Утв. и введен в действие приказом Федерального агентства по техническому регулированию и метрологии от 5 октября 2017 г. N 1350-ст
Национальный стандарт РФ ГОСТ Р ИСО 17190-6-2017
"СРЕДСТВА МОЧЕПОГЛОЩЕНИЯ ПРИ НЕДЕРЖАНИИ. МЕТОДЫ ИСПЫТАНИЙ ДЛЯ ОПРЕДЕЛЕНИЯ ХАРАКТЕРИСТИК АБСОРБЦИОННЫХ МАТЕРИАЛОВ НА ПОЛИМЕРНОЙ ОСНОВЕ. ЧАСТЬ 6. ГРАВИМЕТРИЧЕСКОЕ ОПРЕДЕЛЕНИЕ СПОСОБНОСТИ ЗАДЕРЖИВАТЬ ЖИДКОСТЬ В СОЛЕВОМ РАСТВОРЕ ПОСЛЕ ЦЕНТРИФУГИРОВАНИЯ"
Urine-absorbing aids for incontinence. Test methods for characterizing polymer-based absorbent materials. Part 6. Gravimetric determination of fluid retention capacity in saline solution after centrifugation
ОКС 11.180.20
ОКПД2 32.50.50.000
Дата введения - 1 января 2018 г.
Введен впервые
Предисловие
1 Подготовлен Федеральным государственным бюджетным учреждением "Всероссийский научно-исследовательский и испытательный институт медицинской техники" Федеральной службы по надзору в сфере здравоохранения (ФГБУ "ВНИИИМТ" Росздравнадзора) на основе собственного перевода на русский язык англоязычной версии международного стандарта, указанного в пункте 4
2 Внесен Техническим комитетом по стандартизации ТК 381 "Технические средства для инвалидов"
3 Утвержден и введен в действие приказом Федерального агентства по техническому регулированию и метрологии от 5 октября 2017 г. N 1350-ст
4 Настоящий стандарт идентичен международному стандарту ИСО 17190-6:2001 "Средства мочепоглощения при недержании. Методы испытаний для определения характеристик абсорбционных материалов на полимерной основе. Часть 6. Гравиметрическое определение способности задерживать жидкость в солевом растворе после центрифугирования" (ISO 17190-6:2001 "Urine-absorbing aids for incontinence - Test methods for characterizing polymer-based absorbent materials - Part 6: Gravimetric determination of fluid retention capacity in saline solution after centrifugation", IDT).
При применении настоящего стандарта рекомендуется использовать вместо ссылочных международных стандартов соответствующие им национальные стандарты, сведения о которых приведены в дополнительном приложении ДА
5 Введен впервые
Введение
Серия стандартов ИСО 17190 распространяется на различные методы испытаний, первоначально разработанные Европейской ассоциацией нетканых материалов и отходов текстильной промышленности (EDANA). Эти методы испытаний без каких-либо изменений были включены в серию международных стандартов, состоящую из 11 частей.
Данные методы испытаний использовались на практике несколько лет и зарекомендовали себя как надежные в отношении общих критериев качества методов испытаний (достоверность, воспроизводимость и др.). Они применимы к полиакрилату суперабсорбирующих материалов, которые относятся к продуктам гигиены, в том числе средствам мочепоглощения при недержании. Методы испытаний касаются исключительно материала. Они не предназначены и не применимы для испытаний выпускаемых средств мочепоглощения при недержании.
1 Область применения
Настоящий стандарт устанавливает метод определения способности задерживать жидкость полиакрилатом (ПА) суперабсорбирующих порошков в солевом растворе после центрифугирования.
2 Нормативные ссылки
В настоящем стандарте использованы нормативные ссылки на следующие международные стандарты. Для недатированных ссылок применяют последние издания указанных стандартов, включая все изменения.
ISO 187, Paper, board and pulps - Standard atmosphere for conditioning and testing and procedure for monitoring the atmosphere and conditioning of samples (Целлюлоза, бумага, картон. Стандартная атмосфера для кондиционирования и испытания. Метод контроля за атмосферой и условиями кондиционирования)
ISO 3696, Water for analytical laboratory use - Specification and test methods (Вода для лабораторного анализа. Технические требования и методы испытаний)
ISO 5725-2, Accuracy (trueness and precision) of measurement methods and results - Part 2: Basic method for the determination of repeatability and reproducibility of a standard measurement method [Точность (правильность и прецизионность) методов и результатов измерений. Часть 2. Основной метод определения повторяемости и воспроизводимости стандартного метода измерений]
3 Термины и определения
В настоящем стандарте применены термины с соответствующими определениями:
3.1 нетканый материал (nonwoven): Материал, имеющий в своей структуре такие текстильные материалы, как волокна, непрерывные нити или измельченную пряжу любого вида или происхождения, которые сформированы в полотно и скреплены воедино любыми способами, за исключением переплетений нитей, используемых в тканях, трикотажных полотнах, кружевах, плетеных материалах или тканях с прошивным ворсом.
