводов и арматуры, в которых обращаются опасные вещества.
47. Трубопроводы должны иметь наименьшую протяженность. Оборудование и трубопроводы должны быть расположены таким образом, чтобы обеспечивалась возможность производства монтажных, ремонтных работ и наружного осмотра.
48. В машинных и аппаратных отделениях следует предусматривать верхнюю разводку (выше компрессоров) трубопроводов парообразного аммиака.
Нижнюю разводку (ниже компрессоров) этих трубопроводов допускается предусматривать в обоснованных в проектной документацией случаях (например, для горизонтальных поршневых компрессоров).
49. Прокладка аммиачных трубопроводов в горизонтальных проходных или непроходных каналах не допускается.
50. При верхней разводке трубопроводов в машинных (аппаратных) отделениях присоединение всасывающих и нагнетательных аммиачных трубопроводов к общим трубопроводам должно проектироваться сверху, во избежание скопления в трубопроводах (неработающих компрессоров) масла и жидкого аммиака. При этом всасывающие магистрали должны иметь уклон не менее 0, 5% в сторону циркуляционных или защитных ресиверов или отделителей жидкости, а нагнетательные - в сторону маслоотделителей или конденсаторов.
51. Прокладка аммиачных трубопроводов по территории организации должна быть только надземной.
52. Не допускается прокладка аммиачных трубопроводов через бытовые, подсобные, административно-хозяйственные, электромашинные, электрораспределительные, трансформаторные помещения, вентиляционные камеры, помещения контрольно-измерительных приборов, лестничные клетки, а также производственные помещения, отнесенные к категории А и Б согласно Федеральному закону N 123-ФЗ.
53. В обоснованных в проектной документации случаях допускается прокладывать аммиачные трубопроводы совместно с другими технологическими трубопроводами.
Совместная прокладка аммиачных трубопроводов, силовых, осветительных и других кабелей должна осуществляться при соблюдении требований нормативных технических документов по устройству электроустановок.
54. Места прохода трубопроводов через стены или перекрытия здания должны быть оборудованы стальными гильзами из труб, внутренний диаметр которых на 10 - 20 мм больше наружного диаметра трубопроводов (с учетом тепловой изоляции). Зазор между трубопроводом и гильзой с обоих концов должен быть заполнен несгораемым материалом, допускающим перемещение трубопровода вдоль его продольной оси.
55. Трубопроводы в холодильных камерах и технологических помещениях следует располагать таким образом, чтобы была исключена возможность повреждения перемещаемыми грузами или транспортными средствами.
56. Прокладка аммиачных трубопроводов по наружным стенам производственной части здания с дверными и оконными проемами не допускается. В обоснованных в проектной документации случаях допускается прокладка указанных трубопроводов по глухим стенам.
57. Прокладка аммиачных трубопроводов над зданием и сооружениями не допускается, за исключением тех частей зданий и сооружений, в которых размещено холодильное и технологическое оборудование с непосредственным охлаждением.
58. Трубопроводы от охлаждающих устройств к распределительным устройствам должны быть проложены внутри охлаждаемых камер, транспортных коридоров и грузовых вестибюлей.
59. Всасывающие и нагнетательные аммиачные трубопроводы на участках возможного скопления в них масла и конденсата должны оснащаться в нижней зоне дренажными клапанами с условным диаметром, выбираемым из размера (диаметра) основного трубопровода и с учетом возможной производительности по сливу.
60. Для систем холодоснабжения, в конструкции компрессоров которых отсутствуют встроенные запорные органы, на всасывающих и нагнетательных трубопроводах в целях обеспечения безопасности ведения технологических процессов должна устанавливаться запорная арматура.
61. Объединять между собой аммиачные трубопроводы блочных холодильных машин или машин с дозированной зарядкой не допускается. Данное требование не распространяется на вспомогательные трубопроводы (аварийного выброса аммиака из предохранительных клапанов, соединителей с дренажным ресивером, соединений для заправки и слива масла). На вспомогательных трубопроводах (кроме аварийного выброса паров аммиака) следует устанавливать по запорному клапану на каждом из концов вспомогательного трубопровода.
62. В системах холодоснабжения на нагнетательных трубопроводах компрессоров и на напорных линиях насосов всех типов в целях обеспечения безопасности ведения технологических процессов должны быть установлены обратные клапаны между компрессором (насосом) и запорной арматурой.
63. На общем жидкостном трубопроводе подачи аммиака из линейного ресивера (линейных ресиверов) к технологическим потребителям должен быть установлен запорный клапан, управляемый автоматически в случае обесточивания оборудования систем холодоснабжения для предотвращения передавливания жидкого аммиака на сторону низкого давления.
64. В схеме трубопроводов должна быть предусмотрена возможность отсасывания паров аммиака из любого аппарата, сосуда.
65. На трубопроводе для выпуска масла из маслосборника должны быть установлены дополнительный манометр и запорный клапан, размещенные снаружи у бака для приема отработанного масла.
66. Запорная и регулирующая арматура, устанавливаемая на аммиачных трубопроводах, должна размещаться в доступных для управления и ремонта местах.
Арматура не должна размещаться над дверными проемами, окнами или над проходами для обслуживания оборудования.
Устанавливать аммиачную арматуру в холодильных камерах не допускается.
67. На всех аммиачных трубопроводах, выходящих за пределы машинного или аппаратного отделения к технологическим потребителям, должна предусматриваться запорная арматура для оперативного прекращения приема (подачи) хладагента.
68. При нижней подаче аммиака к охлаждающим устройствам должен быть обеспечен подъем подводящего трубопровода на высоту, равную максимальному уровню жидкости в охлаждающем устройстве, в целях предотвращения слива аммиака при остановке насоса и неисправности обратного клапана.
69. В случае невозможности прокладки трубопроводов на участках от потребителей холода до циркуляционных или защитных ресиверов без их нормированного уклона необходимо предусматривать дренаж из участка с ненормированным уклоном в циркуляционные или защитные ресиверы (в случае длительной остановки в целях ремонта).
70. Применять гибкие шланги в качестве стационарных трубопроводов для отсоса паров или подачи жидкого аммиака не допускается, за исключением шлангов, входящих в состав скороморозильных аппаратов заводской поставки.
Гибкие шланги должны применяться для аммиака при проведении операций слива аммиака (при заполнении системы) из цистерны, а также для выполнения вспомогательных операций (освобождение трубопроводов, аппаратов, фильтров от остатков аммиака, масла).
Подключение гибких шлангов для выполнения вспомогательных операций допускается только на период проведения указанных работ.
Шланги с трубопроводом должны соединяться с помощью арматуры.
71. Для технологических трубопроводов объектов систем холодоснабжения разработчик документации на объект должен установить расчетный срок службы, который должен быть отражен в документации трубопроводов, внесен в паспорт трубопроводов и учитываться при организации и осуществлении деятельности на опасном производственном объекте.
72. Схема аммиачных трубопроводов должна обеспечивать возможность удаления жидкого аммиака из любого аппарата, сосуда или блока в дренажный ресивер.
73. Тепловая изоляция трубопроводов и арматуры должна осуществляться в соответствии с проектной документацией.
74. На трубопроводах аммиака должны быть нанесены опознавательные цветные кольца.
Требования по нанесению указанных колец приведены в Приложении N 5 к настоящим Правилам.
VI. ТРЕБОВАНИЯ К ЗДАНИЯМ И ПОМЕЩЕНИЯМ
75. Принятые решения по размещению и оснащению помещений, в которых размещено аммиачное оборудование и инженерные системы, должны быть обоснованы в проектной документации.
Помещения, в которых при аварийной разгерметизации системы холодоснабжения может быть достигнут нижний концентрационный предел взрываемости, должны иметь предохраняющие (легкосбрасываемые) конструкции.
76. Помещения камер с непосредственным охлаждением могут быть отнесены к категории "Д" в соответствии с нормами технических регламентов, если при принятых технологических и объемно-планировочных проектных решениях концентрация аммиака в воздухе камеры не превысит нижнего предела взрывоопасности при аварийном раскрытии устройства охлаждения или трубопровода. При этом обвязку приборов охлаждения следует осуществлять так, чтобы они были разделены на отдельные технологические блоки с минимальным количеством аммиака, а на трубопроводах подачи и выхода аммиака в блоке должна предусматриваться быстродействующая автоматическая запорная арматура, срабатывающая при достижении концентрации аммиака в воздухе камеры 60 мг/м3.
77. Помещения для установки распредустройств, размещаемые вблизи от потребителей холода, а также помещения производственных цехов - потребителей холода, в технологическом оборудовании которых обращается аммиак, могут быть отнесены к категории "Д" в соответствии с нормами технических регламентов, если при принятых технологических и объемно-планировочных проектных решениях концентрация аммиака в воздухе камеры не превысит нижнего предела взрывоопасности при аварийном раскрытии технологического оборудования и трубопроводов. При этом на жидкостных аммиачных трубопроводах, подающих аммиак в аппараты или распредустройства, должна быть установлена быстродействующая запорная автоматическая арматура, срабатывающая при достижении концентрации аммиака в воздухе этих помещений 60 мг/м3.
78. Расстояния от холодопотребляющих организаций, на которых установлены и эксплуатируются аммиачные холодильные установки, до других объектов вне территории предприятия должен определяться в соответствии с требованиями технических регламентов.
79. Расстояния между зданиями, в которых размещены машинные, аппаратные отделения, и другими сооружениями на площадке холодопотребляющей организации, должны обосновываться в проектной документации.
80. Размещение машинных или аппаратных отделений в зданиях должно обосновываться в проектной документации.
81. Размещение машинного (аппаратного) отделения в подвальных и цокольных этажах не допускается.
82. Располагать помещения с постоянными рабочими местами, а также бытовые и административные помещения над машинным и аппаратным отделением не допускается.
83. В помещении как машинного, так и аппаратного отделения должно быть не менее двух эвакуационных выходов, максимально удаленных друг от друга. Как минимум один из выходов должен быть непосредственно наружу.
84. При размещении машинного и аппаратного отделений в смежных помещениях, разделенных перегородкой, выходы из этих помещений должны соответствовать требованиям пункта 83 настоящих Правил, а перегородка должна иметь проем с дверями.
85. Устройство выхода из помещения машинного (аппаратного) отделения в помещения вспомогательного (например, бытовые, командный пункт автоматизации) или другого назначения (слесарная мастерская), а также в коридор, объединяющий все вышеназванные помещения, следует выполнять через тамбур-шлюз, с подпором воздуха, с дверями без замков, самозакрывающимися и имеющими герметизирующие прокладки по периметру притвора. Эффективность данных мероприятий должна обосновываться в проектной документации.
86. Все двери машинного и аппаратного отделений должны открываться в сторону меньшей опасности.
87. Полы машинных и аппаратных отделений должны быть ровные, нескользкие и выполнены из несгораемого и неискрящего материала.
Непроходные каналы и люки должны быть закрыты заподлицо с полом съемными плитами или металлическими рифлеными листами с лакокрасочным покрытием.
Заглубление машинного или аппаратного отделения ниже планировочной территории не допускается.
88. Оборудование для регенерации, очистки и хранения масел должно размещаться в специальном помещении, имеющем выход непосредственно наружу.
VII. ТРЕБОВАНИЯ К ИНЖЕНЕРНОМУ ОБОРУДОВАНИЮ ЗДАНИЙ И СООРУЖЕНИЙ
89. Системы отопления и вентиляции машинного и аппаратного отделений по назначению, устройству, техническим характеристикам, исполнению, обслуживанию и условиям эксплуатации должны соответствовать требованиям технических регламентов, нормативных правовых актов Российской Федерации и настоящих Правил.
Параметры воздуха в машинном и аппаратном отделениях должны соответствовать требованиям нормативных правовых актов Российской Федерации к воздуху рабочей зоны.
90. Машинные, аппаратные отделения, а также конденсаторные отделения и распредустройства, располагаемые в помещениях, должны быть оборудованы системами приточно-вытяжной и аварийной вытяжной механической вентиляции. Кратность воздухообмена должна определяться проектной организацией.
91. Удаляемый воздух может выбрасываться в атмосферу без очистки.
92. Трансформаторные подстанции, распределительные устройства, электрощитовые, диспетчерские, операторские, пункты управления, помещения контрольно-измерительных приборов и автоматики (далее - КИПиА) должны соответствовать требованиям нормативных технических документов по устройству и эксплуатации электроустановок, технических регламентов и настоящих Правил.
На объектах, имеющих два источника электроснабжения от независимых источников, светильники рабочего и аварийного освещения следует питать от разных источников электроснабжения.
Для объектов, имеющих один источник электроснабжения, аварийное освещение должно автоматически переключаться на питание от аккумуляторных батарей при отключении источника электроснабжения.
Машинные, аппаратные и конденсаторные отделения, помещения холодильных камер и других потребителей холода, распредустройств должны иметь аварийное освещение.
Электроснабжение систем холодоснабжения должно осуществляться по I или II категории надежности. При этом должна быть обеспечена возможность безаварийного перевода технологического процесса в безопасное состояние во всех режимах функционирования производства, в том числе при одновременном прекращении подачи электроэнергии от двух независимых взаиморезервирующих источников питания.
