ГОСТ Р ИСО 20166-1-2021 МОЛЕКУЛЯРНЫЕ ДИАГНОСТИЧЕСКИЕ ИССЛЕДОВАНИЯ IN VITRO. ТРЕБОВАНИЯ К ПРОЦЕССАМ ПРЕАНАЛИТИЧЕСКОГО ЭТАПА ИССЛЕДОВАНИЯ ЗАФИКСИРОВАННЫХ ФОРМАЛИНОМ ТКАНЕЙ В ПАРАФИНОВЫХ БЛОКАХ (FFPE). Часть 1. ВЫДЕЛЕННАЯ РНК
Утв. и введен в действие Приказом Федерального агентства по техническому регулированию и метрологии от 21 октября 2021 г. N 1216-ст
Molecular in vitro diagnostic examinations. Specifications for pre-examination processes for formalin-fixed and paraffin-embedded (FFPE) tissue. Part 1. Isolated RNA
(ISO 20166-1:2018, IDT)
ОКС 11.100.10
Дата введения - 1 апреля 2022 года
Введен впервые
Предисловие
1 ПОДГОТОВЛЕН Ассоциацией специалистов и организаций лабораторной службы "Федерация лабораторной медицины" (Ассоциация "ФЛМ") (Комитетом по молекулярной диагностике инфекционных и неинфекционных заболеваний "ФЛМ") на основе собственного перевода на русский язык англоязычной версии стандарта, указанного в пункте 4
2 ВНЕСЕН Техническим комитетом по стандартизации ТК 380 "Клинические лабораторные исследования и диагностические тест-системы ин витро"
3 УТВЕРЖДЕН И ВВЕДЕН В ДЕЙСТВИЕ Приказом Федерального агентства по техническому регулированию и метрологии от 21 октября 2021 г. N 1216-ст
4 Настоящий стандарт идентичен международному стандарту ИСО 20166-1:2018 "Молекулярные диагностические исследования in vitro. Требования к процессам преаналитического этапа исследования зафиксированных в формалине и залитых парафином образцов тканей (FFPE). Часть 1. Изолированная РНК" (ISO 20166-1:2018 "Molecular in vitro diagnostic examinations - Specifications for pre-examination processes for formalin-fixed and paraffin-embedded (FFPE) tissue - Part 1: Isolated RNA", IDT).
Международный стандарт разработан Техническим комитетом ISO/TC 212 "Клинические лабораторные исследования и диагностические тест-системы in vitro".
При применении настоящего стандарта рекомендуется использовать вместо ссылочных международных стандартов соответствующие им национальные стандарты, сведения о которых приведены в приложении ДА.
Дополнительные сноски в тексте стандарта, выделенные курсивом, приведены для пояснения текста оригинала
5 ВВЕДЕН ВПЕРВЫЕ
Правила применения настоящего стандарта установлены в статье 26 Федерального закона от 29 июня 2015 г. N 162-ФЗ "О стандартизации в Российской Федерации". Информация об изменениях к настоящему стандарту публикуется в ежегодном (по состоянию на 1 января текущего года) информационном указателе "Национальные стандарты", а официальный текст изменений и поправок - в ежемесячном информационном указателе "Национальные стандарты". В случае пересмотра (замены) или отмены настоящего стандарта соответствующее уведомление будет опубликовано в ближайшем выпуске ежемесячного информационного указателя "Национальные стандарты". Соответствующая информация, уведомление и тексты размещаются также в информационной системе общего пользования - на официальном сайте Федерального агентства по техническому регулированию и метрологии в сети Интернет (www.rst.gov.ru)
Введение
Молекулярная диагностика in vitro, включая молекулярную патологию, позволила добиться значительного прогресса в медицине. Благодаря использованию новых технологий анализа нуклеиновых кислот, белков и метаболитов в тканях человека и жидкостях организма ожидается дальнейший прогресс. Однако в процессе сбора, транспортирования, хранения и исследования образцов профиль и/или целостность молекул может претерпевать радикальные изменения, что приводит к ненадежности или даже невозможности диагностики в связи с тем, что результаты исследования не будут соответствовать реальному состоянию пациента, а отражать искаженный профиль, возникший в результате процессов, произошедших с образцом до проведения исследования.
Следовательно, необходима стандартизация всего процесса, начиная от сбора образцов и заканчивая исследованием РНК. Были проведены исследования с целью установления главных факторов, влияющих на эти процессы. Настоящий стандарт основан на исследовательских работах по систематизации и стандартизации процедур по фиксации тканей формалином и их заливки парафином (FFPE) на преаналитическом этапе исследования РНК.
Процессы фиксации ткани формалином и заливки парафином приводят к модификациям молекул РНК, что может повлиять на правильность и надежность результатов исследования.
Характеристики РНК в тканях могут существенно изменяться до, во время и после сбора образцов и по-разному изменяться в разных тканях доноров/пациентов. Поэтому крайне важно принять специальные меры для минимизации описанных изменений свойств РНК и модификаций внутри ткани для последующего исследования.
В настоящем стандарте использованы следующие формулировки:
- "должен/должна/должно" указывает на требование;
- "следует" указывает на рекомендацию;
- "мог/могла/могло бы" указывает на разрешение;
- "может/способен" указывает на способность или возможность.
Настоящий стандарт устанавливает требования к транспортированию, документированию, хранению и исследованию образцов тканей, фиксированных формалином и залитых парафином (ткани в парафиновых блоках), предназначенных для исследования РНК на преаналитическом этапе проведения молекулярного анализа.
Настоящий стандарт применим к молекулярным диагностическим исследованиям in vitro, включая лабораторно разработанные тесты <*>, выполняемые медицинскими и патоморфологическими лабораториями. Также он предназначен для использования поставщиками, разработчиками и производителями диагностики in vitro, биобанками, учреждениями и коммерческими организациями, осуществляющими биомедицинские исследования, а также регулирующими органами <**>.
--------------------------------
<*> В Российской Федерации к термину "лабораторно разработанные тесты" (медицинские изделия или методики их применения, разработанные в лаборатории для собственного применения) применяется определение "незарегистрированные медицинские изделия для диагностики in vitro".
<**> Государственный контроль за обращением медицинских изделий осуществляется уполномоченным Правительством Российской Федерации федеральным органом исполнительной власти (в настоящее время - Федеральной службой по надзору в сфере здравоохранения).
Примечание - Международные и национальные правила или требования могут также применяться к определенным разделам настоящего стандарта.
В настоящем стандарте использованы нормативные ссылки на следующие стандарты [для датированных ссылок применяют только указанное издание ссылочного стандарта, для недатированных - последнее издание (включая все изменения)]:
ISO 15189:2012, Medical laboratories - Requirements for quality and competence (Медицинские лаборатории. Специальные требования к качеству и компетентности)
ISO 15190, Medical laboratories - Requirements for safety (Лаборатории медицинские. Требования безопасности)
ISO/IEC 17020:2012, Conformity assessment - Requirements for the operation of various types of bodies performing inspection (Оценка соответствия. Требования к работе различных типов органов инспекции)
В настоящем стандарте применены термины по ИСО 15189, а также следующие термины с соответствующими определениями.
Терминологические базы данных ИСО и МЭК доступны по следующим адресам:
- платформа онлайн-просмотра ИСО: http://www.iso.org/obp;
- электропедия МЭК: http://www.electropedia.org/.
3.1 аликвота (aliquot): Часть от большего количества гомогенного материала, при взятии которого допустима незначительная погрешность выборки.
Примечание 1 - Данный термин обычно применяют к жидкостям. Ткани гетерогенны и, как следствие, аликвота тканей не может быть взята.
Примечание 2 - Определение составлено на основе [28], [29] и [30].
3.2 температура окружающей среды (ambient temperature): Нерегулируемая температура окружающего воздуха.
3.3 аналит (analyte): Компонент, представленный в наименовании измеряемой величины.
[ИСО 17511:2003, 3.2, изменен - примечание удалено]
3.4 аналитические характеристики теста (методики) (analytical test performance): Точность, погрешность и чувствительность теста для измерения искомого аналита (см. 3.3).
