Введен в действие приказом Федерального агентства по техническому регулированию и метрологии от 27 марта 2018 г. N 153-ст
Межгосударственный стандарт ГОСТ 10134.1-2017
"СТЕКЛО И ИЗДЕЛИЯ ИЗ НЕГО. МЕТОДЫ ОПРЕДЕЛЕНИЯ ХИМИЧЕСКОЙ СТОЙКОСТИ. ОПРЕДЕЛЕНИЕ ВОДОСТОЙКОСТИ ПРИ 98 °С"
Glass and glass products. Methods for determination of chemical resistance. Determination of hydrolytic resistance at 98 °C
МКС 81.040.01
Дата введения - 1 марта 2019 г.
Взамен ГОСТ 10134.1-82
Предисловие
Цели, основные принципы и основной порядок проведения работ по межгосударственной стандартизации установлены в ГОСТ 1.0-2015 "Межгосударственная система стандартизации. Основные положения" и ГОСТ 1.2-2015 "Межгосударственная система стандартизации. Стандарты межгосударственные, правила и рекомендации по межгосударственной стандартизации. Правила разработки, принятия, обновления и отмены"
Сведения о стандарте
1 Разработан Открытым акционерным обществом "Институт стекла", Техническим комитетом по стандартизации ТК 41 "Стекло"
2 Внесен Федеральным агентством по техническому регулированию и метрологии
3 Принят Межгосударственным советом по стандартизации, метрологии и сертификации (протокол от 25 сентября 2017 г. N 103-П)
За принятие проголосовали:
|
Краткое наименование страны по МК (ИСО 3166) 004-97
|
Код страны по МК (ИСО 3166) 004-97
|
Сокращенное наименование национального органа по стандартизации
|
|
Армения
|
AM
|
Минэкономики Республики Армения
|
|
Беларусь
|
BY
|
Госстандарт Республики Беларусь
|
|
Киргизия
|
KG
|
Кыргызстандарт
|
|
Россия
|
RU
|
Росстандарт
|
4 Приказом Федерального агентства по техническому регулированию и метрологии от 27 марта 2018 г. N 153-ст межгосударственный стандарт ГОСТ 10134.1-2017 введен в действие в качестве национального стандарта Российской Федерации с 1 марта 2019 г.
5 Взамен ГОСТ 10134.1-82
1 Область применения
Настоящий стандарт распространяется на стекло и изделия из него (далее - стекло) и устанавливает два метода (метод А и метод Б) определения водостойкости при температуре 98 °С:
- метод А распространяется на стекло, содержащее оксиды щелочных металлов;
- метод Б распространяется на стекло, не содержащее оксиды щелочных металлов.
Настоящий стандарт не распространяется на оптическое, кварцевое, электровакуумное стекло, стеклянную тару, медицинское стекло, а также другие виды стекол, для которых установлены иные методы определения водостойкости.
Метод, установленный в настоящем стандарте, применяют при проведении сертификационных, приемо-сдаточных, периодических, исследовательских, контрольных и других видов испытаний.
2 Нормативные ссылки
В настоящем стандарте использованы нормативные ссылки на следующие межгосударственные стандарты:
ГОСТ 1770-74 (ИСО 1042-83, ИСО 4788-80) Посуда мерная лабораторная стеклянная. Цилиндры, мензурки, колбы, пробирки. Общие технические условия
ГОСТ 2603-79 Реактивы. Ацетон. Технические условия
ГОСТ 3118-77 Реактивы. Кислота соляная. Технические условия
ГОСТ 4919.1-2016 Реактивы и особо чистые вещества. Методы приготовления растворов индикаторов
ГОСТ 4919.2-2016 Реактивы и особо чистые вещества. Методы приготовления буферных растворов
ГОСТ 6613-86 Сетки проволочные тканые с квадратными ячейками. Технические условия
ГОСТ 6709-72 Вода дистиллированная. Технические условия
ГОСТ 9147-80 Посуда и оборудование лабораторные фарфоровые. Технические условия
ГОСТ 10134.0-2017 Стекло и изделия из него. Методы определения химической стойкости. Общие требования
ГОСТ 14919-83 Электроплиты, электроплитки и жарочные электрошкафы бытовые. Общие технические условия
ГОСТ 17299-78 Спирт этиловый технический. Технические условия
ГОСТ 23932-90 Посуда и оборудование лабораторные стеклянные. Общие технические условия
ГОСТ 24104-2001* Весы лабораторные. Общие технические требования
──────────────────────────────
* На территории Российской Федерации действует ГОСТ Р 53228-2008.