К электроприемникам I категории относятся системы контроля уровня загазованности, аварийного освещения и сигнализации систем холодоснабжения, включая в том числе "Человек в камере" и электроснабжения аварийной вентиляции.
В обоснованных в проектной документации случаях обеспечение I категории электроснабжения может быть осуществлено посредством применения передвижных электростанций или аккумуляторных батарей.
93. Холодильные камеры должны быть оборудованы ручной системой сигнализации "Человек в камере". Световой и звуковой сигналы "Человек в камере" должны поступать в помещение с постоянным дежурным персоналом (диспетчерская, операторская, проходная). Световое табло "Человек в камере" должно загораться снаружи над дверью камеры, в которой находится человек.
Устройства для подачи из камеры сигнала должны размещаться внутри справа у выхода из камеры на высоте не более 0, 5 м от пола, обозначены светящимися указателями с надписью о недопустимости загромождения их грузами и защищены от повреждений.
94. Охлаждаемые камеры внутри должны быть оборудованы постоянно включенным светильником для освещения выходной двери и устройством (кнопкой) сигнализации "Человек в камере". Светильник следует устанавливать внутри у выходной двери справа над кнопкой тревожной сигнализации.
У входа в охлаждаемые помещения (в коридоре, на эстакаде) должна быть вывешена инструкция по проведению работ в камерах холодильника и защите охлаждающих батарей и аммиачных трубопроводов от повреждений.
95. Для ручного аварийного отключения электропитания всего оборудования холодильной установки (за исключением электродвигателей вентиляции) снаружи на стене у всех входов в машинное и аппаратное отделения должны быть установлены специальные устройства (кнопки).
Одновременно с отключением электропитания соответствующего оборудования указанные устройства (кнопки) должны включать в работу аварийную и общеобменную вытяжную вентиляции, а также светозвуковую сигнализацию.
96. Общеобменная и аварийная вентиляции должны иметь ручные пусковые устройства внутри вентилируемых помещений.
97. Машинные, аппаратные и конденсаторные отделения, относящиеся к помещениям с взрывоопасной зоной В-1б, должны иметь устройства молниезащиты зданий по II категории, а также защиту от вторичных проявлений молнии и защиту от заноса высокого потенциала по наземным и подземным коммуникациям. Внутри зданий шириной более 100 м необходимо выполнять мероприятия по выравниванию потенциала.
98. Помещения машинных и аппаратных отделений, трансформаторных подстанций, распределительных устройств, электрощитовые, диспетчерские пункты, операторские (помещение КИПиА) должны быть оборудованы автоматической пожарной сигнализацией, системой дымоудаления, оповещения и другими противопожарными системами, количество и размещение которых должны обосновываться в проектной документации.
Приточные и вытяжные вентиляторы, работающие на указанные помещения, должны выключаться при поступлении сигнала о пожаре.
VIII. ТРЕБОВАНИЯ К СИСТЕМАМ КОНТРОЛЯ УРОВНЯ ЗАГАЗОВАННОСТИ И ОПОВЕЩЕНИЯ ОБ АВАРИЙНЫХ УТЕЧКАХ АММИАКА
99. Система контроля уровня загазованности и оповещения об аварийных утечках аммиака (далее по тексту - система контроля уровня загазованности) должна обеспечивать контроль за уровнем загазованности из-за возможных утечек аммиака в помещениях и на территории объекта.
100. При использовании технологических блоков I и II категорий взрывоопасности:
а) система контроля уровня загазованности должна обеспечивать в автоматическом режиме сбор и обработку информации о концентрации аммиака в воздухе у мест установки датчиков сигнализаторов концентрации паров аммиака в объеме, достаточном для формирования соответствующих управляющих воздействий;
б) система контроля уровня загазованности при возникновении аварии, связанной с утечкой аммиака, в автоматическом режиме должна включать технические устройства, задействованные в системе локализации и ликвидации последствий аварии, средства оповещения об аварии и отключать оборудование холодильной установки, функционирование которого может привести к росту масштабов и последствий аварии;
в) структура системы контроля уровня загазованности должна быть двухконтурной и двухуровневой.
Наружный контур должен обеспечивать контроль за уровнем загазованности на территории аммиачной холодильной установки с выдачей данных для прогнозирования распространения зоны химического заражения за территорию объекта и контроль за аварийными утечками аммиака из оборудования холодильной установки, находящегося вне помещений.
Внутренний контур должен обеспечивать контроль за уровнем загазованности и аварийными утечками аммиака в помещениях.
Наружный и внутренний контуры системы контроля уровня загазованности должны иметь два уровня контроля концентрации аммиака в воздухе:
I уровень. Предельно допустимая концентрация (далее - ПДКр.з) - концентрация аммиака в воздухе рабочей зоны помещений и вне помещений, у мест установки датчиков достигает величины, равной 20 мг/м3 (ПДКр.з);
II уровень. Аварийная утечка аммиака - концентрация аммиака у мест установки датчиков достигает величины, равной 25 ПДКр.з или 500 мг/м3;
г) система должна быть оснащена автоматическими средствами, позволяющими контролировать уровень загазованности на промышленной площадке (I уровень наружного контура контроля) и прогнозировать распространение зоны химического заражения за территорию объекта. Такое оснащение должно быть обосновано оценкой возможных последствий аварии, подтвержденной соответствующими расчетами.
На площадке должно быть установлено устройство, замеряющее направление и скорость ветра, данные которого используются при расчетах возможных масштабов загазованности.
101. Для аммиачных холодильных установок, имеющих в своем составе технологические блоки III категории взрывоопасности:
а) допускается установка сигнализаторов концентрации паров аммиака, срабатывающих при заданных значениях концентраций. Информация, получаемая от установленных сигнализаторов, должна быть достаточной для формирования указанных в подпунктах "б" и "в" настоящего пункта управляющих воздействий системы контроля уровня загазованности при превышении заданной величины концентрации аммиака;
б) система контроля уровня загазованности при превышении заданной величины концентрации аммиака должна обеспечивать автоматическое выполнение следующих действий:
включение в помещении управления (помещение обслуживающего персонала) предупредительной световой и звуковой сигнализации и общеобменной вентиляции в машинном, аппаратном и конденсаторном отделениях при превышении концентрации аммиака в воздухе рабочей зоны указанных помещений величины, равной ПДКр.з. (20 мг/м3); включение в помещении управления световой и звуковой сигнализации "Превышение уровня ПДК" и аварийной вентиляции при превышении концентрации аммиака в воздухе рабочей зоны помещения (машинного, аппаратного и конденсаторного отделений) величины, равной 3 ПДКр.з. (60 мг/м3); возврат всех систем в исходное состояние при снижении текущего значения концентрации ниже уровня 3 ПДКр.з. (60 мг/м3) и ПДКр.з. (20 мг/м3) без отключения общеобменной вентиляции;
включение в помещении управления предупредительной световой и звуковой сигнализации при превышении концентрации аммиака в воздухе рабочей зоны у мест установки датчиков, расположенных вблизи технологических блоков на открытой площадке, величины, равной ПДКр.з. (20 мг/м3); включение в помещении управления световой и звуковой сигнализации "Превышение уровня ПДК" и системы оповещения на объекте при превышении концентрации аммиака в воздухе рабочей зоны у мест установки датчиков величины, равной 3 ПДКр.з. (60 мг/м3); возврат всех систем в исходное состояние при снижении текущего значения концентрации ниже уровня ПДКр.з. (20 мг/м3);
включение в помещении управления предупредительной световой и звуковой сигнализации "Авария" при превышении концентрации аммиака в воздухе рабочей зоны помещений распредустройств величины, равной ПДКр.з. (20 мг/м3), с одновременным включением аварийной вентиляции указанных помещений; автоматическое отключение подачи жидкого аммиака в помещения распредустройств при превышении концентрации аммиака в воздухе рабочей зоны величины, равной 3 ПДКр.з. (60 мг/м3);
включение в помещении управления предупредительной световой и звуковой сигнализации "Авария" при превышении концентрации аммиака в воздухе рабочих зон холодильных камер и помещений других потребителей холода величины ПДКр.з. (20 мг/м3); отключение подачи аммиака в контролируемые помещения при превышении в них концентрации аммиака величины, равной 3 ПДКр.з. (60 мг/м3). При этом в помещениях производственных цехов с технологическим оборудованием, содержащим аммиак, должна включаться вытяжная вентиляция;
включение в помещении управления предупредительной световой и звуковой сигнализации "Авария", технических средств системы локализации аварии, системы оповещения на объекте, отключение аммиачного оборудования при превышении концентрации аммиака у мест установки датчиков в помещениях машинного, аппаратного и конденсаторных отделений величины, равной 500 мг/м3 (25 ПДКр.з.);
включение в помещении управления световой и звуковой сигнализации "Авария", технических средств системы локализации аварии, системы оповещения на объекте, отключение аммиачного оборудования при превышении концентрации аммиака у мест установки датчиков вблизи технологических блоков и оборудования, расположенного на открытой площадке, величины, равной 500 мг/м3 (25 ПДКр.з.);
в) система контроля уровня загазованности должна обеспечивать оперативное предупреждение в помещении управления о конкретном месте происшедшей аварии и включение необходимых технических средств локализации последствий аварии.
102. Система контроля уровня загазованности по обеспечению надежности электроснабжения относится к электроприемникам I категории надежности. При отсутствии на объекте второго независимого источника электроснабжения необходимо использовать станции автоматического резервного питания, снабженные аккумуляторными батареями.
103. Технические характеристики, количество и месторасположение датчиков сигнализаторов концентрации паров аммиака должны определяться проектной документацией.
Состав и структура системы контроля уровня загазованности должны быть совместимы с техническими средствами локализации и ликвидации последствий аварии. Проектирование системы контроля уровня загазованности должно сопровождаться рассмотрением сценариев возможных аварий, оценкой их последствий, подтвержденными соответствующими расчетами.
104. Использование приборов, не имеющих документального подтверждения об утверждении типа средств и измерений и документов о прохождении поверки не допускается. Исполнение датчиков должно соответствовать условиям эксплуатации. В конструкции датчиков должна быть предусмотрена защита от несанкционированного доступа, от воздействия атмосферных осадков и брызг при влажной уборке.
105. Допускается неавтоматическое (по месту или дистанционное) включение технических устройств, задействованных в системе локализации и ликвидации последствий аварии, обоснованное в проектной документации оценкой влияния этого технического решения на возможные последствия аварии.
IX. ТРЕБОВАНИЯ К ПРЕДОХРАНИТЕЛЬНЫМ УСТРОЙСТВАМ
106. Кожухотрубные аппараты, технологическое оборудование с непосредственным охлаждением (скороморозильные аппараты, фризеры и льдогенераторы), а также сосуды, работающие под давлением, с внутренним диаметром более 150 мм должны оснащаться предохранительными устройствами от превышения давления. Аппараты воздушного охлаждения, изготовленные из бесшовных труб внутренним диаметром не более 70 мм, с коллекторами, изготовленными из бесшовных труб внутренним диаметром не более 150 мм, в обоснованных в проектной документации случаях допускается не оснащать предохранительными устройствами.
В соответствии с проектной документацией и документацией организации-изготовителя в качестве предохранительных устройств применяются пружинные предохранительные клапаны и мембранные предохранительные устройства.
107. В системах холодоснабжения с конечными и промежуточными ступенями нагнетания компрессоров с теоретической объемной производительностью 0, 025 м3/с и более нагнетательная полость поршневых, шестеренчатых и винтовых насосов жидкого аммиака в целях обеспечения безопасности ведения технологических процессов должна защищаться установкой пружинного предохранительного клапана на соответствующей полости до обратного клапана и запорной арматуры.
Сброс жидкого аммиака из ступеней нагнетательной полости насоса и газообразного аммиака из нагнетания компрессора должен производиться на сторону всасывания каждого из указанных видов оборудования, а на винтовых компрессорных агрегатах - в обоснованных в проектной документации случаях допускается и в атмосферу.
108. При подборе предохранительных устройств пропускная способность самодействующих предохранительных устройств, устанавливаемых на полостях конечных и промежуточных ступеней сжатия паров аммиака, должна быть не менее 0, 9 массовой производительности защищаемого компрессора или его ступени сжатия.
109. Пропускная способность предохранительных устройств для защиты от разрушений сосудов, аппаратов и технологического оборудования, содержащих жидкий аммиак (далее в настоящей главе - сосуды, аппараты), должна обеспечивать отвод испарившегося аммиака в условиях пожара.
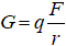
Требуемая пропускная способность определяется по формуле:
, кг/с,
где q - плотность теплового потока через наружные стенки сосуда или аппарата, принимаемая во всех случаях 10 кВт/м2;
F - площадь наружной поверхности аппарата или сосуда, м2;
r - удельная теплота парообразования аммиака при давлении насыщения в 1, 15 раза больше расчетного давления защищаемого сосуда (аппарата), кДж/кг.
110. Сосуды и аппараты холодильных систем должны оснащаться двумя предохранительными клапанами с переключающим устройством, исключающим одновременное перекрытие обоих клапанов. Каждый из клапанов должен быть рассчитан на полную пропускную способность.
Допускается оснащать сосуды одним предохранительным клапаном, если геометрический объем сосуда не превышает 0, 3 м3.