Примечание 1 - Также могут применяться другие характеристики метода исследования, такие как надежность, повторяемость.
3.5 экстракорпоральное хранение (холодовая ишемия) (cold ischemia): Условия хранения образца от момента извлечения из организма до стабилизации или фиксации.
3.6 кДНК, комплементарная ДНК (cDNA, complementary DNA): Одноцепочечная ДНК, комплементарная исходной молекуле РНК, синтезированная в присутствии обратной транскриптазы и служащая в качестве матрицы для синтеза ДНК-копий.
[ИСО 17822-1:2014, 3.12]
3.7 диагноз (diagnosis): Заключение о состоянии здоровья или наличия заболевания по его признакам и (или) симптомам; процесс постановки диагноза может включать обследования и исследования (см. 3.10) для отнесения состояния пациента к отдельным и отличным друг от друга категориям или подклассам, что позволяет принимать медицинские решения относительно лечения и прогноза.
3.8 ДНК, дезоксирибонуклеиновая кислота (DNA, deoxyribonucleic acid): Полимер дезоксирибонуклеотидов, существующий в двухцепочечной (дцДНК) или одноцепочечной (оцДНК) форме.
[ИСО 22174:2005, 3.1.2]
3.9 ДНКаза (Dnase, deoxyribonuclease): Фермент, который расщепляет (гидролизует) фосфодиэфирные связи в ДНК (см. 3.8).
3.10 исследование, аналитический тест (examination, analytical test): Ряд операций, имеющий объектом определения значения или характеристики свойства.
Примечание 1 - Процессы, которые начинаются с изолированного аналита и включают в себя все виды тестирования параметров или химические манипуляции для количественного или качественного исследования
[ИСО 15189:2012, 3.7, изменен - примечания 1 - 3 удалены, к примечанию 1 был добавлен термин "аналитический тест" в качестве предпочтительного.]
3.11 формалин (formalin): Насыщенный водный раствор формальдегида, который на 100% содержит 37% формальдегида по массе (что соответствует 40% по объему).
3.12 фиксация формалином (formalin fixation): Обработка образца (исходного образца, первичной пробы) стандартным забуференным раствором формалина (см. 3.25) для стабилизации.
3.13 макроскопическое исследование (grossing): Осмотр образцов невооруженным глазом для получения диагностической информации и обработка для дальнейшего микроскопического исследования.
3.14 интерферирующие вещества (interfering substances): Эндогенные или экзогенные вещества в образце/пробе (см. 3.17/3.23) (например, применяющиеся для стабилизации раствора), которые могут изменить результат исследования.
3.15 заливка парафином (paraffin embedding): Процесс заливки образца ткани в парафиновый блок для создания твердой внешней матрицы для получения тонких срезов, пригодных для микроскопирования.
3.16 процесс подготовки, преаналитический этап, преаналитический рабочий процесс (pre-examination process, preanalytical phase, preanalytical workflow): Процесс, который в хронологическом порядке начинается с клинического запроса, включающий оценку направления, подготовку и идентификацию пациента, сбор образцов, транспортирование в клинико-диагностическую лабораторию или в лабораторию патологоанатомического отделения, выделение аналита и завершается началом аналитического исследования.
Примечание 1 - Преаналитический этап включает подготовительные процессы, влияющие на планируемое исследование.
[ИСО 15189:2012, 3.15, изменен - "преаналитический этап" был добавлен в качестве термина, добавлено примечание 1 и расширено определение.]
3.17 первичный образец, проба (primary sample, specimen): Дискретная порция биологической жидкости, выдыхаемого воздуха, волос или тканей, взятая для исследования (см. 3.10), изучения или анализа одной или нескольких величин или свойств, которые предполагается приписать целому.
[ИСО 15189:2012, 3.16, изменен - примечания 1 - 3 удалены.] <*>
--------------------------------
<*> В Российской Федерации для характеристики биологических жидкостей используют термин "первичная проба (проба)", для характеристики биологических тканей - термин "образец (часть образца)".
3.18 проверка квалификации (proficiency test): Оценивание характеристики функционирования участника по заранее установленным критериям посредством межлабораторных сличений.
[ИСО 17043:2010, 3.7, изменен - примечания 1 и 2 удалены.]
3.19 профиль РНК (RNA profile): Количество отдельных молекул РНК, которые присутствуют в образце и могут быть измерены без каких-либо потерь, ингибирования и интерференции.
3.20 РНК, рибонуклеиновая кислота (RNA, ribonucleic acid): Полимер рибонуклеотидов, существующий в двухцепочечной или одноцепочечной форме.
[ИСО 22174:2005, 3.1.3].
3.21 РНКаза, рибонуклеаза (RNase, ribonuclease): Фермент, который катализирует деградацию РНК.
3.22 комнатная температура (room temperature): Для целей настоящего стандарта температура в пределах от 18 °C до 25 °C.
Примечание 1 - Национальные правила или требования могут иметь различные определения.
3.23 проба (sample) <**>: Одна или несколько частей, которые взяты из первичного образца (см. 3.17).
--------------------------------
<**> В настоящем стандарте используется понятие фрагмент как часть образца вместо пробы как части первичной пробы.
[ИСО 15189:2012, 3.24, изменен - пример удален.]
3.24 стабильность (stability): Характеристика материала образца, описывающая его способность сохранять значения свойства в определенных пределах в течение определенного периода времени при хранении в установленных условиях.
Примечание 1 - Для процессов, описанных в настоящем стандарте, аналитом является выделенная РНК.
[Руководство ИСО 30:2015, 2.1.15, изменен - "стандартный образец" заменен на "материал образца", "характеристика" заменена на "характеристика, описывающая способность", также изменено примечание 1].
3.25 стандартный забуференный раствор формалина, нейтральный забуференный формалин; НБФ (standard buffered formalin solution, neutral buffered formalin, NBF): (см. 3.11) раствор формальдегида в воде с массовой долей 3,7% (соответствующий объемной доле 4%), буферизированный до pH 6,8 - 7,2.
Примечание 1 - Стандартные забуференные растворы формалина часто содержат небольшое количество метанола для замедления окисления и полимеризации формальдегида.
3.26 хранение (storage): Длительный период прерывания преаналитического этапа исследования образца или аналита, или его производных, таких как окрашенные препараты на стекле или образцы ткани в парафиновых блоках, в соответствующих условиях при условии сохранения свойств образца.
Примечание 1 - Долгосрочное хранение обычно осуществляется в лабораторных хранилищах, а также в биобанках.
3.27 гистологический процессор (tissue processor): Аппарат для автоматизированной проводки тканей, в которой происходит их фиксация, дегидратация и пропитывание парафином.
3.28 валидация (validation): Подтверждение посредством представления объективных свидетельств того, что требования, предназначенные для конкретного использования или применения, выполнены.
Примечание 1 - Термин "валидирован" используется для обозначения соответствующего статуса.
[ИСО 9000:2015, 3.8.13, изменен - примечания 1 и 3 удалены.]
3.29 интракорпоральная ишемия (warm ischemia): Состояние ткани или органа во время хирургических или диагностических манипуляций, уже лишенной нормального кровоснабжения, до момента извлечения из организма.
3.30 рабочий процесс (workflow): Последовательные действия, необходимые для выполнения задачи.
3.31 гомогенный (homogeneous): Однородный по структуре и составу.
Общие сведения о системах менеджмента качества медицинских лабораторий и, в частности, о сборе, приеме и обработке образцов (включая предотвращение вторичной контаминации) приведены в ИСО 15189:2012, 4.2, 5.4.4, 5.4.6 или ИСО/МЭК 17020:2012, раздел 8 и 7.2. Требования к лабораторному оборудованию, реагентам и исходным материалам - в соответствии с ИСО 15189:2012, 5.3, ИСО 15189:2012, 5.5.1.2 и 5.5.1.3, а также ИСО/МЭК 17020:2012, 6.2.