ГОСТ 25336-82 Посуда и оборудование лабораторные стеклянные. Типы, основные параметры и размеры
ГОСТ 28498-90 Термометры жидкостные стеклянные. Общие технические требования. Методы испытаний
ГОСТ 29169-91 (ИСО 648-77) Посуда лабораторная стеклянная. Пипетки с одной отметкой
ГОСТ 29251-91 (ИСО 385-1-84) Посуда лабораторная стеклянная. Бюретки. Часть 1. Общие требования
ГОСТ 32539-2013 Стекло и изделия из него. Термины и определения
ГОСТ OIML R 111-1-2009 Государственная система обеспечения единства измерений. Гири классов Е1, Е2, F1, F2, М1, М1-2, М2, М2-3 и М3. Часть 1. Метрологические и технические требования
Примечание - При пользовании настоящим стандартом целесообразно проверить действие ссылочных стандартов в информационной системе общего пользования - на официальном сайте Федерального агентства по техническому регулированию и метрологии в сети Интернет или по ежегодному информационному указателю "Национальные стандарты", который опубликован по состоянию на 1 января текущего года, и по выпускам ежемесячного информационного указателя за текущий год. Если ссылочный стандарт заменен (изменен), то при пользовании настоящим стандартом следует руководствоваться заменяющим (измененным) стандартом. Если ссылочный стандарт отменен без замены, то положение, в котором дана ссылка на него, применяется в части, не затрагивающей эту ссылку.
3 Термины и определения
В настоящем стандарте применены термины по ГОСТ 32539, а также следующий термин с соответствующим определением:
3.1 водостойкость стекла: Способность поверхности стекла оказывать длительное сопротивление разрушающему действию воды.
4 Общие требования
4.1 Общие требования к методам определения водостойкости - по ГОСТ 10134.0.
4.2 Допускается применение других средств измерений с метрологическими характеристиками и оборудования с техническими характеристиками не хуже установленных, а также реактивов и лабораторной посуды, по качеству соответствующих указанным.
4.3 Результаты определения водостойкости по методам А и Б сопоставимы для стекол плотностью (2, 4 ± 0, 2) г/см3 при использовании для испытаний проб стекла толщиной не менее 1, 5 мм. Если фактическая плотность стекла ρ отличается от указанной плотности, то для испытания берут навеску, соответствующую 0, 83ρ.
В протоколе испытаний указывают фактическую плотность и толщину стекла.
5 Средства измерений, аппаратура, реактивы и растворы
5.1 При определении водостойкости стекла используют:
- баню водяную, обеспечивающую:
- температуру воды не выше 100 °С,
- поддержание температуры (98, 0 ± 0, 5) °С и (20 ± 2) °С;
- термометр по ГОСТ 28498 с погрешностью измерения не более 2 °С и диапазоном, обеспечивающим измерение температуры до 100 °С;
- электроплитку по ГОСТ 14919;
- сита с сетками контрольными 0315, 05, 08 и 1 по ГОСТ 6613;
- магнит;
- весы по ГОСТ 24104;
- набор гирь по ГОСТ OIML R 111-1;
- шкаф сушильный, обеспечивающий:
- температуру 150 °С,
- поддержание температуры с погрешностью ± 2 °С;
- печь муфельную, обеспечивающую:
- температуру 500 °С,
- поддержание температуры с погрешностью ± 2 °С;
- установку, схема которой приведена на рисунке 1;
- бюретки номинальной вместимостью 1 см3 с ценой деления 0, 01 см3 и номинальной вместимостью 10 см3 с ценой деления 0, 05 см3 по ГОСТ 29251;
- пипетки номинальной вместимостью 1 и 25 см3 по ГОСТ 29169;
- колбы мерные по ГОСТ 1770 номинальной вместимостью 50 см3 с пришлифованной пробкой;
- колбы Кн-1-2-100 ТХС, Кн-1-2-250 ТХС по ГОСТ 23932, ГОСТ 25336;
- стаканчик для взвешивания по ГОСТ 23932, ГОСТ 25336;
- стакан стеклянный по ГОСТ 23932, ГОСТ 25336;
- тигель фарфоровый по ГОСТ 9147;
- воронки стеклянные по ГОСТ 25336;
- холодильник по ГОСТ 23932, ГОСТ 25336;
- эксикатор по ГОСТ 23932, ГОСТ 25336;
- рН-метр с точностью измерения до 0, 02 рН;
- воду дистиллированную по ГОСТ 6709;
- кислоту соляную по ГОСТ 3118, раствор молярной концентрации, равной с (HCl) = 0, 01 моль/дм3;
- спирт этиловый технический по ГОСТ 17299;
- ацетон по ГОСТ 2603;
- раствор метиловый красный (индикатор) спиртовой, приготовленный по ГОСТ 4919.1;
- раствор буферный рН 5, 5, приготовленный по ГОСТ 4919.2;
- фильтр обеззоленный "синяя лента".