111. Размер проходных сечений пружинных предохранительных устройств должен определяться в проектной документации.
112. Предохранительные устройства сосудов (аппаратов) должны быть отрегулированы на начало открытия при избыточном давлении не выше расчетного, указанного в эксплуатационной документации организации-изготовителя сосудов (аппаратов).
При наличии на стороне всасывания (нагнетания) холодильной установки сосудов (аппаратов) с различными разрешенными давлениями их предохранительные клапаны должны быть отрегулированы на начало открытия при давлении, предусмотренном в соответствии с проектной документацией, но не выше минимального из расчетных давлений, установленных для аппаратов и сосудов данной стороны.
Предохранительный клапан компрессора, соединяющий при своем открывании полости нагнетания и всасывания (или ступени сжатия), должен быть отрегулирован на открытие при разности давлений в соответствии с инструкцией организации-изготовителя компрессора.
113. Системы непосредственного охлаждения с автоматическим закрыванием жидкостных и всасывающих клапанов у охлаждающих устройств должны оснащаться предохранительными устройствами. Данные предохранительные устройства должны устанавливаться на всасывающих трубопроводах до запорного клапана с выпуском паров во всасывающие магистрали за запорные клапаны (по ходу аммиака) или в трубопровод аварийного выброса аммиака. Эти устройства должны быть отрегулированы на начало открытия при избыточном давлении, разрешенном для используемого оборудования стороны низкого давления холодильной установки.
Пропускная способность предохранительного устройства для воздухоохладителей, у которых оттаивание от снежно-ледяных отложений проводится с помощью электронагревателей, определяется по формуле:
, кг/с,
где Nэл - мощность электрических нагревателей, размещенных на змеевиках воздухоохладителя, кВт.
114. В системах с оттаиванием охлаждающих устройств горячими парами аммиака на линии отбора указанных паров после запорного клапана (по ходу паров от места отбора к охлаждающим устройствам) необходимо устанавливать предохранительный клапан, который должен быть отрегулирован на начало открытия при избыточном давлении, соответствующем наименьшему из расчетных давлений охлаждающих устройств.
115. Выпуск паров аммиака в атмосферу через предохранительные устройства должен быть выполнен с помощью трубы, выводимой на 3 м выше конька крыши наиболее высокого здания в радиусе 50 м, но не менее 6 м от уровня территории (земли) и не менее 3 м от площадок обслуживания, находящихся в радиусе 15 м.
Устье трубы для выпуска аммиака направлять вниз не допускается, труба должна быть защищена от скопления атмосферных осадков.
Внутренний диаметр трубы, отводящей пары аммиака, по всей длине должен быть не меньше внутреннего диаметра выходного патрубка предохранительного устройства.
Присоединение предохранительных устройств к общей отводящей трубе, поперечное сечение которой должно быть не менее 100% суммы сечений для 1 - 4-х отводящих труб и не менее 50% суммы сечений отдельных отводящих труб, допускается в случае, если число отводящих труб более четырех.
116. Предохранительные устройства компрессорных агрегатов должны проверяться на давление срабатывания (открывание и закрывание) не реже одного раза в год, а предохранительные устройства на сосудах и аппаратах - не реже одного раза в шесть месяцев.
При снятии одного из двух предохранительных клапанов арматура должна быть переключена на задействованный клапан и опломбирована в указанном положении.
После проверки и установки предохранительные клапаны должны быть опломбированы с составлением акта проверки.
Снятие предохранительных клапанов на проверку, их установка и пломбирование должны производиться только по указанию лица, ответственного за исправное состояние и безопасную работу сосудов (аппаратов), и в его присутствии.
117. Предохранительный клапан компрессора, соединяющий полости нагнетания и всасывания, должен изготавливаться и поставляться заводом-изготовителем компрессора. Замена предохранительного клапана должна осуществляться в соответствии с требованиями проектной документации и документации завода-изготовителя компрессора.
X. СИСТЕМЫ КОНТРОЛЯ, УПРАВЛЕНИЯ, СИГНАЛИЗАЦИИ И ПРОТИВОАВАРИЙНОЙ АВТОМАТИЧЕСКОЙ ЗАЩИТЫ
118. Системы контроля, автоматического и дистанционного управления, системы противоаварийной автоматической защиты (далее - ПАЗ), в том числе поставляемые в комплекте с оборудованием, должны отвечать требованиям настоящих Правил, действующей нормативной технической документации, проектной документации, технологическим регламентам и обеспечивать установленную в соответствии с технологическими регламентами точность поддержания технологических параметров, надежность и безопасность эксплуатации систем холодоснабжения.
119. Степень защиты электроприборов и средств автоматического и дистанционного управления, располагаемых в помещениях с аммиачным оборудованием, должна быть не ниже IP44.
120. Аммиачные компрессоры должны быть оснащены средствами ПАЗ, срабатывающими по следующим параметрам:
по предельно допустимому значению давления нагнетания;
по предельно допустимой температуре нагнетания;
по предельно допустимой низшей разности давлений в системе смазки;
по верхнему предельно допустимому уровню жидкого аммиака в аппарате или сосуде, из которого отсасываются пары аммиака;
по верхнему предельно допустимому уровню жидкого аммиака в промежуточном сосуде (между ступенями компрессора).
Значения предельно допустимых параметров должны определяться в проектной документации по данным научно-исследовательских организаций, характеристикам средств контроля, измерения и управления, документации организаций-изготовителей оборудования.
121. Для защиты от превышения давления должны предусматриваться штатные реле давления, воздействующие на остановку приводных электродвигателей систем холодоснабжения или обеспечивающие операции, ограничивающие рост давления, но не исключающие необходимость монтажа на оборудовании предохранительных устройств (пружинные предохранительные клапаны, разрушающиеся в сторону выброса мембраны).
122. Системы холодоснабжения с двумя и более компрессорами, обслуживающими несколько испарительных систем, необходимо оборудовать устройствами, обеспечивающими остановку всех компрессоров при срабатывании защитных реле уровня жидкости в сосуде (аппарате) любой системы.
123. Системы охлаждения с хладоносителем должны быть оборудованы приборами, отключающими компрессоры при прекращении движения указанного хладоносителя через кожухотрубные испарители или при понижении в них температуры кипения аммиака до пределов, ведущих к замерзанию хладоносителя.
124. В компрессорах или агрегатах систем холодоснабжения, имеющих водяное охлаждение, должны быть установлены приборы, отключающие данные компрессоры или агрегаты при отсутствии протока воды или снижении давления воды ниже установленного предела, в целях обеспечения безопасности ведения технологических процессов. На трубопроводах подачи воды должны быть установлены прекращающие подачу воды при остановке компрессора электромагнитные клапаны.
125. Пуск и работа компрессоров с неисправными или выключенными приборами защитной автоматики не допускаются.
126. При срабатывании приборов ПАЗ должна автоматически включаться светозвуковая сигнализация, выключение которой должно быть ручным.
127. Каждый из перечисленных ниже сосудов (аппаратов) системы холодоснабжения должен иметь защиту по уровню жидкого аммиака:
а) блок испарителя (кожухотрубного) - два сдублированных реле уровня, отключающих компрессоры при достижении верхнего предельно допустимого уровня аммиака, с предупредительной сигнализацией;
б) циркуляционный ресивер (совмещающий функции отделителя жидкости), промежуточный сосуд - два сдублированных реле уровня, отключающих компрессоры при достижении верхнего предельно допустимого уровня аммиака, с предварительной сигнализацией, а также реле для предупредительной сигнализации об опасном повышении уровня аммиака;
в) отделитель жидкости - два сдублированных реле уровня, отключающих компрессоры в случае превышения в этом сосуде предельно допустимого уровня аммиака, с предаварийной сигнализацией. В установках с дозированной зарядкой аммиака на циркуляционном ресивере (в соответствии с пунктом "б" настоящего пункта) или отделителе жидкости допускается не устанавливать реле уровня для предупредительной сигнализации;
г) защитный ресивер (совмещающий функции отделителя жидкости) - два сдублированных реле уровня, отключающих компрессоры при достижении предельно допустимого уровня аммиака, с предварительной сигнализацией, а также реле для сигнализации об опасном повышении уровня аммиака и реле для предупредительной сигнализации о минимальном уровне аммиака;
д) ресиверы линейный и дренажный - реле для предупредительной сигнализации о достижении максимального уровня аммиака, а также реле для предупредительной сигнализации о минимальном уровне аммиака.
128. При достижении перечисленных в пункте 127 настоящих Правил уровней жидкого аммиака в сосудах и аппаратах должна автоматически включаться световая сигнализация, которая должна быть обеспечена лампами следующих цветов:
красный - сигнал о предельно допустимом уровне (предаварийная сигнализация);
желтый - сигнал об опасном повышении верхнего уровня (предупредительная сигнализация).
129. Световые сигналы об уровнях жидкого аммиака должны одновременно сопровождаться звуковым сигналом, выключение которого должно быть ручным.
130. Питание аппаратов (сосудов) жидким аммиаком следует оценивать с помощью автоматических регуляторов уровня на стороне низкого давления, а в системах с дозированной зарядкой - на стороне высокого давления.
131. Каждый из аппаратов (сосудов) установок (машин), в которые подается жидкий аммиак со стороны высокого давления, должен оснащаться автоматическими запорными клапанами, прекращающими поступление в них жидкости при остановке компрессоров, работающих на отсасывание паров из аппаратов (сосудов).
Установка одного автоматического запорного устройства на общем трубопроводе жидкого аммиака, питающем несколько испарительных систем, допускается, если отсос пара аммиака из этих систем осуществляется одним компрессором.
132. Одновременное использование одного и того же прибора для регулирования и защиты не допускается.
133. Применение многоточечных приборов с обегающими устройствами в качестве средств противоаварийной защиты не допускается.
134. Электрические приборы автоматической защиты холодильных систем должны иметь замкнутую выходную цепь или замкнутые контакты при нормальном состоянии контролируемых параметров, которые должны размыкаться при аварии или выходе прибора из строя.
135. Электрические схемы должны исключать возможность автоматического пуска компрессора после срабатывания приборов защиты. Его пуск должен быть возможен только после ручной деблокировки защиты.
136. Промежуточные колонки, применяемые для установки реле уровня аппаратов (сосудов), должны присоединяться выше максимально возможного уровня скопления в указанных аппаратах (сосудах) масла способом, предотвращающим образование масляных пробок в колонках, и иметь подвод (трубопровод) жидкого аммиака для проверки исправности реле уровня.
137. На нагнетательном и всасывающем трубопроводах каждого компрессора должны быть установлены гильзы для термометров (на расстоянии 200 - 300 мм от запорных клапанов) с оправками для защиты термометров от механических повреждений.
Использование ртутных термометров и ртутных устройств для измерения температуры в контрольных точках аммиачной холодильной системы не допускается.
138. Для аммиачных систем холодоснабжения должны применяться предназначенные для эксплуатации в среде аммиака манометры и мановакуумметры.
Класс точности, размеры, установка контрольно-измерительных приборов и автоматики и сроки их проверки должны соответствовать требованиям Федеральных норм и правил в области промышленной безопасности "Правила промышленной безопасности опасных производственных объектов, на которых используется оборудование, работающее под избыточным давлением".
139. Использование других средств измерения и контроля параметров допускается в соответствии с проектной документацией и с учетом документации организаций - изготовителей приборной техники.
140. В целях обеспечения безопасности ведения технологических процессов в системах холодоснабжения на холодильном оборудовании и машинах манометры (мановакуумметры) должны быть установлены:
на компрессоре для наблюдения за рабочими давлениями всасывания, нагнетания, в системе смазки (при принудительной подаче масла насосом) и в картере (поршневых компрессоров, не имеющих уравнивания между всасыванием и картером);
на всех аппаратах, сосудах, аммиачных насосах, технологическом оборудовании с непосредственным охлаждением, а также на жидкостных и оттаивательных коллекторах распределительных аммиачных устройств, соединенных трубопроводами с оборудованием холодильных камер.
В агрегатированных холодильных машинах и установках контейнерного типа необходимость установки манометров (мановакуумметров) на трубопроводах и коллекторах должна определяться организацией - изготовителем оборудования.
В целях обеспечения безопасности ведения технологических процессов в централизованной системе должны быть установлены:
мановакуумметры - на каждой всасывающей магистрали испарительной системы холодильной установки до отделителя жидкости (по ходу паров аммиака);
отдельный манометр - на нагнетательном трубопроводе каждого компрессора, отключаемого запорной арматурой от общей нагнетательной магистрали, за обратным клапаном (по ходу паров аммиака).
141. В целях визуального контроля уровня жидкого аммиака в сосудах (аппаратах) на них должны быть установлены смотровые стекла в соответствии с инструкцией организации-изготовителя сосуда (аппарата). Указатели уровня аммиака должны изготовляться с плоскими рифлеными и термически закаленными стеклами на давление до 3, 5 МПа и оборудоваться приспособлениями для их автоматического отключения от сосуда или аппарата при повреждении стекла. Площадь смотровой поверхности стекол с одной стороны не должна превышать 100 см2.