Все этапы диагностического рабочего процесса могут влиять на конечный результат аналитического исследования. Таким образом, весь рабочий процесс, включая стабильность биомолекул и условия хранения образцов, должен быть проверен и валидирован. Этапы рабочего процесса, которые не всегда поддаются контролю (например, интракорпоральная ишемия), должны быть задокументированы. Должна быть проведена оценка риска неконтролируемых этапов, включая их потенциальное влияние на результаты аналитических исследований, и приняты меры по предотвращению последствий для обеспечения достоверных результатов аналитических тестов.
Поэтому до или во время разработки аналитического теста его следует детализировать и обеспечить, чтобы профиль(и) РНК, предназначенный(е) для исследования, не изменялся(ись) и не подвергался(ись) риску влияния на эффективность аналитического теста (например, путем проведения эксперимента или исследования с высокой динамичностью; см. также приложение A).
До фиксации тканей в стандартном забуференном растворе формалина профиль(и) РНК может(гут) существенно изменяться в зависимости от продолжительности интракорпоральной ишемии, экстракорпорального хранения и температуры до начала фиксации в формалине (например, индукция генов, снижение регуляции генов, деградации РНК). Кроме того, эти изменения могут варьировать в разных тканях доноров/пациентов.
Как правило, чем больше продолжительность интракорпоральной ишемии, экстракорпорального хранения и чем выше температура окружающей среды до фиксации образца тканей, тем больше риск того, что может произойти изменение профиля РНК.
Примечание - Интракорпоральная ишемия может приводить к более выраженным изменениям профилей РНК, чем послеоперационное экстракорпоральное хранение [7], [8]. Профили РНК также могут варьировать в зависимости от происхождения и вида тканей, основного заболевания, типа хирургического вмешательства, препаратов, вводимых для обезболивания или лечения сопутствующего заболевания, а также от различных условий окружающей среды после удаления тканей из организма.
Поскольку интракорпоральную ишемию сложно стандартизировать, ее продолжительность должна быть задокументирована. Когда невозможно избежать экстракорпорального хранения (например, транспортирования в лабораторию до фиксации формалином), должна быть задокументирована продолжительность и температура среды, окружающей контейнер. Если образец транспортируют в другое учреждение в нефиксированном виде, то должны быть задокументированы дата и время взятия, продолжительность и условия транспортирования.
Кроме того, сама фиксация ткани в формалине, а также последующая продолжительность и температура хранения парафиновых блоков вызывают модификации биомолекул и приводят к неоптимальным аналитическим характеристикам тестирования РНК, выделенной из таких образцов (см. A.2.1 и A.2.2). Это следует учитывать при контроле качества и применении молекулярно-биологических тестов, особенно в контексте исследований экспрессии генов [9] - [12]. Эти воздействия могут ограничивать размер фрагмента амплифицируемой целевой кДНК и/или праймеров, используемых для амплификации. Оптимизация аналитических тестов для тканей в парафиновых блоках или применение альтернативных стандартному забуференному раствору формалина не образующих поперечных связей альтернатив являются вариантами минимизации проблем, возникающих при молекулярно-биологических исследованиях этого вида биоматериала [13], [14].
Инструкции по технике безопасности при транспортировании и обработке должны разрабатываться и соблюдаться в соответствии с ИСО 15189:2012, 5.2.3 и 5.4.5, а также ИСО 15190.
На преаналитическом этапе исследования должны быть приняты меры предосторожности, чтобы избежать кросс-контаминации между различными образцами, например, путем использования одноразового расходного материала (пластика), когда это возможно, или процедур, соответствующей очистки при обработке различных образцов.
Если медицинское изделие для диагностики in vitro, изготавливаемое в промышленных условиях, находящееся в обращении, не используется в соответствии с инструкциями производителя, ответственность за его использование и эксплуатационные характеристики возлагается на пользователя.
При взятии образца следует учитывать требования (например, особенности заболевания, размер образца) для предполагаемого молекулярного исследования (также см. раздел 6).
См. также ИСО 15189:2012, 5.4.4.
Документация должна содержать идентификационный номер, который может быть представлен в виде кода <*>. А также включать в себя, но не ограничиваться перечисленным:
--------------------------------
<*> В Российской Федерации действует законодательство о защите персональных данных, которое в ряде случаев может накладывать ограничение на использование персональных данных донора/пациента в качестве идентификатора, в связи с чем рекомендуется указывать идентификатор пациента/донора в деперсонализированном виде.
a) сведения о соответствующем состоянии здоровья донора/пациента (например, здоровый, наличие заболевания, сопутствующие болезни, демографические данные [например, возраст и пол]);
b) информацию о проводящемся медицинском лечении и специальной подготовке перед забором тканей (например, анестетики, медикаменты, хирургические или диагностические процедуры);
c) соответствующее согласие от донора/пациента образца.
В документации в числе прочего должна быть зафиксирована следующая информация:
a) интракорпоральная ишемия - время в период оперативного вмешательства от момента перевязки/пережатия сосудов (обычно время пережатия артерии) до извлечения ткани из организма;
b) время и дата удаления ткани из организма и способ ее удаления (например, толстоигольная биопсия; резекция; инструмент/прибор, используемый для взятия ткани);
c) описание типа и происхождения ткани, состояние ткани (например, пораженная, не затронутая болезнью), включая ссылки на любую маркировку, нанесенную хирургом, рентгенологом или патологоанатомом в операционной или за ее пределами;
d) этапы документирования, описанные в 6.2, если фиксация формалином начинается вне лаборатории, а также этапы документирования, описанные в 6.3, если макроскопическая оценка образца и отбор образца(ов) (вырезка) также проводится вне лаборатории.
В документации также должно быть указано лицо, ответственное за сбор образцов <*>.
--------------------------------
<*> Лицо, ответственное за обеспечение наличия контейнера и фиксирующего раствора, маркировку и транспортирование образцов в патологоанатомическое отделение.
Необходимо выполнить следующие действия:
a) подтвердить документами любое добавление или изменение образца после удаления из тела (например, маркировка для ориентации образца [например, маркировка чернилами, швы, надрез(ы)]);
b) выбрать тип контейнеров и упаковок (например, термоконтейнер, коробка для хранения и транспортирования, вакуумная упаковка) в соответствии с применяемыми правилами перевозки;
c) выбрать и использовать процедуры по стабилизации (например, методы охлаждения) для транспортирования.
Примечание 1 - Случайное замораживание ткани (например, при неправильном использовании способов охлаждения) может привести к деградации РНК после ее оттаивания. Это также может повлиять на морфологическую характеристику.
Примечание 2 - Эта процедура может быть пропущена, если образец переносят непосредственно в стандартный забуференный раствор формалина (см. 6.2 и следует обратить внимание на важность объема фиксатора и для обеспечения пропитки ткани фиксатором);
d) промаркировать контейнер [например, регистрационный номер, штрих-код (1D или 2D), тип образца, количество и ткань органа происхождения] и дополнительно задокументировать [информация, указанная в 5.1.2, 5.1.3, 5.1.4 a) - c)].
Несколько образцов от одного и того же пациента/донора, имеющие сходные характеристики (макроскопический вид, тип ткани, характер заболевания и анатомическое расположение), могут быть размещены в одном контейнере/отделе контейнера.
Образцы должны быть без промедления перенесены в контейнер после удаления из тела. Контейнер следует хранить на влажном льду или при температуре от 2 °C до 8 °C, чтобы свести к минимуму изменения профиля РНК.
Температура окружающей среды контейнера во время экстракорпорального хранения (например, температура в разных помещениях, транспортирование) должна быть задокументирована. Если температура не может быть измерена, то диапазон температур должен быть оценен по классификации как температура окружающей среды, комнатная температура или температура от 2 °C до 8 °C.
Лаборатория в сотрудничестве с хирургическим отделением на основе имеющейся процедуры разрабатывает и согласовывает протокол <**> транспортирования образца.
--------------------------------
<**> Дополнительная информация к стандартной операционной процедуре по транспортированию образцов.
Контроль температуры должен проводиться соответствующим образом.