Примечания
1 Материалы, имеющие в своей структуре пленочные и бумажные материалы, к нетканым не относятся.
2 См. ИСО 9092 [1].
3 Дополнительная информация по определению нетканого материала приведена в ИСО 9092 [1].
3.2 мешок (bag): Мешок из нетканого материала (см. 3.1).
4 Метод определения
Образец взвешивают и помещают в мешок. Мешок с образцом полностью помещают в жидкость, затем центрифугируют в течение указанного времени с указанной центробежной силой и затем образец взвешивают для определения количества поглощенной жидкости.
5 Реактивы
Используйте реактивы указанного состава, если не указано иное.
5.1 Вода, соответствующая требованиям ИСО 3696.
5.2 Раствор хлорида натрия, c(NaCl) = 0, 9 % по массе.
Взвесьте 9 г хлорида натрия с точностью до 0, 1 г и поместите его в мерную колбу вместимостью 1 л (см. 6.7) и долейте до метки деионизированной водой (отметка 3, см. 5.1). Размешайте до полного растворения.
6 Средства измерений, вспомогательные устройства
6.1 Мешок размером от 60 х 40 мм до 60 х 85 мм, изготовленный из неперфорированного термосвариваемого нетканого материала.
Для изготовления мешка сложите в два слоя нетканый материал и с помощью термосварки сварите по трем сторонам на расстоянии 3-5 мм от края. Характеристики нетканого материала должны быть следующими:
- поверхностная плотность: (16, 5 ± 1, 5) г/м2;
- содержание термопластичных волокон: (4 ± 0, 8) г/м2;
- разрывная нагрузка во влажном состоянии в поперечном направлении: (70 ± 12) Н/м;
- воздухопроницаемость (при измерении в 4 слоя): (230 ± 50) л/мин/100 см2 при перепаде давления 124 Па.
6.2 Термопропитка, способная склеивать нетканый материал.
6.3 Большая кастрюля глубиной примерно от 5 до 15 см и достаточно большая, чтобы вместить несколько мешков.
6.4 Весы лабораторные с ценой деления (дискретностью отсчета) 0, 01 г и пределом взвешивания до 100 г.
6.5 Таймер с точностью измерения до 1 с и диапазоном до 30 мин.
6.6 Сушильный шкаф или веревка с зажимами.
6.7 Мерная колба класса А вместимостью 1 л.
6.8 Центрифуга имеет роторный барабан, способный вращаться с центробежным ускорением (250 ± 5) g, равным центробежной силе F, и применяется для размещения образца вдоль внутренней стенки барабана (например, 1 400 об/мин для барабана внутренним диаметром 225 мм).
Расчет центробежного ускорения приведен в приложении А.
7 Отбор образца
Меры предосторожности - Используйте средства защиты органов дыхания, респиратор или вытяжку, при работе с образцом массой более 10 г.
Для того, чтобы гарантировать, что репрезентативный образец берется из сыпучего материала, содержащегося в большом мешке или хранилище, снимают верхний слой (примерно 20 см). Берут образец совком. Помещают образец в герметичный контейнер соответствующего размера в течение 3 мин после отбора.
Перед началом испытаний и отбором проб выдерживают испытуемые образцы в закрытом контейнере для выравнивания и достижения температуры лаборатории. Рекомендуемые условия проведения испытаний: температура (23 ± 2) °С, относительная влажность (50 ± 10) %. Если эти условия отсутствуют, испытания проводят в условиях окружающей среды с указанием температуры и относительной влажности. Измерения данных условий проведения испытаний проводят в соответствии с ИСО 187.
Прежде чем отобрать пробу из контейнера для проведения испытаний, встряхните контейнер три-пять раз таким образом, чтобы получить однородный материал. Оставьте контейнер в покое на 5 мин до открывания крышки и отбора пробы для испытаний.