Для предохранения обслуживающего персонала от травмирования при разрыве смотровых стекол на вышеуказанных сосудах должно быть предусмотрено защитное устройство.
142. Исправность автоматических приборов защиты аммиачных компрессоров, а также сигнализаторов концентрации паров аммиака в воздухе помещений и наружных площадок должна проверяться не реже одного раза в месяц, а исправность защитных реле уровня на аппаратах (сосудах) - один раз в 10 дней.
XI. ТРЕБОВАНИЯ К ОБОРУДОВАНИЮ
143. Изготавливаемое для систем холодоснабжения оборудование должно отвечать требованиям технических регламентов, Федеральных норм и правил в области промышленной безопасности "Правила безопасности химических опасных производственных объектов".
144. Расчеты на прочность холодильного оборудования должны проводиться по величинам расчетных давлений Pр, принятых для соответствующей стороны систем холодоснабжения (низкого или высокого давления).
145. Расчетное давление определяется как максимальное избыточное давление, которое может возникнуть в работающей или остановленной холодильной установке.
146. Расчетное давление для оборудования систем холодоснабжения должно соответствовать нормативно-техническим документам, но быть не ниже приведенных в главе XIII настоящих Правил по давлению испытаний на плотность.
147. Для оборудования стороны высокого давления систем холодоснабжения, в которое поступают пары аммиака непосредственно от компрессоров, расчетная температура стенок должна учитывать допустимые температуры нагнетания хладагента.
148. Значения пробных давлений для контроля прочности и настройки предохранительных устройств и приборов ограничения рабочих давлений должны устанавливаться в зависимости от величин расчетных давлений оборудования согласно Приложению N 6 к настоящим Правилам.
149. Холодильные агрегаты и машины, оснащаемые компрессорами объемного сжатия, должны иметь ручные запорные клапаны, размещаемые:
на нагнетании и всасывании компрессоров;
на выходе жидкого аммиака из ресиверов или конденсаторов, конструкции которых имеют ресиверные аммиакосборники.
150. На всасывающих линиях компрессоров и насосов должны предусматриваться съемные (временные) фильтрующие элементы, исключающие опасность попадания посторонних предметов, грязи и окалины в указанное оборудование.
151. Движущиеся части оборудования должны иметь защитные ограждения.
152. На сосудах и аппаратах, геометрический объем которых по полости аммиака более 0, 3 м3, должны устанавливаться указатели уровня жидкого хладагента (для визуального контроля) и в аппаратах с коллекторами из труб Ду 150 мм и более.
153. Герметичность фланцевых соединений систем холодоснабжения в целях обеспечения безопасности ведения технологических процессов должна обеспечиваться применением уплотнительных поверхностей фланцевых соединений на сосудах и аппаратах, арматуре, приборах и трубопроводах.
154. Неразъемные соединения должны выполняться сваркой.
155. Конструкция арматуры должна исключать полное вывертывание шпинделя. Арматура с сальниковым уплотнением шпинделя должна иметь приспособление, разделяющее в полностью открытом состоянии сальниковую камеру от канала протока аммиака.
156. Сосуды и аппараты систем холодоснабжения должны разрабатываться и изготавливаться в соответствии с требованиями технических регламентов.
Машины и оборудование, сосуды и другие составляющие систем холодоснабжения, на которые распространяется действие технических регламентов, должны соответствовать требованиям данных технических регламентов.
157. В целях обеспечения безопасности ведения технологических процессов компрессорные и компрессорно-аппаратные агрегаты, а также аппараты, сосуды и комплектно поставляемые холодильные машины (установки, станции), входящие в состав систем холодоснабжения, должны быть оснащены приборами и устройствами в соответствии с требованиями глав IX и X настоящих Правил.
158. В целях обеспечения безопасности технологических процессов за уровнем вибрации и шума динамичного оборудования систем холодоснабжения должен быть установлен периодический или постоянный приборный контроль.
159. Электродвигатели, электрические приборы автоматики и щиты управления, входящие в комплекты холодильного оборудования, должны соответствовать требованиям нормативно-технических документов по устройству и эксплуатации электроустановок.
160. Документация, поставляемая потребителю с сосудами и аппаратами, должна соответствовать требованиям технических регламентов.
161. Документация, поставляемая потребителю с холодильными компрессорами, насосами, компрессорно-аппаратными агрегатами, комплектными установками (станциями) и машинами, должна содержать:
а) паспорт (формуляр) с техническими характеристиками оборудования и примененных материалов для его изготовления, в том числе с данными по виброшумовым характеристикам и сроку службы оборудования, а также объему и результатам приемо-сдаточных испытаний;
б) инструкцию по эксплуатации, включающую:
техническое описание оборудования;
инструкцию по монтажу с требованиями к фундаменту, узлам крепления к нему, требованиями к помещениям (где размещается оборудование), присоединениям внешних трубопроводов, электропитания, заземления;
правила пуска в работу и безопасного обслуживания;
указания по ремонту и предельные нормы износа основных быстроизнашивающихся деталей.
162. К инструкции по эксплуатации должны прилагаться:
чертежи оборудования, основных узлов и быстроизнашивающихся деталей (общего вида) с указанием материалов их изготовления;
паспорта предохранительных клапанов и приборов.
XII. ТРЕБОВАНИЯ К МОНТАЖНЫМ РАБОТАМ
163. Монтаж холодильных установок или их узлов должен производиться при наличии проектной документации.
В целях обеспечения безопасности ведения технологических процессов выполнение монтажных работ с отступлениями от проектной документации не допускается.
164. В целях обеспечения безопасности технологических процессов перед монтажом систем холодоснабжения должны быть проверены соответствие оборудования (изделий) и материалов рабочей документации, по которой должен осуществляться монтаж, а также наличие инструкций по монтажу.
165. При приемке оборудования и узлов систем холодоснабжения в монтаж необходимо произвести их осмотр, проверку комплектности и технического состояния. Изделия с дефектами к монтажу не допускаются.
166. Оборудование и другие изделия с истекшим гарантийным сроком могут быть допущены к монтажу только после проведения на них комплекса работ, предусмотренных документацией организации-изготовителя. Результаты проведенных работ должны быть занесены в паспорта (формуляры) оборудования.
167. Оборудование, изделия и материалы до монтажа должны храниться в соответствии с требованиями документации организаций-изготовителей. При хранении должен быть обеспечен доступ для их осмотра, созданы условия, предотвращающие повреждения, попадание влаги и пыли во внутренние полости.
168. При производстве сварочных работ и резке металлов должны быть соблюдены требования Федерального закона N 123-ФЗ, Федеральных норм и правил в области промышленной безопасности "Правила безопасного ведения газоопасных, огневых и ремонтных работ", утвержденных приказом Федеральной службы по экологическому, технологическому и атомному надзору от 20 ноября 2017 г. N 485 (зарегистрирован Министерством юстиции Российской Федерации 11 декабря 2017 г., регистрационный N 49189) (далее - Федеральные нормы и правила в области промышленной безопасности "Правила безопасного ведения газоопасных, огневых и ремонтных работ") и Федеральных норм и правил в области промышленной безопасности "Требования к производству сварочных работ на опасных производственных объектах", утвержденных приказом Федеральной службы по экологическому, технологическому и атомному надзору от 14 марта 2014 г. N 102 (зарегистрирован Министерством юстиции Российской Федерации 16 мая 2014 г., регистрационный N 32308), с изменениями, внесенными приказом Федеральной службы по экологическому, технологическому и атомному надзору от 15 марта 2017 г. N 83 (зарегистрирован Министерством юстиции Российской Федерации 11 апреля 2017 г., регистрационный N 46329).
169. При перемещениях оборудования, трубопроводов и других узлов систем холодоснабжения во время монтажных работ необходимо руководствоваться документацией организации-изготовителя оборудования, требованиями технических регламентов, а также положениями законодательства Российской Федерации о градостроительной деятельности.
170. При необходимости проведения сварочных работ на сосудах, работающих под давлением, необходимо руководствоваться технической документацией на изготовление сосудов, проектными решениями и Федеральными нормами и правилами в области промышленной безопасности "Правила промышленной безопасности опасных производственных объектов, на которых используется оборудование, работающее под избыточным давлением".
171. Установка ручной сальниковой арматуры маховичками вниз не допускается.
Для электромагнитных клапанов и клапанов с приводом направление движения аммиака должно соответствовать направлению, указанному в инструкции организации-изготовителя.
172. Трубопроводы должны монтироваться на специальных опорах или подвесках, которые должны быть рассчитаны на собственную массу трубопровода, массу хладагента и тепловой изоляции, принятых с коэффициентом запаса 1, 2.
173. Сварные стыки трубопроводов следует располагать на расстоянии не менее 100 мм от опор и подвесок для труб диаметром менее 50 мм и не менее 200 мм для труб диаметром 50 мм и более.
174. Тепловая изоляция трубопроводов должна наноситься, монтироваться или устанавливаться после испытания трубопроводов на прочность и плотность и устранения всех обнаруженных при этом дефектов.
175. Сварочные работы на трубопроводах систем холодоснабжения должны производиться при отключении и освобождении их от аммиака (с продувкой воздухом или инертным газом) и при наличии письменного разрешения на проведение огневых и (или) газоопасных работ руководителя системы холодоснабжения.
176. Подача сжатого воздуха или инертного газа (азота) для испытания (продувки) аппаратов, трубопроводов должна осуществляться по трубопроводу с возможностью подключения его к аппарату или участку трубопровода через клапан.
Испытываемый аппарат, сосуд или участок трубопроводов должны отсоединяться от системы с использованием заглушек.
177. При монтаже трубопроводов необходимо применять стандартные детали трубопроводов (детали трубопроводов стальные бесшовные приварные на Ру 10 МПа (<= 100 кгс/см2).
Использование сварных лепестковых переходов не допускается.
178. Приспособления, предназначенные для обеспечения удобства монтажных работ и безопасности работающих (лестницы, стремянки, леса, подмостки), должны соответствовать требованиям нормативно-технических документов.
179. В блочных холодильных машинах и установках, в том числе контейнерного типа, поставляемых в комплекте на место монтажа организацией-изготовителем, конструктивное оформление трубопроводов должно определяться документацией этой организации.
180. Перечень и содержание документации, оформляемой при монтаже оборудования и трубопроводов, должны соответствовать требованиям законодательства Российской Федерации о градостроительной деятельности.
181. При выполнении монтажных работ в помещении и на участках действующей холодильной системы, а также в условиях недействующих узлов, находящихся под аммиаком или не отсоединенных от остальной части системы, необходимо оформлять наряд-допуск на указанные работы.
XIII. ИСПЫТАНИЕ СОСУДОВ (АППАРАТОВ), ТРУБОПРОВОДОВ
182. Сосуды, аппараты и трубопроводы холодильных установок должны подвергаться техническому освидетельствованию после монтажа до пуска в работу, в процессе эксплуатации, после ремонта или длительной (более года) остановки, а также в случаях, установленных требованиями главы VI Федеральных норм и правил в области промышленной безопасности "Правила промышленной безопасности опасных производственных объектов, на которых используется оборудование, работающее под избыточным давлением".
183. Техническое освидетельствование сосудов, аппаратов и трубопроводов состоят из:
наружного и внутреннего осмотра (при наличии люков);
пневматических испытаний на прочность, плотность сосудов (аппаратов) и трубопроводов.
Пневматические испытания на прочность и плотность сосудов (аппаратов) и трубопроводов следует проводить акустико-эмиссионным (далее - АЭ) методом или другим методом неразрушающего контроля, определенным проектной документацией. При контроле пневматических испытаний АЭ методом:
нагружение сосуда давлением, АЭ контроль испытаний и оценка результатов должны проводиться согласно требованиям к организации и проведению АЭ контроля сосудов, котлов и технологических трубопроводов;
величину испытательного давления при очередном освидетельствовании и техническом диагностировании следует определять исходя из разрешенного рабочего давления. При этом должно выполняться неравенство: 1, 05 x Pраб < Pисп < 1, 25 x Pраб. В иных случаях испытательное давление должно соответствовать величине, указанной в Приложении N 4 к настоящим Правилам.
184. Периодичность проведения технического освидетельствования сосудов и аппаратов должна определяться с учетом требований Федеральных норм и правил в области промышленной безопасности "Правила промышленной безопасности опасных производственных объектов, на которых используется оборудование, работающее под избыточным давлением".
185. Ввод в эксплуатацию оборудования, работающего под давлением, должен осуществляться в соответствии с требованиями Федеральных норм и правил в области промышленной безопасности "Правила промышленной безопасности опасных производственных объектов, на которых используется оборудование, работающее под избыточным давлением".
Сроки освидетельствования кожухотрубных конденсаторов и испарителей могут быть сокращены в случае обнаружения в ходе работ в охлаждающей воде или хладоносителях коррозионной активности или механических примесей с абразивными свойствами.
186. Техническое освидетельствования трубопроводов должно проводиться со следующей периодичностью:
наружный осмотр и испытание пробным давлением - по окончании монтажных работ перед пуском в эксплуатацию;
наружный осмотр - не реже 1 раза в 2 года;
наружный осмотр и испытание пробным давлением - не реже 1 раза в 8 лет.