Если образец еще не помещен в стандартный забуференный раствор формалина, его следует без промедления транспортировать на влажном льду или при температуре от 2 °C до 8 °C, чтобы свести к минимуму изменения в профиле РНК.
Примечание - Имеются данные о том, что стабилизация профилей РНК в тканях на влажном льду может быть улучшена в будущем при использовании вакуумных пластиковых пакетов [15].
Если образец уже помещен в стандартный забуференный раствор формалина вне лаборатории, то температура во время транспортирования не должна превышать комнатную.
Соответствие условий транспортирования разработанному протоколу оформляется документально. Любые отклонения от протокола должны быть задокументированы.
При приеме образца должны быть задокументированы: фамилия, имя, (отчество) лица, принявшего образец; дата и время доставки образца, а также его состояние (в частности, маркировка, условия транспортирования, включая температуру, вид ткани и количество образцов (фрагментов), нарушение целостности упаковки) при получении. Любое отклонение от разработанного протокола транспортирования (см. 5.2) должно быть задокументировано.
Примечание - Температурные условия во время транспортирования могут влиять на профиль РНК и ее качество.
Правильность маркировки образца должна быть проверена. Маркировка должна включать в себя клиническую информацию (см. 5.1.1 и 5.1.3) об образце, номер медицинской карты (истории болезни) и/или идентификационный номер образца, имя пациента, дату рождения пациента.
Эта процедура применима к образцу, и в случае, если отобраны несколько фрагментов образца, то ко всему первичному образцу.
В качестве фиксатора используют стандартный забуференный раствор формалина.
Примечание - В некоторых странах стандартный забуференный раствор формалина называют нейтральным забуференным формалином (NBF).
Значение pH стандартного забуференного раствора формалина следует проверять не реже одного раза в неделю и перед использованием или в начале использования каждой новой партии, так как формалин не стабилен (например, формальдегид имеет тенденцию к окислению до муравьиной кислоты) [16].
Необходимо выполнить следующие действия:
a) ознакомиться с требованиями по технике безопасности и паспортом безопасности (SDS) при обращении со стандартным забуференным раствором формалина;
Примечание - Формальдегид является канцерогенным и опасным веществом, которое проникает в ткани и химически модифицирует биомолекулы.
b) задокументировать время помещения образца ткани в стандартный забуференный раствор формалина.
Примечание - Общая продолжительность фиксации формалином может оказать влияние на дальнейшие исследования, например на иммуногистохимические методы, а также на молекулярно-биологические исследования нуклеиновых кислот [12]; см. также A.2.1 и A.2.2. Оптимальная продолжительность фиксации формалином может варьироваться в зависимости от вида и размера ткани. Для больших фрагментов органов, полученных в ходе оперативных вмешательств, например, резекции желудка, до начала процесса макроскопического исследования, может произойти неравномерная фиксация по причине медленного проникновения формальдегида с поверхности внутрь ткани.
Пример - Для фрагментов ткани толщиной 5 мм продолжительность фиксации составляет от 12 до 24 ч, обеспечивая надлежащее проникновение и фиксацию. См. также 6.8.2;
c) выбрать контейнер(ы):
1) вместительность контейнера должна быть такой, чтобы образец можно было полностью погрузить в стандартный забуференный раствор формалина. Минимальное стандартное соотношение забуференного раствора формалина к ткани зависит от исследуемой ткани, но должно быть не менее 10:1 (объем к объему). Для обеспечения полной формалиновой фиксации более крупных фрагментов следует выполнить специальную обработку тканей, такую как разрез(ы) солидных органов или вскрытие полых органов.
Более крупные образцы, возможно, потребуется разделить пополам и выбрать соответствующие части для обеспечения надлежащего проникновения фиксатора. В этом случае стандартный забуференный раствор периодически меняют <*>,
--------------------------------
<*> Замена раствора не менее одного раза в 10 - 12 ч.
2) при использовании контейнеров, предварительно заполненных стандартным забуференным формалином, необходимо соблюдать инструкцию производителя по его применению,
3) контейнер должен обеспечивать надежное закрытие;
d) промаркировать контейнер [например, с использованием самоклеящихся этикеток, рукописного текста, RFID-меток (транспондеров), использующих радиочастотные сигналы, предварительно маркированных контейнеров, штрих-кодов], чтобы должным образом обеспечить надлежащую прослеживаемость образцов. Таким образом, маркировка контейнера должна содержать минимальную информацию:
1) идентификатор (ФИО) <**> пациента/донора, идентификация образца, дату взятия образца, информация может быть представлена в виде уникального идентификатора (кода) для каждого(й) образца,
--------------------------------
<**> В Российской Федерации присвоение человеку пожизненного идентификационного номера не предусмотрено законодательством.
2) основную информацию об образце, например, вид ткани, состояние ткани и связанную с этим дополнительную информацию, такую как поражена ли ткань (например, опухолью) или нет, если только система отслеживания не может предоставить эту информацию в сочетании с идентификацией образца, использованной в перечислении 6.2d) 1),
3) уникальную нумерацию каждого контейнера, которая может быть включена в перечисление 6.2d) 1);
e) задокументировать вид, количество образцов или фрагментов и описать образцы.
Следует учитывать, что при некоторых патологических состояниях, таких как опухоли, молекулярные признаки могут присутствовать в образце ткани неравномерно. Поэтому важно, чтобы фрагмент исследуемого образца ткани, используемый для молекулярно-биологического исследования, был оценен патологоанатомом <***> (см. 6.3). В данной ситуации следует задокументировать, какие особенности заболевания на самом деле отражены в образце ткани, используемом для молекулярно-биологического исследования (например, разные молекулярные механизмы могут быть активированы в центре и в области прорастания опухоли, а также опухоли могут состоять из участков с различной степенью дифференцировки).
--------------------------------
<***> В Российской Федерации согласно номенклатуре должностей медицинских работников, указанная специальность носит наименование врач-патологоанатом.
Оценка и внесение в протокол информации о патологических изменениях в ткани и выбор образца(ов) в процессе вырезки для дальнейшего исследования должна осуществляться квалифицированным патологоанатомом или другим врачом под непосредственным наблюдением и ответственностью патологоанатома.
Могут применяться национальные правила.
Варианты выбора фрагментов образца(ов) для исследования РНК:
a) выбор подходящих фрагментов образца для гистопатологических и молекулярно-биологических исследований, а также для дальнейших исследовательских целей должен осуществляться под контролем квалифицированного патологоанатома для обеспечения того, чтобы отбор образцов для исследования РНК не ставил под угрозу гистологическое исследование. Для молекулярно-биологического исследования следует выбирать подходящие фрагменты ткани, по возможности избегая потенциально кровоточащих и некротических участков. При определенных особенностях заболевания на клеточном уровне в качестве выбора или дополнения должна быть использована микродиссекция.
Примечание 1 - В зависимости от разработанных стандартных процедур <*> выбор соответствующих фрагментов образца также может проводиться вне лаборатории, например, в операционной <**> (см. 5.1.3).
--------------------------------
<*> В соответствии с ГОСТ Р ИСО 15189, в лаборатории должны быть разработаны и задокументированы стандартные процедуры.
<**> В Российской Федерации вырезку фрагментов из образцов тканей проводят в специально приспособленных для этих целей помещениях патологоанатомического отделения.
В рамках макроскопической оценки образца ткани, взятого при хирургическом вмешательстве, до и/или после фиксации формалином должна быть проверена клиническая информация (см. 5.1.2 и 5.1.3) об образце (например, вид, размер, количество фрагментов), а также номер истории болезни (медицинской карты) и/или номер исследования и/или ФИО пациента, дата рождения пациента и вид ткани. Образец ткани и все полученные результаты должны быть описаны надлежащим образом в соответствии с клиническими рекомендациями профильных медицинских ассоциаций (обществ), например, общества патологоанатомов, и в соответствии с клинической информацией и вопросами, например, записью о пациенте или запросом клинициста. Должна быть описана анатомическая локализация исследуемого образца, объем оперативного вмешательства и другие важные моменты, если это необходимо и полезно для последующей микроскопической оценки; могут быть сделаны фотографии. Для микроскопического исследования при вырезке должны быть взяты репрезентативные фрагменты ткани в соответствии с клиническими рекомендациями профильных медицинских ассоциаций (обществ) по исследованию конкретных органов/заболеваний.