Прежде чем продолжить испытания убедитесь, что в подготовленной для испытаний пробе отсутствуют комки размером более 1 мм в диаметре.
8 Метод проведения испытания
8.1 Подготовьте мешки, как указано в 6.1. Для каждой экспериментальной серии подготавливают два мешка для заполнения испытуемым образцом и два пустых.
8.2 Взвесьте 0, 200 г испытуемого образца ПА суперабсорбента порошка с точностью до 0, 005 г и запишите массу ms1.
Испытуемые образцы могут быть подготовлены для испытаний по ИСО 17190-5, а также для испытаний по настоящему стандарту. Если это так, переходите к 8.10.
8.3 Поместите образец в мешок и запечатайте мешок.
8.4 Используйте ту же последовательность действий, чтобы подготовить второй образец и запишите массу ms2. Поместите мешки в эксикатор, если процесс подготовки по взвешиванию и помещению образца в мешок занимает более 5 мин.
8.5 Подготовьте два пустых мешка наряду с мешками, заполненными ПА суперабсорбента порошка.
В случае одинаковых материала мешков и условий запечатывания, учитывают предварительные данные пустых мешков. В этом случае испытания двух пустых мешков не проводят.
8.6 Заполните кастрюлю 0, 9 % раствором хлорида натрия (см. 5.2). Смените раствор после опускания в него максимум 10 мешков на литр соляного раствора.
8.7 Удерживая мешки, содержащие испытуемые образцы за противоположные кромки, равномерно распределите испытуемый образец по объему (горизонтально) мешка.
8.8 Опустите мешки в раствор хлорида натрия. Подождите в течение 1 мин пока мешок не станет влажным перед тем, как полностью погрузить его в раствор. Устраните воздушные пузырьки, манипулируя мешком.
8.9 Извлеките мешки из раствора хлорида натрия через (30 ± 1) мин.
8.10 Поместите мешки с образцами и пустые мешки в барабан центрифуги, разместив их вдоль внутренней стенки. Для правильной балансировки расположите мешки так, чтобы пустые мешки находились напротив друг друга, мешки с образцами также находились напротив друг друга (см. рисунок 1).
1 - мешки
Рисунок 1 - Расположение мешков в барабане центрифуги
8.11 Выставите на центрифуге параметры для получения центробежного ускорения в 250 g (см. 6.8 и приложение А).
8.12 Включите центрифугу на время 3 мин ± 10 с.
8.13 Подождите полной остановки барабана центрифуги, прежде чем открывать крышку.
8.14 Извлеките мешки, взвесьте каждый мешок и запишите массу двух пустых мешков mb1 и mb2 и массу мешков, содержащих испытуемый образец ПА суперабсорбента порошка mw1 и mw2.
9 Обработка результатов
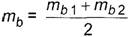
Вычисляют среднее значение массы двух пустых мешков после центрифугирования

.
(1)
Для каждого образца (i = 1 и 2) вычисляют способность задерживать жидкость wi как массовую долю (г/г)

,
(2)
где msi - масса сухого испытуемого образца, г;
mb - среднее значение массы двух пустых мешков, г;
mwi - масса мокрого мешка, содержащего испытуемый образец ПА суперабсорбента порошка, г.
Берут среднее из двух вычисленных значений и округляют его с точностью до 0, 1 условных единиц.
10 Точность
Показатели повторяемости и воспроизводимости результатов данного метода испытаний являются результатом совместных исследований, проведенных в 1997 г. EDANA и приведены в приложении В.
Расхождение между результатами параллельных испытаний, полученными в повторяющихся условиях испытаний в соответствии с ИСО 5725-2, не должно превышать предела повторяемости r более чем в 5 % случаев
r=1, 53 г/г.
Расхождение между результатами параллельных испытаний, полученными в повторяющихся условиях испытаний в соответствии с ИСО 5725-2, не должно превышать предела воспроизводимости R более чем в 5 % случаев
R=3, 28 г/г.
Если не выполняются критерии повторяемости и воспроизводимости испытания, то испытание должно быть повторено дважды, на удвоенном количестве образцов, убедившись, что исходный образец тщательно перемешан. Если эти критерии ранее не встречались, записать их результаты как недостоверные, и затем выявить источник ошибки, например, проверяя правильность работы контрольно-измерительных устройств, испытав образец с известным значением.