При применении пневматических испытаний трубопроводов на прочность в сопровождении АЭ методов величина рекомендуемого давления определяется по формуле: Рпр=1, 15Р[σ]20/[σ].
187. При техническом освидетельствовании системы холодоснабжения после монтажа до пуска в эксплуатацию испытательное давление следует определять в соответствии с Приложением N 4 к настоящим Правилам. Использовать аммиак в качестве нагружающей среды и аммиачный компрессор в качестве воздушного не допускается. При очередном техническом освидетельствовании и контроле испытаний методом АЭ в качестве нагружающей среды допускается использовать газообразный аммиак, при условии если:
максимальное испытательное давление не превышает допускаемое давление, полученное при расчете на прочность (для сосудов);
толщина стенки трубопровода и его элементов выше браковочной толщины, определяемой в соответствии с требованиями нормативно-технических документов (для трубопроводов).
188. Порядок и сроки освидетельствования систем холодоснабжения с ограниченной зарядкой аммиаком (не более 50 кг), поставляемых комплектно организациями-изготовителями, устанавливаются эксплуатационной документацией организаций-изготовителей.
189. Теплоизоляция и средства защиты от коррозии сосудов, аппаратов и трубопроводов должны быть сняты, если на них имеются следы промокания или вспучивания, указывающие на возможность коррозии внешней поверхности осматриваемого изделия. Сварные и монтажные стыки и фланцевые соединения трубопроводов должны иметь доступ для осмотра.
190. При испытании на прочность после монтажа до пуска в эксплуатацию испытываемый сосуд (аппарат), трубопровод (его участок) должны быть отсоединены от других сосудов, аппаратов и других трубопроводов с использованием металлических заглушек с прокладками, имеющих хвостовики, выступающие за пределы фланцев не менее 20 мм. Толщина заглушки должна быть рассчитана на условия работы при давлении выше пробного в 1, 5 раза.
Использование запорной арматуры для отключения испытываемого сосуда (аппарата) и трубопровода не допускается.
Места расположения заглушек на время проведения испытания должны быть отмечены предупредительными знаками. Пребывание людей около них не допускается.
При периодическом освидетельствовании и техническом диагностировании с использованием метода АЭ и аммиака в качестве нагружающей среды допускается испытывать отдельные технологические линии блоком.
191. При проведении испытаний вся запорная арматура, установленная на сосуде (аппарате) и трубопроводе, должна быть полностью открыта, сальники уплотнены. На месте регулирующих клапанов и измерительных устройств должны быть установлены монтажные катушки. Все врезки, штуцера, бобышки для КИПиА должны быть заглушены.
Приборы КИПиА, не рассчитанные на давление испытания, должны быть отключены.
192. Давление при испытании должно контролироваться двумя манометрами, опломбированными и прошедшими поверку. Манометры должны быть одинакового класса точности, не ниже 1, 5, с диаметром корпуса не менее 160 мм и шкалой на номинальное давление, равное 4/3 от измеряемого давления. Один манометр должен устанавливаться у источника давления (воздушный компрессор, баллон с инертным газом), другой - на сосуде (аппарате) и трубопроводе в точке, наиболее удаленной от воздушного компрессора.
При испытании трубопроводов величина пробного давления для сторон нагнетания и всасывания должна соответствовать пробному давлению испытания на прочность сосудов и аппаратов этой же стороны трубопровода.
При работе нового оборудования совместно с ранее установленным, имеющим более низкое рабочее давление, величину давления испытания следует принимать по меньшему значению.
193. Давление нагружающей среды в сосуде (аппарате), трубопроводе следует поднимать до пробного давления испытания со скоростью подъема давления не более 0, 1 МПа (кгс/см2) в минуту.
При достижении значения давления, равного 0, 3 и 0, 6 от пробного давления испытания, а также при рабочем давлении необходимо прекратить повышение давления и произвести промежуточный осмотр и проверку наружной поверхности сосуда (аппарата), трубопровода. Запись АЭ информации должна проводиться на протяжении всей выдержки объекта испытаний на указанных давлениях.
194. Под пробным давлением сосуд (аппарат), трубопровод должен находиться в течение не менее 15 мин., после чего давление постепенно должно быть снижено до расчетного, при котором проводится осмотр наружной поверхности сосуда (аппарата, трубопровода) с проверкой плотности его швов и разъемных соединений мыльным раствором или другим способом.
В случае контроля испытаний методом АЭ оценка плотности сварных швов и разъемных соединений проводится по показаниям приборов на основании анализа регистрируемых данных АЭ контроля.
195. Испытания на плотность всей системы сосудов, аппаратов и трубопроводов должны проводиться раздельно по сторонам высокого и низкого давления в соответствии с Приложением N 4 к настоящим Правилам. Окончательные испытания на плотность необходимо проводить после выравнивания в течение нескольких (не менее 3) часов температур внутренней и наружной среды. Продолжительность испытаний - не менее 12 часов. Изменение давления, кроме вызванного колебаниями температуры окружающей среды, не допускается.
196. Результаты испытания сосуда (аппарата) и трубопровода на прочность и плотность признаются удовлетворительными, если во время испытаний не произошло разрывов, видимых деформаций, падения давления по манометру и получено положительное заключение по результатам АЭ контроля или контроля другим сопровождающим испытание методом.
197. Результаты технического освидетельствования сосудов, аппаратов и трубопроводов с указанием разрешенных параметров эксплуатации, сроки проведения очередного технического освидетельствования должны быть записаны в паспортах оборудования и трубопроводов лицом, проводившим освидетельствование.
198. После пневматических испытаний перед пуском в эксплуатацию холодильной установки следует проводить ее вакуумирование в течение 18 часов при остаточном давлении 0, 01 МПа (0, 1 кгс/см2).
Давление должно фиксироваться в течение этого времени через каждый час. Допускается повышение давления до 50% в первые 6 часов. В остальное время давление должно оставаться постоянным. Давление, при котором разрешается эксплуатация сосуда (трубопровода), следует определять исходя из достигнутого уровня испытательного давления (Pисп). Если испытания проводились в сопровождении АЭ контроля, то разрешенное давление не может быть большим, чем Pисп/1, 05.
XIV. ЗАПОЛНЕНИЕ СИСТЕМ АММИАКОМ
199. Общее количество жидкого аммиака, необходимого для первичной заправки холодильной системы, должно определяться проектной документацией и технологическим регламентом на основании расчета суммарного заполнения ее элементов. При этом заполнение жидким аммиаком внутреннего объема оборудования не должно превышать следующих величин, %:
испарители:
кожухотрубные и вертикально-трубные - 80;
змеевиковые и листотрубные (панельные), независимо от наличия отделителей жидкости - 50;
батареи холодильных камер:
с верхней подачей аммиака - 30;
с нижней подачей аммиака - 70;
воздухоохладители:
с верхней подачей аммиака - 50;
с нижней подачей аммиака - 70;
конденсаторы:
кожухотрубные с ресиверной частью кожуха (обечайки) - полный объем ресиверной части кожуха (обечайки) части;
конденсаторы кожухотрубные горизонтальные и вертикальные, испытательные, испарительного и воздушного охлаждения - 0;
обечайки других типов - 80% объема сборников жидкого аммиака;
отделители жидкости - 0;
ресиверы:
линейные - 50;
циркуляционные (вертикальные и горизонтальные, с жидкостными стояками) - 15;
циркуляционные (вертикальные и горизонтальные, без жидкостных стояков) - 30;
защитные - 0;
дренажные - 0;
переохладители жидкого аммиака - 100;
промежуточные сосуды в установках двухступенчатого сжатия:
вертикальные - 30;
горизонтальные - 50;
маслоотделители барботажного типа - 30;
трубопроводы жидкого аммиака - 100;
морозильные и плиточные аппараты непосредственного охлаждения - 80;
трубопроводы совмещенного отсоса паров и слива жидкого аммиака - 30.
Комплектные холодильные установки должны заполняться жидким аммиаком и опорожняться от него в соответствии с документацией организации-изготовителя.
200. Готовность системы к заполнению хладагентом должна определяться комиссией эксплуатирующей организации после завершения монтажных работ и проведения испытаний на прочность и плотность. Решение о заполнении системы должно оформляться актом, в котором должны быть отражены следующие вопросы:
готовность работы системы общеобменной и аварийной вентиляции;
укомплектованность организации обученным техническим персоналом;
обеспеченность персонала средствами индивидуальной защиты органов дыхания, тела и средствами оказания доврачебной помощи;
наличие проектной, технологической документации и плана мероприятий.
201. При пополнении холодильных систем аммиаком количество жидкого аммиака в системе не должно превышать величин, установленных проектной документацией и технологическим регламентом.
Оценка необходимого количества добавляемого аммиака (оценка количества аммиака в системе) должна производиться при остановленной (неработающей) системе по фиксации уровня аммиака в линейных, циркуляционных, дренажных и защитных ресиверах, промсосудах. Степень заполнения испарительной системы должна оцениваться с учетом требований пункта 199 настоящих Правил.
202. Аммиак должен соответствовать требованиям проектной документации и технологических регламентов. Отбор проб жидкого аммиака и проверка его качества должны проводиться через предназначенную для этих целей арматуру транспортировочных емкостей.
203. Операция слива жидкого аммиака должна проводиться в соответствии с требованиями Федеральных норм и правил в области промышленной безопасности "Правила безопасного ведения газоопасных, огневых и ремонтных работ".
204. Трубопроводы жидкого аммиака узла слива должны быть оборудованы манометрами, а также автоматическими устройствами, препятствующими обратному току жидкого аммиака из сборников жидкого аммиака аммиачной холодильной установки при разгерметизации съемного участка трубопровода слива жидкого аммиака.
205. Подсоединение железнодорожной цистерны к стационарным узлам холодильной установки должно быть гибким и обеспечивать естественное вертикальное перемещение цистерны на своей подвеске, а также возможность удобного подключения стыковочного узла и его герметичность. Для стыковки могут применяться следующие виды временных соединений:
гибкая стыковка при помощи консольного участка стальной трубы длиной 5 - 7 м, изогнутой в виде колена или змеевика;
гибкие металлические рукава;
гибкие рукава из неметаллических материалов;
шарнирные поворотные соединения.
206. Слив жидкого аммиака из автомобильной цистерны должен осуществляться через съемный трубопровод автомобиля-заправщика.
207. Порядок и сроки эксплуатации, освидетельствования, ремонта, маркировка съемных гибких и шарнирных участков трубопроводов пункта слива определяются в проектной документации.
208. Пункт слива жидкого аммиака должен быть оборудован датчиками системы контроля уровня загазованности аммиаком, сигнализаторами сдвига цистерны, автоматическими системами прекращения слива аммиака, стационарными и передвижными техническими устройствами системы локализации и ликвидации последствий аварии.
209. Остаточное избыточное давление в транспортировочных емкостях при полном их опорожнении должно контролироваться и быть не менее 0, 05 МПа.
210. Работы по устранению утечек аммиака из транспортировочных емкостей в местах уплотнений разъемных соединений, затворов арматуры, сквозных повреждений арматуры и замене арматуры должны выполняться после снижения давления в емкостях до атмосферного.
211. Площадка для слива жидкого аммиака из железнодорожных и автомобильных цистерн должна иметь асфальтовое или бетонное покрытие, а также дренажную сеть или уклон для перемещения возможных проливов жидкого аммиака и аммиачной воды, образующейся при локализации и ликвидации аварий с цистернами, в специальные приямки.
Конструкция и вместимость приямка должны исключать свободный перелив его содержимого в существующие системы канализации и определяются в проектной документации.
212. На пункте слива необходимо обеспечить условия для удобного и безопасного подключения цистерны к стационарным трубопроводам. Платформа для доступа персонала к арматуре транспортировочных емкостей должна иметь несгораемую конструкцию, удобную для проведения регламентных работ и эвакуации в случае аварии.
213. В организации, деятельность которой связана с получением и отпуском аммиака в цистернах, должны быть разработаны специальные инструкции, регламентирующие порядок слива, налива, приема, подготовки, обработки цистерн с аммиаком.
Прибывшая в организацию цистерна с аммиаком должна приниматься по акту.
214. В течение всего времени нахождения цистерн на территории организации должно быть организовано круглосуточное наблюдение за ними.
215. Прибывшая в организацию цистерна с аммиаком подлежит визуальному осмотру, проверке наличия пломб, исправности и герметичности запорной арматуры. Груз передается по акту приема-передачи и проверяется на соответствие паспортным данным цистерны.
216. После осмотра цистерны должно выдаться письменное заключение о состоянии цистерны и возможности проведения работ по сливу, о чем в книге по регистрации приемки и слива аммиака делается соответствующая запись, отмечается масса (нетто, брутто) и номер цистерны. Книга по регистрации приемки и слива аммиака должна быть пронумерована, прошнурована и скреплена печатью.
217. При обнаружении нарушений требований настоящих Правил сливать аммиак из цистерны запрещается. В указанном случае в организации должен составляться акт и сообщаться об этом организации-наполнителю.
218. До начала слива аммиака из железнодорожной цистерны локомотив должен быть удален за стрелочные переводы или ограждающий брус. Стрелочные переводы на подъездных путях организации должны быть поставлены в положение, исключающее возможность заезда подвижного состава, и заперты на замки.