Примечание 2 - Вышеописанная оценка или документация могут быть также выполнены вне лаборатории, например, в операционной;
b) если образец ткани был удален из тела без необходимости последующего проведения гистологической диагностики, то составление сопроводительной документации на этот образец, а также оценка, выбор и описание его фрагментов кроме патологоанатомов могут проводить другие квалифицированные медицинские специалисты.
Документация может включать в себя фотографии. Размер образцов должен соответствовать размеру гистологической кассеты (максимальный размер 3 см x 2 см x 0,5 см). Если образец еще не зафиксирован надлежащим образом, последующая фиксация может быть выполнена в пределах гистологической кассеты. Каждая гистологическая кассета должна быть промаркирована уникальным идентификатором (например, штрих-кодом, номером, аббревиатурой ткани). Если одна гистологическая кассета содержит несколько фрагментов одного и того же образца, имеющих различные характеристики (например, вид ткани, состояние заболевания, локализацию), то это должно быть задокументировано.
Время, когда фрагмент, взятый из образца, переносится в гистологическую кассету, должно быть задокументировано.
Без промедления, т.е. предпочтительно в течение 30 мин, образец помещают либо в стандартный забуференный раствор формалина, либо, если он уже зафиксирован, в спиртосодержащий раствор (например, 70% этанол) для дальнейшей заливки в парафин.
Общая продолжительность фиксации формалином и температура в процессе фиксации должны быть задокументированы.
Замороженные образцы или фрагменты образца (например, после срочного интраоперационного исследования с использованием криостата) могут быть в последующем фиксированы в стандартном забуференном растворе формалина для дальнейшей заливки в парафин.
Общая продолжительность фиксации формалином должна быть задокументирована.
В случае, когда ткань в парафиновом блоке была получена из предварительно замороженного образца, это должно быть задокументировано.
Декальцинация приводит твердый состав костей к мягкости парафина. Образцы должны быть декальцинированы, например, с помощью EDTA (этилендиаминтетрауксусной кислоты). Процедура декальцинирования должна быть задокументирована.
После фиксации образца или его фрагмента в стандартном забуференном растворе формалина образец помещают в спиртосодержащий раствор гистологического процессора; этот этап должен быть задокументирован, отмечено время, когда происходит помещение в спиртосодержащий раствор гистологического процессора. Дальнейшая обработка должна проводиться в гистологическом процессоре в соответствии с требованиями инструкции производителя.
Примечание 1 - Во время обработки ткань обезвоживается, при этом вода заменяется парафином. Остаточная вода может влиять на качество и стабильность тканей, в том числе РНК, при хранении [17].
Замена всех реагентов должна проводиться на регулярной основе в соответствии с инструкциями производителя.
Продолжительность и температура пропитки парафином могут влиять на целостность биомолекул в фиксированной ткани. Для заливки тканей следует использовать парафин с установленным в локальных процедурах составом и низкой температурой плавления. Продолжительность и температуру каждого этапа заливки определяют в соответствии с инструкциями производителя или СОПом (стандартной операционной процедурой), утвержденной в лаборатории.
Примечание 2 - Оптимальные температуры плавления парафина варьируются в диапазоне от 50 °C до 56 °C.
Длительность и температура хранения (обычно это температура окружающей среды в хранилищах биоматериалов) влияют на стабильность РНК в ткани в парафиновых блоках [18] (см. также A.2.4).
Деградация РНК, происходящая при хранении, может оказывать влияние на правильность и надежность результатов тестовых исследований [19].
Ткань в парафиновых блоках должна храниться в сухом помещении при комнатной температуре или предпочтительно при более низкой температуре.
Примечание 1 - Более низкие температуры хранения (например, от 2 °C до 8 °C, минус 20 °C) замедляют процесс деградации РНК [9], [18]. См. также A.2.4.
Примечание 2 - Если ткань в парафиновых блоках хранится во влажном помещении, деградация РНК может усиливаться, а также может возникнуть рост грибков и бактерий.
Для экстракции РНК срезы ткани в парафиновых блоках должны быть свежеприготовленными. Если необходимо хранить такие срезы, то период хранения должен быть максимально коротким и осуществляться в сухом и прохладном месте (при температуре от 2 °C до 8 °C) или даже при более низких температурах (например, ниже или равной минус 20 °C).
Не следует использовать окрашенные срезы, т.к. процедуры окрашивания, могут отрицательно повлиять на качество РНК.
Должна быть создана система для длительного архивирования тканей в парафиновых блоках. Место хранения, температура хранения и извлечение любого образца из принятой в лаборатории системы хранения, его использование и возвращение в архив должны быть задокументированы.
Гистологическая характеристика клеточного состава и патологического состояния образца или его фрагмента должна быть выполнена [например, на срезах окрашенных гематоксилином/эозином (H&E)] в соответствии с международной патогистологической классификацией (например, Классификация Опухолей WHO/IARC [23]). Если образец или его фрагменты используют для молекулярно-биологических исследований, часть клеток-мишеней должна быть оценена до экстракции РНК. Количество клеток-мишеней должно быть достаточным для проведения исследования. Если образец или его фрагмент не используется для диагностического исследования, то рекомендуется применять тот же способ.
Фиксация формалином приводит к ковалентным модификациям РНК путем формирования монометиловых групп [10]. Фиксация приводит к кросс-сшивкам между РНК и белками. Формальдегид приводит к химическим модификациям, которые мешают последующему исследованию с использованием ферментов, такому как RT-PCR.
Требования и рекомендации:
a) оптимальная продолжительность фиксации зависит от типа и толщины ткани. Длительная фиксация ткани приводит к усиленным модификациям РНК, и этого следует избегать. При толщине ткани до 5 мм продолжительность фиксации должна составлять от 12 до 24 ч в стандартном забуференном растворе формалина [20];
b) исходным материалом для очистки РНК должны быть свежеприготовленные срезы парафиновых блоков толщиной до 10 мкм (μm), полученные вручную на микротоме [21], с использованием лазерного микродиссектора или тканевые ядра [22] [например, тканевые микрочипы (TMA)]. Лаборанты-гистологи должны носить перчатки. Соответствующие части микротома, включая многоразовое лезвие, должны быть очищены после резки каждого парафинового блока. Следует рассмотреть возможность использования новых одноразовых лезвий для микротома, чтобы избежать кросс-контаминации;
c) для идентификации, выбора и контроля извлечения фрагментов ткани из парафиновых блоков для последующей экстракции РНК следует использовать окрашенные гематоксилином/эозином (H&E) препараты стекол путем параллельного сравнения. Там, где предполагается экстракция РНК из окрашенных препаратов, раствор красителя должен быть свежеприготовленным, с использованием реагентов без РНКазы, чтобы свести к минимуму влияние окрашивания на качество РНК.
Примечание - Окраска ткани может ухудшить качество и характеристики РНК для последующих исследований;
d) ДНКаза (см. 6.8.4.2), другие реагенты и расходные материалы, контактирующие с РНК, не должны содержать РНКаз;
e) для всех процедур экстракции РНК из тканей в парафиновых блоках следует предпринять меры (например, расщепить пептидную связь между аминокислотами в белках с помощью протеиназы К и нагревания) для запуска обратного процесса модификаций, произошедших под влиянием формальдегида, таких как кросс-сшивки нуклеиновые кислоты и перекрестные связи белка с РНК, без дальнейшей деградации РНК;
f) выделенная РНК должна храниться на влажном льду при температуре от 2 °C до 8 °C (например, охлаждающий блок) и должна быть немедленно подвергнута исследованию;
g) во избежание кросс-контаминации продуктами амплификации (ампликонами), экстракцию РНК не следует проводить в той же зоне, что и другие этапы исследования, за исключением использования закрытых систем.