11 Протокол испытания
Протокол испытания должен содержать следующую информацию:
a) наименование и адрес испытательной лаборатории;
b) тип абсорбционного материала на полимерной основе, включая все технические параметры (характеристики) и исходную (первичную) информацию, необходимую для однозначной (полной) идентификации образца;
c) ссылку на настоящий стандарт;
d) результаты расчета задержания жидкости в солевом растворе после центрифугирования для каждого испытуемого образца с точностью до 0, 1 г/г и среднее значение повторных испытаний;
e) любые несоответствия (особенности), отмеченные в ходе испытаний или если повторяемость и/или воспроизводимость критерия не были соблюдены (см. раздел 10);
f) любые отклонения от метода проведения испытаний или любые иные операции следует рассматривать как дополнительные.
Приложение А
(справочное)
Центробежное ускорение
Центробежную силу F, приложенную к массе m, размещенной внутри барабана центрифуги вдоль внутренней стенки, вычисляют по формуле
F=mω2r,
(А.1)
где m - масса, г;
ω - угловая скорость, рад/с;
r - радиус барабана, м.
В данном случае величина центробежной силы, приложенная к массе, соответствует 250 g, т.е.
mω2r=m×250g,
(А.2)
где g - ускорение свободного падения, g = 9, 81 м/с2.
Характеристики центрифуги вычисляют по формуле
ω2r=250g.
(А.3)
Приложение В
(справочное)
Статистические результаты межлабораторных испытаний
Показатели повторяемости и воспроизводимости результатов данного метода являются результатом совместных исследований, проведенных в 1997 году EDANA. Оценка межлабораторных испытаний была проведена в соответствии с ИСО 5725-2 и были получены следующие результаты:
|
идентификация образца
|
А
|
В
|
С
|
|
количество участвующих лабораторий
|
10
|
10
|
10
|
|
количество лабораторий, чьи результаты были приняты (за исключением тех, чьи результаты были отброшены как недостоверные)
|
10
|
10
|
10
|
|
количество принятых к рассмотрению результатов испытаний
|
40
|
39
|
40
|
|
среднее значение (г/г)
|
27, 26
|
31, 87
|
31, 65
|
|
повторяемость стандартного отклонения sr
|
0, 55
|
0, 24
|
0, 39
|
|
повторяемость коэффициента вариации
|
2, 01 %
|
0, 76 %
|
1, 24 %
|
|
предел повторяемости r (2, 8 sr)
|
1, 53
|
0, 68
|
1, 09
|
|
воспроизводимость стандартного отклонения sR
|
1, 15
|
0, 91
|
1, 17
|
|
воспроизводимость коэффициента вариации
|
4, 22 %
|
2, 86 %
|
3, 71 %
|
|
предел воспроизводимости R (2, 8 sR)
|
3, 22
|
2, 55
|
3, 28
|
Приложение ДА
(справочное)
Сведения о соответствии ссылочных международных стандартов национальным стандартам
Таблица ДА.1
|
Обозначение ссылочного международного стандарта
|
Степень соответствия
|
Обозначение и наименование соответствующего национального стандарта
|
|
ISO 187:1990
|
IDT
|
ГОСТ Р ИСО 187-2012 "Целлюлоза, бумага, картон. Стандартная атмосфера для кондиционирования и испытания. Метод контроля за атмосферой и условиями кондиционирования"
|
|
ISO 3696:1987
|
-
|
*
|
|
ISO 5725-2:1994
|
IDT
|
ГОСТ Р ИСО 5725-2-2002 "Точность (правильность и прецизионность) методов и результатов измерений. Часть 2. Основной метод определения повторяемости и воспроизводимости стандартного метода измерений"
|
|
ISO 9092:2011
|
IDT
|
ГОСТ Р ИСО 9092-2014 "Материалы текстильные. Нетканые материалы. Определение"
|
|
ISO 17190-5:2001
|
IDT
|
ГОСТ Р ИСО 17190-5-2017 "Средства мочепоглощения при недержании. Методы испытания для определения характеристик абсорбционных материалов на полимерной основе. Часть 5. Гравиметрическое определение способности к свободному набуханию в солевом растворе"
|
|
* Соответствующий национальный стандарт отсутствует. До его утверждения рекомендуется использовать перевод на русский язык данного международного стандарта. Перевод данного международного стандарта находится в Федеральном информационном фонде стандартов.
Примечание - В настоящей таблице использовано следующее условное обозначение степени соответствия стандартов:
- IDT - идентичные стандарты.
|
Библиография
|
[1]
|
ISO 9092, Textiles - Nonwovens - Definition
|