219. На внутренних железнодорожных путях организации, не имеющих стрелочных переводов, должен устанавливаться затворный предохранительный брус на расстоянии не менее 3 м от цистерны. Колеса цистерны на рельсовом пути должны быть закреплены и с обеих сторон подклинены тормозными башмаками. До и во время проведения слива цистерна должна ограждаться переносными сигналами красного цвета и должен быть установлен знак размером 400 x 600 мм с надписью "Стой! Проезд закрыт. Аммиак". Перед сливом аммиака цистерна должна быть заземлена и подключена к блокировке сдвига цистерны.
220. Автомобильная цистерна должна быть заторможена и подклинена с обеих сторон тормозными башмаками, заземлена, подключена к блокировке сдвига цистерны и ограждена в порядке, аналогичном для железнодорожной цистерны. Если установка автомобильной цистерны под слив производится на территории, которая непосредственно сопрягается с внутренними автотранспортными путями, то должны быть приняты все меры, препятствующие въезду постороннего транспорта на опасную территорию, в том числе перегораживание возможных путей подъезда, выставление охраны.
221. Перед операцией слива аммиака должен быть опорожнен приямок, предназначенный для сбора возможных проливов аммиака (аммиачной воды) при разгрузке, приведены в рабочее состояние технические устройства системы локализации и ликвидации аварии.
222. Если слив аммиака не проводится, оставлять цистерну присоединенной к системе не допускается. В случае перерыва съемные участки трубопроводов должны быть отсоединены от цистерны.
223. Во время слива аммиака из цистерны присутствие посторонних лиц, работа с огнем, искрообразующим инструментом и курение около цистерны не допускаются.
В случае возникновение пожара и иных нештатных ситуаций персоналом должны соблюдаться требования планов мероприятий по локализации и ликвидации последствий аварий.
224. Операции по присоединению цистерны к стационарным трубопроводам узла слива и ее отсоединению должны проводиться в средствах индивидуальной защиты органов дыхания и кожи.
225. Жидкий аммиак из автомобильной или железнодорожной цистерны должен передавливаться в холодильную систему под действием разности давлений в цистерне и приемной части холодильной системы. Необходимый для этого перепад давления должен обеспечиваться путем предварительного создания вакуума в приемной части системы (испарительная часть, циркуляционные ресиверы) за счет отсасывания паров аммиака компрессором.
Достаточность заполнения холодильной системы необходимо контролировать по указателям уровня аммиака в приемной части системы.
Полный слив аммиака из цистерны (опорожнение) должен определяться по отсутствию выхода жидкого аммиака из контрольной арматуры цистерны.
226. После частичного или полного слива аммиака цистерна должна быть опломбирована и на нее должна быть оформлена справка о количестве аммиака в цистерне.
После окончания всех работ по сливу аммиака приемные клапаны холодильной установки должны быть закрыты и опломбированы, а вся приемная часть установки закрыта на ключ.
227. Подготовка слива жидкого аммиака в организации должна проводиться под руководством инженерно-технического работника, назначенного приказом по организации.
228. Слив аммиака в резервные ресиверы должен проводиться с соблюдением дополнительных требований:
вакуумирование резервных ресиверов должно осуществляться компрессорами через отделители жидкости или аппараты (сосуды), выполняющие указанные функции;
резервные ресиверы должны заполняться не более чем на 80% их геометрического объема.
XV. ТРЕБОВАНИЯ К ЭКСПЛУАТАЦИИ СИСТЕМ ХОЛОДОСНАБЖЕНИЯ
229. Первичный после длительной остановки, ремонта, профилактики, а также после остановки компрессора при срабатывании приборов предаварийной защиты пуск компрессора в работу необходимо выполнять вручную с закрытыми всасывающими клапанами в соответствии с инструкцией организации-изготовителя.
Перед пуском компрессора в работу следует убедиться, что все запорные клапаны на нагнетательном трубопроводе от компрессора до конденсатора открыты. При пуске компрессора с использованием встроенного байпаса нагнетательный вентиль компрессора должен быть закрыт, а клапан байпаса открыт, если это предусмотрено инструкцией организации-изготовителя.
230. Отсасывание паров аммиака компрессорами из испарителей холодильной установки мимо отделителя жидкости или сосуда, его заменяющего, не допускается, кроме блочных машин заводского изготовления, работающих обособленно от основной холодильной системы.
231. Утечка аммиака через сальниковые уплотнения компрессоров, насосов, штоков клапанов должна быть устранена немедленно после ее обнаружения.
Перед ремонтными работами должно производиться вакуумирование всасывающей полости компрессора (кратковременная работа с закрытым всасывающим клапаном). Далее закрывается нагнетательный клапан и оставшийся аммиак выпускается через резиновый шланг, один конец которого надевается на специальный клапан, расположенный на компрессоре, а другой опускается в сосуд с водой под ее уровень. Во избежание попадания воды в компрессоры во время выпуска аммиака необходимо контролировать давление в картере, не допуская падения давления ниже атмосферного.
232. Перегрев паров аммиака, всасываемых компрессором, должен быть не менее 5 К (°C) для одноступенчатых и ступени высокого давления двухступенчатых компрессоров и 10 К (°C) для ступени низкого давления двухступенчатых компрессоров. Указанный перегрев определяется как разность между температурой пара, измеряемой термометром на всасывании компрессора, и температурой кипения аммиака.
Последняя определяется для измеренного мановакуумметром давления всасывания по температурной шкале этого прибора или по таблице насыщенных паров аммиака. Верхний предел шкалы мановакуумметра должен быть не более 1 МПа (10 кгс/см2), класс точности не ниже 1, 5.
233. Температура в местах регулярного контроля работы аммиачной холодильной установки должна определяться стационарно установленными постоянно действующими приборами. Использование переносных приборов в указанном случае не допускается. Температура нагнетания должна быть для поршневых компрессоров не выше 160 °C, для винтовых - 90 °C, а для горизонтальных тихоходных компрессоров - 135 °C, если инструкцией организации-изготовителя не предусмотрено иное значение.
234. Впрыск жидкого аммиака во всасывающий трубопровод (полость) поршневого компрессора не допускается.
Эксплуатация винтовых компрессоров с впрыском жидкого аммиака допускается, если это предусмотрено инструкцией организации-изготовителя.
Установка вспрыскивающих устройств, не предусмотренных инструкцией организации-изготовителя, не допускается.
235. При появлении стука в компрессоре машинист обязан немедленно остановить его и сообщить об этом старшему машинисту, записав в суточный журнал работы машинного отделения причину остановки компрессора.
236. При уменьшении перегрева и быстром падении температуры нагнетаемых компрессором паров аммиака, обмерзании (увеличении степени обмерзания) стенок всасывающих полостей и появлении других признаков влажного хода (в поршневом компрессоре - приглушенный стук в нагнетательных клапанах и падение давления смазки; в винтовом - изменение характера шума работы и падение давления смазки; в ротационном многолопаточном - изменение характера шума работы и увеличение уровня в маслоотделителе) необходимо немедленно остановить компрессор, после чего закрыть запорные всасывающий и нагнетательный клапаны, регулирующий клапан и устранить причину влажного хода компрессора. Перед последующим пуском компрессора необходимо освободить его всасывающий трубопровод от возможного скопления жидкости. При отсасывании аммиака из остановленного компрессора необходимо слить воду из его рубашек.
237. После ремонта и профилактики отдельного холодильного оборудования, а также после вынужденной остановки компрессора, вызванной нарушениями в его работе, пуск его в эксплуатацию осуществляется с учетом требований главы XVI настоящих Правил. Перед пуском винтового компрессора, имеющего устройство для ручного регулирования количества подачи аммиака, необходимо установить минимальную производительность с помощью этого устройства.
238. При перерывах в работе холодильной установки в зимнее время и возможности замерзания воды ее необходимо спускать из охлаждающих рубашек цилиндров и сальников компрессоров, водяных насосов, конденсаторов закрытого типа, переохладителей и других аппаратов, а также из водяных трубопроводов через спускные краны в самых низких точках систем.
239. Все движущиеся и вращающиеся части оборудования, включая маховики, валы, муфты, передачи, должны быть закрыты сплошными или сетчатыми ограждениями, съемными и легкоразборными.
Узлы и детали ограждения должны быть укреплены и иметь достаточную прочность и жесткость.
240. Вода для охлаждения компрессора должна иметь температуру на входе не ниже 10 °C и на выходе из рубашек цилиндров - не более 45 °C, если заводом-изготовителем не предусмотрены другие предельные значения.
241. Для смазки холодильных аммиачных компрессоров следует применять только предназначенные для них масла.
Марка смазочного масла для каждого типа компрессора должна соответствовать марке, указанной в инструкции организации-изготовителя.
242. На компрессорах и насосах, работающих в автоматическом режиме, на видном месте должны быть вывешены таблички: "Осторожно! Пускается автоматически".
243. Уровень шума на рабочих местах не должен превышать норм, приведенных в действующих нормативных документах. В случае, если уровень шума превышает норму, необходимо принимать меры по его снижению.
244. Проверку и обкатку аммиачных компрессоров после монтажа и ремонта необходимо выполнять в соответствии с документацией организации-изготовителя.
245. На действующих холодильниках, имеющих безнасосные затопленные системы непосредственного охлаждения с питанием испарительного оборудования через расположенные над ним отделители жидкости, поддержание уровня жидкого аммиака в них не допускается ввиду опасности выброса из системы во всасывающую линию компрессоров при увеличении тепловой нагрузки.
Если указанную схему подачи жидкого аммиака в охлаждающее устройство изменить нельзя, то перед компрессором должен быть установлен дополнительный сухой отделитель жидкости с защитным ресивером или ресивер, совмещающий функцию отделителя жидкости.
246. Эксплуатацию включенного в холодильную схему аммиачного насоса следует осуществлять в соответствии с требованиями документации организации-изготовителя.
247. Перед каждым пуском насоса необходимо его осмотреть, убедиться, что он находится в исправном состоянии и подтвердить это соответствующей записью в суточном журнале работы компрессорного цеха.
248. Перед первичным пуском аммиачного насоса или после его длительной остановки следует открыть клапаны на всасывающей и напорной линиях, обеспечив тем самым заполнение указанного агрегата (в том числе рабочих полостей) жидким хладагентом, закрыть клапан на напорной линии до упора и отвернуть назад на один - полтора оборота, включить насос. После выхода на стабильный по напору режим следует отрегулировать значение этого напора с помощью вентиля на напорном патрубке.
249. Не допускается запускать аммиачный насос при:
закрытых клапанах на его входе и выходе;
неполном заполнении насоса жидким хладагентом;
отсутствии защитного кожуха муфты (для агрегатов с муфтой сцепления между насосом и электродвигателем).
250. Насос должен быть немедленно остановлен, если:
упало давление напора или разность давлений напора и всасывания (при отсутствии или отказе приборов автоматики);
появились утечки аммиака через неплотности агрегата;
обнаружены неисправности манометров, обратных клапанов, средств КИПиА.
251. Обслуживание аммиачных насосов должно проводиться после полной остановки агрегата, отключения электропитания, вывешивания табличек на пусковых устройствах и клапанах, записи в суточном журнале работы компрессорного цеха.
252. Неисправности насосов, связанные с утечкой аммиака, должны устраняться немедленно.
253. Охлаждение сосудов и аппаратов при первичном пуске после длительной остановки, подготовки к освидетельствованию или ремонту должно осуществляться со скоростью снижения температуры стенок не более 30 °C в час во избежание ухудшения механических свойств материала. Вскрывать аппараты, освобожденные от аммиака, допускается при температуре их стенок не ниже минус 35 °C.
254. Лед, образующийся в зимнее время на оросительных конденсаторах и градирнях, на площадках и лестницах для их обслуживания, необходимо удалять.
255. Механическая очистка труб конденсатора от водяного камня должна выполняться под руководством начальника цеха с оформлением наряда-допуска и только после освобождения конденсатора от аммиака.
Не реже одного раза в месяц необходимо проверять отходящую из конденсатора воду на присутствие аммиака.
256. Двери отдельно стоящих аппаратных и конденсаторных помещений или площадок следует закрывать на замок.
257. При использовании кожухотрубных испарителей должен применяться хладоноситель с температурой замерзания на 8 °C ниже рабочей температуры кипения аммиака. При охлаждении воды в кожухотрубных испарителях с кипением аммиака в межтрубном пространстве температура кипения аммиака должна быть не ниже 2 °C.
В системах охлаждения с промежуточным хладоносителем необходимо не реже одного раза в месяц проверять его на присутствие аммиака.
258. При отсутствии автоматического перепуска в картер компрессора масло из маслоотделителей и аппаратов сторон высокого и низкого давления должно в соответствии с установленной проектной документацией и организацией-изготовителем периодичностью перепускаться в маслосборники. Из маслосборников оно должно выпускаться при давлении не более чем на 0, 01 - 0, 02 МПа (0, 1 - 0, 2 кг/см2) выше атмосферного после отсасывания паров аммиака через устройство для отделения жидкости.
Выпуск масла из сосудов (аппаратов) непосредственно в открытую емкость, минуя маслосборник, не допускается.
На маслосборниках должны быть установлены мановакуумметры.