Если РНК извлекают из архивированных парафиновых блоков, то их следует обрезать, удалив первые срезы, прежде чем брать срезы для экстракции РНК, т.к. внешние слои могут содержать деградированную РНК. Возможно потребуется дополнительно обрезать блоки, чтобы увеличить объем ткани, относящейся к исследованию.
Если есть сомнения в правильности идентификации образца, то проводят проверку идентификации.
Экстракция РНК является ключевым этапом в диагностическом процессе, на который следует обратить особое внимание при валидации всего процесса.
Эффективность экстракции РНК должна быть проверена с помощью программы тестирования эффективности экстракции РНК.
При использовании наборов реагентов, находящихся в официальном обращении <*>, предназначенных для выделения РНК из тканей в парафиновых блоках, должны соблюдаться инструкции производителей.
--------------------------------
<*> Допуском в обращение является выдача регистрационного удостоверения Федеральной службой по надзору в сфере здравоохранения.
Если промышленно выпускаемые наборы реагентов используют не по методике, указанной производителем, но методика для определенных целей пользователем валидирована, то должна быть подготовлена инструкция, которой необходимо следовать.
Если лаборатория использует свой собственный протокол (методику), не связанный с инструкцией производителя, то должна быть проведена валидация и верификация, подтверждающая его пригодность для данных условий и применения для достижения поставленных целей, а также должны быть написаны и использованы инструкции пользователя.
Использование наборов реагентов разных производителей может привести к ухудшению результатов, т.к. эти продукты могут быть несовместимы. Они должны использоваться для диагностического тестирования только тогда, когда совместное использование компонентов было проверено и показана их удовлетворительная работа.
Процедуры экстракции РНК для срезов ткани в парафиновых блоках должны содержать следующие этапы:
a) удаление парафина из свежеподготовленных срезов ткани в парафиновых блоках.
Примечание 1 - Это может быть сделано, например, путем обработки ксилолом или его аналогами с последующей промывкой полученного осадка этанолом.
Примечание 2 - Можно использовать готовые серийно выпускаемые депарафинизирующие растворы, что избавляет от необходимости получения осадка;
b) ресуспендирование срезов в лизирующем буфере с последующим расщеплением при помощи, например, протеиназы К для удаления кросс-сшивок белков и высвобождения РНК из среза. Если в протокол включен этап нагревания, то лизирующий буфер не должен содержать хаотропные соли в высокой концентрации. Сочетание высокой концентрации хаотропных солей и повышенных температур может привести к деградации РНК.
Примечание - Продолжительность инкубации может варьироваться от 10 мин до 18 ч (в зависимости от вида и размера ткани) при температуре от 37 °C до 60 °C.
Рекомендуется оптимизировать лизирующий буфер для этапа обработки протеиназой К [10];
c) экстракция РНК из лизата может быть выполнена методом моно- или двухфазной экстракции с использованием фенола/хлороформа либо методом сорбции с использованием кремниевой силики [10];
d) стадия обработки ДНКазой или другие меры, направленные на минимизацию содержания ДНК в выделенной РНК, должны быть включены в процедуру экстракции РНК. ДНКаза, другие реагенты и расходные материалы, которые вступают в контакт с образцом, не должны содержать РНКазу.
Для экстракции РНК из очень малого числа клеток, полученных при извлечении единичных клеток с помощью лазерной микродиссекции, могут потребоваться различные специальные процедуры. Для таких чувствительных процедур рекомендуется следить за актуальной научной литературой, проверять и верифицировать процедуру экстракции перед использованием.
Количество и качество РНК должны проверяться в соответствии с инструкциями производителя диагностического набора или с помощью общепринятых физических, химических и биохимических процедур [10], [11]. Они могут включать в себя один или более нижеуказанных методов, в зависимости от специфики исследования:
a) количественное определение путем измерения величины поглощения при длине волны A260 нм или спектрофлуориметрией;
b) тест для оценки чистоты путем измерения отношения поглощения [например, при длинах волн 260 и 280 нм (A260/A280)];
c) тест на оценку целостности РНК и ее пригодность для амплификации (например, с помощью электрофореза, хроматографии, молекулярно-биологических методов, таких как 3'/5' тест или соотношение длин различных ампликонов [10], или микрофлюидные методы определения качества коэффициентов [например, алгоритм оценки целостности РНК (RIN), индикатор качества РНК (RQI)]) [12], [25], [26];
d) тест на присутствие интерферирующих веществ (с использованием экзогенных контролей [добавление РНК и ДНК контролей] или оценка формы кривой, полученной в ходе количественной qPCR, по признаку присутствия аномалий [26], [27] или использование эндогенной РНК для теста ингибирования RT-PCR путем добавления увеличивающихся объемов элюата при исследовании).
Для качественных исследований, когда оценивается наличие/отсутствие РНК, достаточно методов, приведенных в 6.9 a) и b), для количественных исследований, когда оценивается экспрессия генов, могут потребоваться указанные в 6.9 от a) до d).
Примечание 1 - Фиксация формалином оказывает негативное влияние на целостность РНК и на надежность измерений качества РНК. Химические изменения, вызванные формальдегидом, не могут быть достоверно выявлены с помощью применяемого при контроле качества электрофоретического определения длины фрагментов РНК, поскольку они мешают ферментативному исследованию.
Примечание 2 - Химические изменения, вызванные формальдегидом, не отражаются при расчете значения RIN. Таким образом, оценка целостности сама по себе не является достаточной для определения пригодности РНК тканей из парафиновых блоков для количественной RT-PCR.
Для длительного хранения выделенную РНК, как правило, замораживают. Однако для сохранения РНК могут быть использованы и другие проверенные методы архивирования.
При длительном хранении выделенная РНК должна быть разделена на аликвоты, во избежание повторного замораживания-размораживания или повторного восстановления из других систем архивирования. Аликвоты не следует дополнительно разбавлять, чтобы избежать снижения качества РНК.
Для небольших количеств РНК следует использовать пробирки для хранения с пониженной адсорбцией нуклеиновых кислот на их стенках.
Следует избегать непреднамеренной сублимационной сушки, выделенной РНК при длительном хранении из-за испарения воды, т.к. РНК может деградировать, а извлечение из пробирки для хранения может быть затруднено или даже невозможно. Поэтому следует использовать соответствующие емкости для хранения, такие как криогенные флаконы, чтобы избежать испарения воды при длительном хранении. Тип емкости для хранения и тип крышки должны быть задокументированы.
Для длительного хранения должен применяться валидированный процесс организации и уникальной маркировки пробирок для хранения, содержащих выделенную РНК или подготовленные из нее аликвоты.
Должна быть обеспечена прослеживаемость, например, с помощью считываемых RFID кодов, 1D- или 2D-штрих-кодов или предварительно подготовленных пробирок с этикетками для хранения с уникальными кодами, предоставленными производителями и пригодными для низко-температурного хранения.
Необходимо следовать инструкции производителя набора реагентов для экстракции РНК по хранению выделенной РНК до проведения исследования. Если инструкции производителя являются более строгими, то должны соблюдаться они.
Если отсутствует инструкция производителя, нет информации от экспертов регулирующего органа и нет валидированного протокола лаборатории по использованию набора реагентов для экстракции РНК, то выделенная РНК должна быть проанализирована немедленно. В тех случаях, когда выделенная РНК не может быть проанализирована немедленно, лаборатория должна иметь проверенные процедуры, включающие использование соответствующей среды для хранения (например, свободную от РНКаз воду), чтобы принять решение как хранить выделенную РНК перед аналитической фазой.
В зависимости от процедуры экстракции РНК и качества получаемого элюата РНК, хранение на влажном льду короткий период времени (например, 1 ч) может быть целесообразным при определенных обстоятельствах.
Для длительного хранения РНК следует элюировать в соответствующем буфере и хранить при температуре ниже или равной минус 70 °C; см. также A.2.4. Также можно использовать и другие проверенные способы методы архивирования [23].
Примечание - Некоторые процедуры экстракции РНК могут предусматривать ее хранение в диапазоне температур от минус 20 °C до минус 70 °C.