Система выпуска масла должна полностью исключать контакт персонала со средой в системе.
При выпуске масла обслуживающий персонал должен пользоваться противогазом и резиновыми перчатками, а также постоянно наблюдать за процессом выпуска.
259. Дежурный обслуживающий персонал в течение смены должен записывать в суточный журнал основные параметры работы холодильной установки по показателям приборов, замечания о работе холодильного оборудования и вентиляционных устройств, причины остановки компрессоров, информацию о работе вентиляционных систем, меры, принятые для устранения недостатков в работе оборудования, и другие замечания к работе оборудования.
260. Аппарат (сосуд) должен быть выведен из работы в случае:
а) повышения давления в сосуде выше разрешенного, несмотря на соблюдение всех требований, указанных в инструкции;
б) неисправности предохранительных клапанов;
в) обнаружения в основных элементах сосуда трещин, выпучин, пропусков или потения в сварных швах, течи в соединениях, уменьшения толщины стенки вследствие коррозионного или эрозионного износа сверх минимального значения, установленного расчетом на прочность;
г) возникновения пожара, непосредственно угрожающего сосуду (аппарату) под давлением;
д) неисправности манометра и невозможности определить давление по другим приборам;
е) неисправности крепежных деталей крышек и люков;
ж) неисправности указателя уровня жидкости;
з) неисправности предусмотренных проектной документацией контрольно-измерительных приборов и средств автоматики;
и) утечки аммиака из системы, подключенной к данному аппарату.
261. При эксплуатации систем холодоснабжения должны приниматься меры по поддержанию плотности аммиачной системы.
Для обнаружения мест утечки аммиака должны использоваться химические и другие специальные индикаторы.
262. Все запорные клапаны на аммиачных газовых нагнетательных трубопроводах должны быть опломбированы в открытом положении, за исключением основных запорных вентилей компрессоров.
Запорные клапаны на сливных трубах отделителей жидкости и разделительных сосудов должны быть опломбированы в открытом положении. О всех случаях снятия пломб и последующего пломбирования вентилей необходимо делать запись в суточном журнале.
263. Запорные клапаны на жидкостных трубопроводах между конденсаторами и регулирующей станцией, на постоянно действующих уравнительных жидкостных и газовых трубопроводах, соединяющих ресиверы с конденсаторами, на колонках для реле уровня должны быть опломбированы в открытом положении.
264. При необходимости снятия пломбы с клапана на нагнетательном трубопроводе и его закрытия следует выключить компрессоры, присоединенные к этому трубопроводу.
При наличии двух или более нагнетательных магистралей запорные клапаны, объединяющие их, должны быть опломбированы.
265. Во избежание заклинивания клапанов запорной арматуры держать их в открытом до отказа положении не допускается. После полного открывания клапана необходимо повернуть его маховик обратно примерно на 1/8 оборота.
266. На щите регулирующей станции возле каждого клапана должна быть надпись с указанием, какой аппарат или какое охлаждаемое помещение обслуживает данный регулирующий клапан.
267. Перед подтягиванием болтов во фланцевых соединениях, полной или частичной заменой сальниковой набивки запорной арматуры (не имеющей обратного затвора сальника) аппаратов (сосудов) аммиак должен быть полностью удален из поврежденного участка и участок отключен от остальной системы холодоснабжения. Указанные операции необходимо выполнять в противогазе и перчатках.
268. Укладка грузов вплотную к потолочным и пристенным аммиачным батареям, воздухоохладителям, а также на трубы батарей и соединительные трубопроводы в холодильных камерах не допускается. Необходимо соблюдать расстояние от батарей до грузового штабеля в соответствии с технологическими инструкциями, но не менее 0, 3 м.
269. При оттаивании снежно-ледяных отложений с охлаждающих устройств давление в батареях и воздухоохладителях не должно превышать давления испытания на плотность для аппаратов (сосудов) стороны низкого давления.
Давление в батареях и воздухоохладителях должно контролироваться манометром.
Перед оттаиванием батарей и воздухоохладителей необходимо освободить их от жидкого аммиака и скопления масла, которые следует сливать в дренажный (циркуляционный) ресивер с последующим выпуском масла из него через маслосборник. Выпуск масла непосредственно из батарей и воздухоохладителей не допускается.
Оттаивание должно производиться в соответствии с технологическим регламентом регулярно во избежание чрезмерного накопления снега и льда, которое может привести к обрыву батарей и нарушению герметичности системы.
XVI. ТРЕБОВАНИЯ К ПРОИЗВОДСТВУ РЕМОНТНЫХ РАБОТ
270. Порядок организации и проведения ремонтных работ холодильных систем должен быть определен в нормативных технических документах эксплуатирующей организации (стандарты, положения, инструкции) по техническому обслуживанию и ремонту технологического оборудования и технических устройств (далее - НТД) с учетом условий их эксплуатации, в том числе обусловленных отказами, возникшими при работе оборудования и технических устройств, нарушениями режимов эксплуатации аммиачных холодильных установок, документации организаций-изготовителей.
271. Ремонт может проводиться как при полностью остановленной холодильной системе, так и при ее частичной эксплуатации (по отдельным узлам и участкам установки), в зависимости от вида оборудования, наличия резерва, возможности выделения ремонтируемого участка от остальной части установки, объема ремонта, обеспечения безопасности ремонтных работ.
272. Ремонт холодильного оборудования должен осуществляться в соответствии с графиком.
Годовой и месячный (с учетом фактической наработки оборудования) графики ремонтов должны утверждаться техническим руководителем организации.
273. В организации должна вестись документация, подтверждающая своевременность и качество проведенных ремонтных работ в соответствии с требованиями НТД. Проведение ремонтных работ должно быть осуществлено в соответствии с требованиями Федеральных норм и правил в области промышленной безопасности "Правила безопасного ведения газоопасных, огневых и ремонтных работ".
274. Перед проведением ремонтных работ участок или элемент холодильной установки, подлежащей ремонту, должен быть закрыт клапанами от остальной части этой установки и освобожден от аммиака и других веществ в соответствии с документацией изготовителя холодильной установки.
275. Освобожденный от аммиака участок или элемент холодильной установки заполняется воздухом под атмосферным давлением дополнительно. Смежные участки (элементы) этой установки, содержащие аммиак, должны быть отключены клапанами и заглушками.
Заглушки должны быть пронумерованы, иметь соответствующую прочность, а также рукоятки (хвостовики) красного цвета, выходящие за пределы фланца и изоляции, для быстрого определения места их расположения. Маховички отсекающих клапанов должны быть запломбированы и иметь таблички с надписью "Не открывать! Идет ремонт".
Действия по установке и снятию заглушек должны фиксироваться в журнале по установке и снятию заглушек за подписью лица, установившего и снявшего заглушку.
276. Вскрытие аммиачного насоса на месте эксплуатации или его демонтаж следует производить только после полного удаления хладагента из насоса. Порядок освобождения оборудования от хладагента должен быть установлен в документации по его обслуживанию. После ремонта и технического обслуживания аммиачных насосов, а также после их вынужденной остановки пуск в работу насосов может проводиться только по акту о приемке из ремонта.
277. Ремонтируемое холодильное оборудование и связанные с ним электрические устройства должны быть отсоединены от электросетей для предотвращения случайного контакта или несанкционированного пуска-включения.
278. Сдача оборудования, трубопроводов или части систем холодоснабжения в ремонт должна оформляться актом, в котором должны быть отражены, в том числе:
а) полнота и достаточность освобождения от аммиака, масла, воды и хладоносителя, а также отделения участка от остальной системы холодоснабжения;
б) меры по полному обесточиванию ремонтируемого холодильного оборудования;
в) дата и время сдачи в ремонт с указанием должности, фамилии и подписи сдавшего и принимающего.
279. Все ремонтные работы на системах холодоснабжения должны проводиться при наличии наряда-допуска, оформляемого в соответствии с Федеральными нормами и правилами в области промышленной безопасности "Правила безопасного ведения газоопасных, огневых и ремонтных работ".
280. На территории ремонтируемой части системы холодоснабжения должны быть выставлены предупредительные щиты и таблички о ремонте и запрете входа посторонних лиц в зону ремонта. О нахождении в ремонте должна быть запись в суточном журнале работы компрессорного цеха.
281. Ремонтный персонал должен иметь средства индивидуальной защиты и знать правила их применения, меры доврачебной помощи.
282. Применяемые при ремонте детали и материалы для систем холодоснабжения должны соответствовать требованиям НТД. На детали и материалы должны быть документы, подтверждающие их соответствие техническим регламентам.
283. Ремонт трубопроводов должен проводиться с соблюдением требований документации организации-изготовителя.
284. В ходе организации и проведения ремонтных работ вопросы, связанные с электропитанием систем холодоснабжения, освещением, применением электроинструмента и электроприборов, ремонтом электрических оборудования и аппаратов, должны решаться с учетом требований нормативных технических документов по устройству электроустановок.
285. К проведению электросварочных, газосварочных и других огневых работ на системах холодоснабжения допускаются лица, аттестованные в соответствии с пунктом 9 настоящих Правил.
286. Электрифицированный инструмент, применяемый при ремонте систем холодоснабжения, должен соответствовать требованиям НТД.
287. Переносные лестницы и стремянки, применяемые при ремонте систем холодоснабжения, должны соответствовать требованиям НТД по обеспечению безопасного производства работ и пункту 178 настоящих Правил.
288. Для проведения технического обслуживания и ремонта оборудования, установленного в машинном, аппаратном или конденсаторном отделениях, в технологических цехах (в которых установлено аммиачное оборудование), необходимо пользоваться инструментом и приспособлениями, выполненными из материалов, исключающих искрообразование при работе.
289. Пуск и обкатку компрессоров, насосов, вентиляторов после ремонта необходимо выполнять в соответствии с документацией организации-изготовителя, а также с учетом требований главы XV настоящих Правил.
290. По окончании ремонтных работ необходимо проверить показания вновь установленных контрольно-измерительных и защитных приборов в соответствии с инструкцией организации-изготовителя.
291. Оценка качества ремонта оборудования и систем холодоснабжения, допуск их в эксплуатацию должны проводиться с оформлением актов в утвержденном в эксплуатирующей организации порядке.
XVII. СРЕДСТВА ЛОКАЛИЗАЦИИ АВАРИЙНЫХ СИТУАЦИЙ
292. В целях экстренного отключения электропитания всего оборудования и рабочего освещения должно предусматриваться автоматическое и ручное отключение систем холодоснабжения. Кнопки аварийного отключения должны быть смонтированы снаружи машинного (аппаратного) отделения - по одной у рабочего входа и запасного выхода. Одновременно с остановкой системы холодоснабжения аварийные кнопки (устройства) должны включать в работу аварийную и вытяжную общеобменную вентиляции, а также звуковую и световую сигнализации.
293. Для ликвидации последствий возможных аварий системы холодоснабжения должны быть оснащены системами и средствами подавления испарения и нейтрализации проливов жидкого аммиака, системами локализации и рассеивания газообразного аммиака.
294. После ликвидации аварии все участники, работавшие в загазованной зоне, должны пройти медицинский осмотр.
295. Конкретные меры и технические средства для предупреждения, локализации и ликвидации аварийных ситуаций на системах холодоснабжения должны определяться в проектной документации и технологических регламентах.
296. В организациях, эксплуатирующих холодильные системы, должны быть организованы учеба и тренировки работников согласно планам мероприятий по локализации и ликвидации аварийных ситуаций.
Приложение N 1
к Федеральным нормам и правилам
в области промышленной безопасности
"Правила безопасности аммиачных
холодильных установок и систем",
утвержденным приказом Федеральной службы
по экологическому, технологическому
и атомному надзору
от 8 ноября 2018 г. N 539
КЛАССИФИКАЦИЯ АММИАЧНЫХ СИСТЕМ ХОЛОДОСНАБЖЕНИЯ
1. Различают шесть схем холодоснабжения, условные графические изображения которых приведены в Таблице 1.
Таблица 1
|
Номера схем |
Определение схемы |
Условное обозначение схемы |
Объект охлаждения |
|
1.1 |
Непосредственная |
| |
|
1.2.1 |
Промежуточная открытая |
| |
|
1.2.2 |
Промежуточная открытая, с уровнем в испарителе |
| |
|
1.2.3 |
Промежуточная закрытая |
| |
|
1.2.4 |
Промежуточная закрытая, с уровнем в испарителе |
| |
|
1.2.5 |
Промежуточная открытая, сдвоенная | ![]() | |
Обозначение трубопроводов: ---------- - хладагент,
____________ - хладоноситель
1.1. Схема непосредственного охлаждения, в которой аммиачные испарительные аппараты (устройства) размещаются внутри охлаждаемых камер и помещений либо встраиваются в коммуникации охлаждаемого воздуха или в технологическое холодопотребляющее оборудование.