Приложение A
(справочное)
--------------------------------
<1> Исследование в рамках проекта EU FP/SPIDIA, финансируемого седьмой структурной программой Европейского Союза [FP7/2007 - 2013] в рамках соглашения N 222916.
A.1 Программа испытаний
РНК из разных фиксированных формалином и залитых парафином (FFPE) образцов печени человека были использованы для оценки влияния фиксации формалином, времени фиксации и хранения блоков на течение реакций, таких как синтез комплементарной ДНК (кДНК) и обратной транскрипции количественной ПЦР (RT-qPCR) и его последствия для контроля качества в сравнении с замороженными фрагментами этих же образцов. Полученные данные показали, что фиксация формалином приводит к менее эффективному синтезу кДНК и RT-qPCR, а также вводит основные генные транскрипты в вариации генов-транскриптов. Эти различия не могут быть надежно обнаружены при контроле качества с использованием обычных методов электрофореза или спектрофотометрии, но могут быть обнаружены с помощью анализа RT-qPCR, основанного на оценке длины различных ампликонов и анализе эффективности синтеза кДНК <2>. Кроме того, деградация РНК в зависимости от условий хранения и времени фиксации наблюдалась как в образцах человека, так и при использовании модели на животных.
--------------------------------
<2> LIBUs J., SToRCHovA H. Количественное определение кДНК, с применением обратной транскрипции тотальной РНК, обеспечивает альтернативный инструмент для качественной нормализации RT-PCR. Биотехника. 2006, Aug 41 (2), стр. 156, 158, 160.
A.2 Результаты
A.2.1 Временная зависимость целостности РНК
Фиксация формалином нарушает целостность РНК в зависимости от времени, как показано на рисунках A.1 и A.2.

X - длина ампликона в п.о.; Y - значение Ct (порог = 0,2); 1 - 4 ч; 2 - 8 ч; 3 - 12 ч; 4 - 24 ч; 5 - 48 ч; 6 - 72 ч; 7 - 96 ч; 8 - 120 ч; 9 - замороженный фрагмент образца ткани
Рисунок A.1 - Амплификация RT-qPCR фрагментов гена GAPDH различной длины (печени человека), фиксированные в стандартном забуференном растворе формалина в течение различных периодов времени до заливки парафином
Серия фрагментов образца печени человека фиксировали в течение различных периодов времени от 4 до 120 ч в стандартном забуференном растворе формалина перед заливкой парафином. Аналогичные значения показателя целостности РНК (RIN) были получены для всех временных точек фиксации в диапазоне от 2,1 до 2,7. Однако амплификация RT-qPCR фрагментов различной длины гена "домашнего хозяйства" GAPDH выявила повышение значений пороговых циклов (Ct) для различных ампликонов, коррелирующих со временем фиксации. Длительная фиксация вызывала более крутой наклон генерируемых кривых, что указывало на повышенную фрагментацию и делала невозможным амплификацию более длинных фрагментов.
A.2.2 Влияние фиксации формалином на эффективность синтеза кДНК
Синтез кДНК из РНК, выделенной из замороженного фрагмента ткани печени человека (см. рисунок A.2), находился в прямой корреляционной зависимости с количеством РНК-матрицы. Такая корреляции ожидаема. Из РНК, выделенной из ткани в парафиновых блоках (см. рисунок A.2), получалось лишь небольшое количество кДНК даже в случае, когда было взято большее количество РНК-матрицы. Планки погрешностей на рисунке A.2 иллюстрируют величину стандартного отклонения среднего количества кДНК, суммированного по значениям трех повторов.

X - матричная РНК в мкг; Y - относительное количество кДНК; 1 - замороженный фрагмент образца ткани печени; 2 - образец ткани печени в парафиновых блоках
Рисунок A.2 - Накопление выделенной кДНК из замороженного фрагмента и образцов ткани печени человека в парафиновых блоках в корреляции с количеством матричной РНК
A.2.3 Фиксация и хранение привнесенных основных ген-генных вариантов в RT-qPCR
Образцы печени человека замораживали или фиксировали в стандартном забуференном растворе формалина и заливали парафином. РНК экстрагировали из тканей в разные моменты времени (через 6 мес и 1 год). Сравнение результатов RT-qPCR для 92 генов из замороженных фрагментов и образцов ткани печени человека в парафиновых блоках выявило среднюю разницу значений Ct в диапазоне от четырех (6 мес) до восьми циклов (1 год), увеличивающуюся со временем хранения при комнатной температуре (см. рисунок A.3). Кроме того, бóльшие вариации транскриптов генов наблюдались в РНК всех образцов ткани в парафиновых блоках по сравнению с замороженными фрагментами. Это различное и специфичное для генов проявление РНК, выделенной из образцов ткани в парафиновых блоках, может серьезно повлиять на результаты и интерпретацию исследований экспрессии генов.

X - различные исследуемые гены; Y - значение Ct; 1 - замороженный фрагмент образца ткани печени; 2 - образец ткани печени в парафиновом блоке через 6 мес; 3 - образец ткани печени в парафиновом блоке через 1 год
Рисунок A.3 - Значения Ct для 92 генов из замороженных фрагментов и образцов ткани печени человека в парафиновых блоках
A.2.4 Влияние условий хранения образцов ткани в парафиновых блоках на целостность РНК
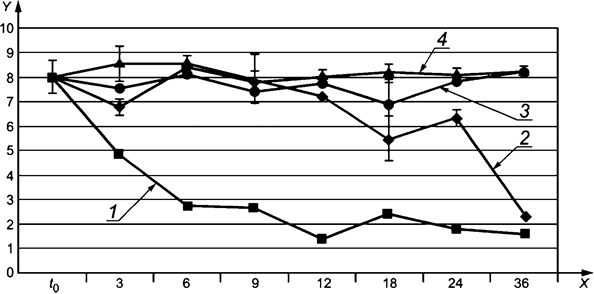
Для определения значений RIN РНК из тканей крыс в парафиновых блоках, образцы хранили перед экстракцией РНК при различных температурах (22 °C, 4 °C, минус 20 °C и минус 80 °C). РНК экстрагировали в начале хранения (t0) и после 3, 6, 9, 12, 18, 24 и 36 мес хранения.
Значения RIN показаны для трипликатов образцов, экстрагированных из ткани селезенки при каждой температуре хранения (см. рисунок A.4). Постоянное снижение значения RIN наблюдалось в блоках, хранящихся при температуре 22 °C. Деградация замедлялась в блоках, хранящихся при температуре 4 °C. В РНК из замороженных блоков (минус 20 °C и минус 80 °C) при исследовании RIN не наблюдалось серьезной деградации.

X - месяцы (м); Y - значение RIN; t0 - начало хранения; 1 - температура хранения 22 °C; 2 – температура хранения 4 °C; 3 - температура хранения минус 20 °C; 4 - температура хранения минус 80 °C
Рисунок A.4 - Значения RIN РНК, выделенных из образцов ткани селезенки крыс в парафиновых блоках, хранящихся при различных температурах
A.3 Выводы
Химические модификации РНК, внесенные с помощью фиксации формалином, оказывают влияние на последующие исследования, такие как обратная транскрипция с последующей полимеразной цепной реакцией (RT-PCR). В случае RT-PCR это воздействие может быть измерено как снижение эффективности амплификации и синтеза кДНК по сравнению с химически немодифицированной РНК из, например, замороженного фрагмента образца ткани.
Стандартизация преаналитического процесса, применение дополнительных методов контроля качества и детальной информации об образцах могут значительно повысить сопоставимость и надежность молекулярно-биологических исследований образцов тканей в парафиновых блоках.
A.4 Дополнительная литература
Kashofer K., Viertler C., Pichler M., Zatloukal K (2013) Quality Control of RNA Preservation and Extraction from Paraffin-Embedded Tissue: Implications for RT-PCR and Microarray Analysis. PLoS ONE 8(7): e70714. doi: 10.1371/journal. pone. (Контроль качества сохранности РНК и экстракция из тканей в парафиновых блоках: применение для RT-PCR и микрочипов).