1.2. Схемы промежуточного охлаждения, в которых тепло от охлаждаемых сред (объектов) к хладагенту переносится в испарителе холодильной установки с помощью хладоносителей. При этом:
согласно схемам 1.2.1 и 1.2.2 хладоноситель разбрызгивается в воздухе помещения, обеспечивая его охлаждение совместно с охлаждаемым объектом (охлаждение хладоносителя происходит в закрытых испарителях кожухотрубного или пластинчатого типов (1.2.1) или в открытых испарителях трубчатого или панельного типов (1.2.2);
согласно схемам 1.2.3 и 1.2.4 хладоноситель после испарителей закрытого (1.2.3) или открытого (1.2.4) типов подается в теплообменный аппарат охлаждаемого помещения, обеспечивая рекуперативный теплообмен между хладоносителем и охлаждаемым воздухом помещения или охлаждаемым объектом;
согласно схеме 1.2.5 хладоноситель, охлажденный в предварительно закрытом теплообменном аппарате, разбрызгивается в воздухе охлаждаемого помещения.
2. Здания и помещения, которые обслуживаются аммиачными холодильными установками, подразделяются на пять категорий, основные отличия которых приведены в Таблице 2.
3. Холодильное оборудование на холодопотребляющих объектах может быть размещено по одному из следующих вариантов, при условии соблюдения действующих санитарных норм:
Вариант 1 - машинное отделение отсутствует и все оборудование холодильной системы размещено в отдельном помещении.
Вариант 2 - холодильная установка пристроена к зданию или холодильное оборудование размещено на открытой площадке.
Вариант 3 - холодильная установка размещена в отдельно стоящем здании или холодильное оборудование размещено на открытой площадке.
Таблица 2
|
Категория |
Определение |
Здания и помещения (примеры) |
|
A |
Здания и помещения, в которых постоянно находятся лица с ограниченной возможностью самостоятельного передвижения |
Больницы, госпитали, клиники, ясли, детские сады |
|
B |
Здания и помещения, в которых одновременно может находиться значительное количество людей: более одного человека на 1 м2 площади помещения размером 50 м2 и более |
Музеи, театры, лектории, крытые стадионы, крупные торговые центры, рестораны, крытые рынки |
|
C |
Здания и помещения, в которых люди регулярно находятся в состоянии покоя (сна) |
Жилые дома, школы-интернаты, гостиницы, пансионаты, казармы |
|
D |
Здания и помещения, в которых одновременно может находиться ограниченное количество людей, часть из которых компетентна в вопросах безопасной эксплуатации аммиачных холодильных установок |
Торговые залы небольших магазинов и кафе, ателье, лаборатории, отдельные мастерские |
|
E |
Здания и помещения, в которых одновременно может находиться определенное количество людей, компетентных в вопросах безопасной эксплуатации аммиачных холодильных установок или проинструктированных по технике безопасности на своих рабочих местах |
Холодопотребляющие технологические установки и производства промышленных предприятий |
4. Массовые наполнения единичных систем холодоснабжения аммиаком не должны превышать значений, приведенных в Таблице 3.
5. Для систем кондиционирования воздуха помещений категории E допускается применение аммиачных холодильных установок, работающих по схемам 1.2.3 (промежуточная закрытая) и 1.2.4 (промежуточная закрытая, с уровнем в испарителе), и при размещении холодильного оборудования по вариантам 2 и 3. Для других категорий помещений применение аммиачных холодильных установок для систем кондиционирования не допускается.
Таблица 3
|
Категория здания, помещения (п. 2) |
Размещение холодильного оборудования (п. 3) |
Схемы холодоснабжения (п. 1) | |||||
|
A |
1.1 |
1.2.1 |
1.2.2 |
1.2.3 |
1.2.4 |
1.2.5 | |
|
Вариант 1 |
Не допускается | ||||||
|
Вариант 2 |
Не допускается | ||||||
|
Вариант 3 |
Не допускается |
Не более 250 кг | |||||
|
B |
Вариант 1 |
Не допускается | |||||
|
Вариант 2 |
Не допускается | ||||||
|
Вариант 3 |
Не допускается |
Не более 500 кг | |||||
|
C |
Вариант 1 |
Не допускается | |||||
|
Вариант 2 |
Не допускается | ||||||
|
Вариант 3 |
Не допускается |
Не более 500 кг | |||||
|
D |
Вариант 1 |
Не допускается | |||||
|
Вариант 2 |
Не более 25 кг |
Не более 500 кг | |||||
|
Вариант 3 |
Не более 250 кг |
Не более 500 кг | |||||
|
E |
Вариант 1 |
Не более 50 кг | |||||
|
Вариант 2 |
Без ограничений | ||||||
|
Вариант 3 |
Без ограничений | ||||||
Приложение N 2
к Федеральным нормам и правилам
в области промышленной безопасности
"Правила безопасности аммиачных
холодильных установок и систем",
утвержденным приказом Федеральной службы
по экологическому, технологическому
и атомному надзору
от 8 ноября 2018 г. N 539
ТРЕБОВАНИЯ К ОФОРМЛЕНИЮ ПАСПОРТА СИСТЕМЫ ХОЛОДОСНАБЖЕНИЯ
В паспорте системы холодоснабжения должны быть отражены:
1. Сведения о наличии лицензии на эксплуатацию взрывопожароопасных и химически опасных производственных объектов I, II и III классов опасности, включая ее реквизиты.
2. Основные сведения об организации (полное и сокращенное наименования, адрес места нахождения, идентификационный номер налогоплательщика).
3. Сведения о назначении лиц, ответственных:
а) по надзору за техническим состоянием и безопасной эксплуатацией холодильной системы, за соблюдением требований настоящих Правил;
б) за исправное состояние и эксплуатацию оборудования, трубопроводов, арматуры, контрольно-измерительных приборов и автоматики (КИПиА) и других устройств системы холодоснабжения.
4. Общая характеристика системы холодоснабжения.
5. Информация о размещении помещений и открытых площадок системы холодоснабжения.
6. Характеристика потребителей холода и их охлаждающих устройств.
7. Основные данные холодильного оборудования, размещенного в машинных, аппаратных и конденсаторных отделениях.
8. Расчетные данные:
а) по тепловым нагрузкам систем холодоснабжения;
б) о достаточности имеющегося холодильного оборудования;
в) по номинальной аммиакоемкости технологических блоков и холодильной системы в целом.
9. Сведения о наличии:
а) общеобменной и аварийной вентиляций;
б) ремонтного и аварийного освобождения оборудования и технологических блоков от жидкого аммиака;
в) оттайки от снежно-ледяных отложений охлаждающих устройств помещений;
г) масло- и воздухоудаления из системы холодоснабжения;
д) охлаждения компрессоров и конденсаторов.
10. Сведения по:
а) системам противоаварийной автоматической защиты (ПАЗ), контроля, управления, связи, оповещения по холодильной установке;
б) электрообеспечению и установленной мощности электродвигателей холодильной системы;
в) сосудам, работающим под давлением;
г) предохранительным клапанам и мембранным предохранительным устройствам, а также выводным трубопроводам от них;
д) средствам индивидуальной защиты при эксплуатации системы холодоснабжения;
е) аварийному табелю оснащения компрессорного цеха;
ж) запасам аммиака, масла, хладоносителей.
11. Сведения по:
а) по структуре служб обслуживания и ремонта систем холодоснабжения, сменности и численности штатного и фактического персонала;
б) о проведенных на холодильной установке реконструкциях, ремонтах, технических освидетельствованиях, проверках, дозаправках аммиаком;
в) о происшедших авариях и инцидентах на системах холодоснабжения.
Приложение N 3
к Федеральным нормам и правилам
в области промышленной безопасности
"Правила безопасности аммиачных
холодильных установок и систем",
утвержденным приказом Федеральной службы
по экологическому, технологическому
и атомному надзору
от 8 ноября 2018 г. N 539
РАСЧЕТ ГЕОМЕТРИЧЕСКОГО ОБЪЕМА ЦИРКУЛЯЦИОННОГО РЕСИВЕРА
Vс - суммарный геометрический объем устройств охлаждения и технологических аппаратов (для одной температуры кипения), м3;
Vн.т - геометрический объем нагнетательного трубопровода аммиачного насоса, м3;
Vв.т - геометрический объем трубопроводов совмещенного отсоса паров и слива жидкости, м3.
|
Вид схемы |
Тип циркуляционного ресивера |
Формула расчета геометрического объема циркуляционного ресивера |
|
С нижней подачей аммиака |
Вертикальный со стояком, совмещающий функции отделителя жидкости |
2, 0 [Vн.т + 0, 2Vс + 0, 3Vв.т] |
|
Горизонтальный со стояком, совмещающий функции отделителя жидкости |
3, 0 [Vн.т + 0, 2Vс + 0, 3Vв.т] | |
|
С верхней подачей аммиака |
Вертикальный со стояком, совмещающий функции отделителя жидкости |
2, 0 [Vн.т + 0, 5Vс + 0, 4Vв.т] |
|
Горизонтальный со стояком, совмещающий функции отделителя жидкости |
3, 0 [Vн.т + 0, 5Vс + 0, 4Vв.т] |
Приложение N 4
к Федеральным нормам и правилам
в области промышленной безопасности
"Правила безопасности аммиачных
холодильных установок и систем",
утвержденным приказом Федеральной службы
по экологическому, технологическому
и атомному надзору
от 8 ноября 2018 г. N 539
ЗНАЧЕНИЯ ДАВЛЕНИЙ ИСПЫТАНИЯ НА ПРОЧНОСТЬ И ПЛОТНОСТЬ
|
Область испытаний |
Давление испытания (избыточное), МПа (кг/см2) | |
|
Пробное, на прочность |
Расчетное, на плотность | |
|
1. Сторона низкого давления установок и сторона промежуточного давления двухступенчатых установок |
2, 0 (20, 0) |
1, 6 (16, 0) |
|
1а. То же для установок с температурой окружающего (атмосферного) воздуха не более 32 °C |
1, 5 (15, 0) |
1, 2 (12, 0) |
|
2. Сторона высокого давления для установок с водоохлаждаемыми и испарительными конденсаторами |
2, 0 (20, 0) |
1, 6 (16, 0) |
|
3. Сторона высокого давления для установок с конденсаторами воздушного охлаждения |
2, 9 (29, 0) |
2, 3 (23, 0) |
|
3а. То же для установок, эксплуатируемых в условиях умеренной и холодной зоны при обеспечении температуры конденсации не более 50 °C (за счет подбора оборудования) |
2, 5 (25, 0) |
2, 0 (20, 0) |
Приложение N 5
к Федеральным нормам и правилам
в области промышленной безопасности
"Правила безопасности аммиачных
холодильных установок и систем",
утвержденным приказом Федеральной службы
по экологическому, технологическому
и атомному надзору
от 8 ноября 2018 г. N 539
ТРЕБОВАНИЯ ПО НАНЕСЕНИЮ ОПОЗНАВАТЕЛЬНЫХ ЦВЕТНЫХ КОЛЕЦ НА АММИАЧНЫХ ТРУБОПРОВОДАХ
На полностью законченные изготовлением (и заизолированные при необходимости) аммиачные трубопроводы наносятся опознавательные кольца:
в местах прохода труб через строительные конструкции и ограждения;
в местах ответвлений труб;
вблизи арматуры;
в местах подключения труб к оборудованию.
Для нанесения вышеуказанных опознавательных колец участки аммиачных трубопроводов должны быть окрашены в желтый цвет и на них должны быть нанесены кольца:
одно кольцо - на паровых, парожидкостных и жидкостных линиях стороны низкого давления систем холодоснабжения;
два кольца - на паровых линиях стороны высокого давления;
три кольца - на жидкостных линиях стороны высокого давления.
Кольца наносятся черной краской по желтому фону. Также должно указываться направление движения аммиака в трубах черными стрелками на видных местах и вблизи арматуры.
Ширина черных колец принимается в зависимости от размера наружного диаметра трубопровода (в том числе заизолированного) по таблице, приведенной ниже.
|
Наружный диаметр трубопровода, мм |
Ширина черного кольца, мм | |
|
На коммуникациях холодильных установок |
На трубопроводах холодильных машин и агрегатов | |
|
До 80 |
40 |
8 |
|
От 81 до 160 |
50 |
12 |
|
От 161 до 300 |
70 |
16 |
|
Свыше 300 |
100 |
20 |
Расстояние между кольцами принимается равным ширине кольца.
Приложение N 6
к Федеральным нормам и правилам
в области промышленной безопасности
"Правила безопасности аммиачных
холодильных установок и систем",
утвержденным приказом Федеральной службы
по экологическому, технологическому
и атомному надзору
от 8 ноября 2018 г. N 539
ЗНАЧЕНИЯ ПРОБНЫХ ДАВЛЕНИЙ ДЛЯ КОНТРОЛЯ ПРОЧНОСТИ И НАСТРОЙКИ ПРЕДОХРАНИТЕЛЬНЫХ УСТРОЙСТВ И ПРИБОРОВ ОГРАНИЧЕНИЯ РАБОЧИХ ДАВЛЕНИЙ
|
Контрольные испытания; настройка защитных приборов и устройств |
Величины назначаемых давлений |
|
Контроль прочности литых деталей (после механической обработки) и их сборочных единиц |
Не менее 1, 5 Pp |
|
Контроль прочности сварных, штампованных и кованых деталей и их сборочных единиц |
Не менее 1, 3 Pp |
|
Срабатывание предохранительных устройств |
Не более 1, 15 Pp |
|
Настройка реле высокого давления |
Не более Pp |