Standardization and improvement of generic pre-analytical tools and procedures for in vitro diagnostics. http://www.spidia.eu/. (Стандартизация и совершенствование общих преаналитических подходов и процедур для диагностики in vitro).
Приложение ДА
(справочное)
Таблица ДА.1
|
Обозначение ссылочного международного стандарта |
Степень соответствия |
Обозначение и наименование соответствующего национального стандарта |
|
ISO 15189:2012 |
IDT |
ГОСТ Р ИСО 15189-2015 "Лаборатории медицинские. Частные требования к качеству и компетентности" |
|
ISO 15190 |
MOD |
ГОСТ Р 52905-2007 (ИСО 15190:2003) "Лаборатории медицинские. Требования безопасности" |
|
ISO/IEC 17020:2012 |
IDT |
ГОСТ Р ИСО/МЭК 17020-2012 "Оценка соответствия. Требования к работе различных типов органов инспекции" |
|
Примечание - В настоящей таблице использованы следующие условные обозначения степени соответствия стандартов: - IDT - идентичные стандарты; - MOD - модифицированный стандарт. | ||
Библиография
|
[1] |
ISO Guide 30:2015, Reference materials - Selected terms and definitions (Стандартные образцы. Некоторые термины и определения) |
|
[2] |
ISO 9000:2015, Quality management systems - Fundamentals and vocabulary (Системы менеджмента качества. Основные положения и словарь) |
|
[3] |
ISO 17511:2003, In vitro diagnostic medical devices - Measurement of quantities in biological samples - Metrological traceability of values assigned to calibrators and control materials (Оборудование медицинское для диагностики in vitro. Количественные измерения в биологических образцах. Метрологическая прослеживаемость величин, заданных для калибраторов и контрольных материалов) |
|
[4] |
ISO/TS 17822-1:2014, In vitro diagnostic test systems - Qualitative nucleic acid-based in vitro examination procedures for detection and identification of microbial pathogens - Part 1: General requirements, terms and definitions (Диагностические тест-системы in vitro. Процедуры исследования in vitro, основанные на качественном определении нуклеиновых кислот, для обнаружения и идентификации микробных болезнетворных организмов. Часть 1. Общие требования, термины и определения) |
|
[5] |
ISO 22174:2005, Microbiology of food and animal feeding stuffs - Polymerase chain reaction (PCR) for the detection of food-borne pathogens - General requirements and definitions (Микробиология пищевых продуктов и кормов для животных. Метод полимеразной цепной реакции (ПЦР) для определения патогенных микроорганизмов. Общие требования и определения) |
|
[6] |
ISO/IEC 17043:2010, Conformity assessment - General requirements for proficiency testing (Оценка соответствия. Общие требования к проверке квалификации лабораторий) |
|
[7] |
Ning X.H., Xu C.S., Song Y.C. Hypothermia preserves function and signaling for mitochondrial biogenesis during subsequent ischemia. Am. J. Physiol., 1998, Mar., 274 (3 Pt 2) pp. 786 - 793 |
|
[8] |
Kap M., Sieuwerts A.M., Kubista M. The influence of tissue procurement procedures on RNA integrity, gene expression, and morphology in porcine and human liver tissue. Biopreserv Biobank, 2015, Jun., 13 (3) pp. 200 - 206 |
|
[9] |
Krafft A.E., Duncan D.W., Bijwaard K.E. Optimization of the Isolation and Amplification of RNA From Formalin-fixed, Paraffin-embedded Tissue: The Armed Forces Institute of Pathology Experience and Literature Review. Mol. Diagn., 1997, Sep., 2 (3) pp. 217 - 230 |
|
[10] |
Masuda N., Ohnishi T., Kawamoto S. Analysis of chemical modification of RNA from formalin-fixed samples and optimization of molecular biology applications for such samples. Nucleic Acids Res., 1999, Nov. 15, 27 (22) pp. 4436 - 4443 |
|
[11] |
Kubista M., Bjorkman J., Svec D. RNA quality matters. European Pharmaceutical Reviews, 2012, 17 (6) pp. 1 - 5 |
|
[12] |
Kashofer K., Viertler C., Pichler M. Quality control of RNA preservation and extraction from paraffin-embedded tissue: Implications for RT-PCR and microarray analysis. PLoS ONE, 2013, Jul, 31, 8 (7) p. e70714 |
|
[13] |
Viertler C., Groelz D., Gündisch S. A new technology for stabilization of biomolecules in tissues for combined histological and molecula analyses. J. Mol. Diagn., 2012, Sep., 14 (5) pp. 458 - 466 |
|
[14] |
Groelz D., Sobin L., Branton P. Non-formalin fixative versus formalin-fixed tissue: A comparison of histology and RNA quality. Exp. Mol. Pathol., 2013, Feb., 94 (1) pp. 188 - 194 |
|
[15] |
Di Novi C., Minniti D., Barbara S. Vacuum-based preservation of surgical specimens: an environmentally safe step towards a formalin-free hospital. Sci. Total Environ., 2010, 408 (16) pp. 3092 - 3095 |
|
[16] |
Fox C.H., Johnson F.B., Whiting J. Formaldehyde Fixation. J. Histochem. Cytochem., 1985, Aug., 33 (8) pp. 845 - 853 |
|
[17] |
Hewitt S.M., Lewis F.A., Cao Y. Tissue handling and specimen preparation in surgical pathology: issues concerning the recovery of nucleic acids from formalin-fixed, paraffin-embedded tissue. Arch. Pathol. Lab. Med., 2008, Dec., 132 (12) pp. 1929 - 1935 |
|
[18] |
Von Ahlfen S., Missel A., Bendrat K. Determinants of RNA Quality from FFPE Samples. PLoS ONE, 2007, Dec. 5, 2 (12) p. e1261 |
|
[19] |
Chung J.Y., Braunschweig T., Williams R. Factors in tissue handling and processing that impact RNA obtained from formalin-fixed, paraffin-embedded tissue. J. Histochem. Cytochem., 2008, Nov., 56 (11) pp. 1033 - 1042 |
|
[20] |
Specht K., Richter T., Müller U. Quantitative gene expression analysis in microdissected archival formalin-fixed and paraffin-embedded tumor tissue. Am. J. Pathol. 2001, Feb., 158 (2) pp. 419 - 429 |
|
[21] |
Burgemeister R. Nucleic acids extraction from laser microdissected FFPE tissue sections. Methods Mol Biol, 2011, 724: 117 - 129 |
|
[22] |
Fabre A.L., Colotte M., Luis A. An efficient method for long-term room temperature storage of RNA. Eur. J. Hum. Genet. 2014, 22 pp. 379 - 385 |
|
[23] |
WHO/IARC Classification of Tumours on. https://whobluebooks.iarc.fr/ |
|
[24] |
Björkman J., & Svec D. (2016). Differential amplicons (delta Amp) - a new molecular method to assess RNA integrity. Biomolecular Detection and Quantification 6: 4 - 12 |
|
[25] |
Brisco M.J., & Morley A.A. (2012). Quantification of RNA integrity and its use for measurement of transcript number. Nucleic Acids Res 40(18): e144 |
|
[26] |
Oivanen M., Kuusela S., Lonnberg H. Kinetics and mechanisms for the cleavage and isomerization of the phosphodiester bonds of RNA by Bronsted acids and bases. Chem. Rev., 1998, 98:961 - 990 |
|
[27] |
AbouHaidar M.G. & Ivanov I.G. Non-enzymatic RNA hydrolysis promoted by the combined catalytic activity of buffers and magnesium ions. Z Naturforsch C., 1999, 54 542-8 |
|
[28] |
IUPAC. (2014) Compendium of Chemical Terminology, Gold Book Version 2.3.3. International Union of Pure and Applied Chemistry |
|
[29] |
Horwitz W. (2009). Nomenclature for sampling in analytical chemistry (Recommendations 1990). Pure and Applied Chemistry, 62 (6), pp. 1193 - 1208. |
|
[30] |
Calvert J. (2009). Glossary of atmospheric chemistry terms (Recommendations 1990). Pure and Applied Chemistry, 62 (11), pp. 2167 - 2219 |