5.2 Приготовление буферного раствора
Для приготовления фосфатно-цитратного буферного раствора рН 5, 5 берут 92, 8 см3 0, 1 М раствора лимонной кислоты, приготовленного по ГОСТ 4919.2, и 107, 2 см3 0, 2 М раствора двузамещенного фосфорнокислого натрия, приготовленного по ГОСТ 4919.2.
6 Определение водостойкости стекла. Метод А
6.1 Сущность метода
Сущность метода заключается в воздействии дистиллированной воды при температуре 98 °С на измельченное стекло и определении расхода раствора соляной кислоты молярной концентрации, равной с (HCl) = 0, 01 моль/дм3 при титровании.
6.2 Проведение испытания
6.2.1 В коническую колбу вместимостью 250 см3 помещают пробу измельченного стекла, приготовленную по 4.1.1-4.1.3 ГОСТ 10134.0, и удаляют прилипшие частицы пыли шестикратной декантацией, используя каждый раз по 30 см3 ацетона или этилового спирта. Для удаления остатков ацетона или спирта колбу помещают на предварительно нагретую до температуры 70 °С и затем выключенную электроплитку. После испарения всего ацетона или спирта колбу с измельченным стеклом выдерживают в течение 20 мин в сушильном шкафу при температуре (140 ± 2) °С. После извлечения колбы из сушильного шкафа измельченное стекло пересыпают в стаканчик для взвешивания, охлаждают в эксикаторе и закрывают его.
6.2.2 При выполнении работ следует соблюдать требования безопасности по 4.3 ГОСТ 10134.0.
6.2.3 Из приготовленной пробы отбирают и взвешивают с учетом 4.3 три навески массой по 2, 000 г Каждую навеску помещают в мерную колбу вместимостью 50 см3, доливают до метки дистиллированной водой и распределяют измельченное стекло по поверхности основания колб. Одновременно проводят два контрольных испытания (растворы без пробы стекла).
Все колбы без пробок погружают выше меток (до середины горловины) в водяную баню с температурой (98, 0 ± 0, 5) °С. Через 5 мин колбы закрывают пробками.
Нагревают колбы при температуре (98, 0 ± 0, 5) °С в течение 60 мин от момента погружения в баню.
Затем колбы вынимают, открывают и после охлаждения в водяной бане до температуры (20 ± 2) °С доливают дистиллированной водой до метки. Содержимое в колбах тщательно перемешивают и оставляют до осаждения стекла.
6.2.4 Из каждой колбы пипеткой отбирают по 25 см3 раствора в конические колбы вместимостью 100 см3, прибавляют 0, 1 см3 метилового красного раствора (индикатор) и титруют раствором соляной кислоты молярной концентрации, равной с (HCl) = 0, 01 моль/дм3, до перехода окраски раствора от желтой к красно-оранжевой.
Готовят 25 см3 буферного раствора с 0, 1 см3 индикатора, и окончание титрования определяют по совпадению цветовых оттенков приготовленного буферного раствора с индикатором и титруемых растворов. Все три раствора с пробами стекла и растворы контрольных испытаний титруют одинаковым способом.
7 Определение водостойкости стекла. Метод Б
7.1 Сущность метода
Сущность метода заключается в воздействии дистиллированной воды при температуре 98 °С на измельченное стекло и определении отношения потери массы стекла после испытания к его массе до испытания.
7.2 Проведение испытания
7.2.1 Испытание проводят с использованием установки, пример которой показан на рисунке 1.
1 - U-образная трубка, 2 - муфта, 3 - холодильник, 4 - реакционный сосуд, 5 - мешалка
Рисунок 1 - Схема установки для определения водостойкости при температуре 98 °С
В стеклянном стакане предварительно подогревают 100 см3 дистиллированной воды до температуры от 65 °С до 70 °С. Включают холодильник 3 установки, засыпают пробу измельченного стекла массой от 8 до 10 г в сосуд 4, вливают в него подогретую дистиллированную воду, закрывают отверстие реакционного сосуда и устанавливают его в кипящую водяную баню.
Уровень воды в бане должен быть выше уровня жидкости в реакционном сосуде.
Наливают в водяной затвор реакционного сосуда дистиллированную воду до середины высоты затвора. Нагревают реакционный сосуд в течение 5 ч от момента погружения в водяную баню.
В течение всего периода нагревания уровень воды в бане должен быть постоянным. Затем отставляют водяную баню, через 5-10 мин выключают холодильник 3, вытирают снаружи сосуд. Реакционный сосуд отсоединяют от холодильника 3, протирают края снаружи фильтровальной бумагой, и сливают из него как можно полнее воду, пропуская ее через обеззоленный фильтр. Одновременно сливают в воронку дистиллированную воду из затвора. Оставшуюся в реакционном сосуде пробу стекла подвергают шестикратной декантации, используя каждый раз по 10 см3 ацетона или этилового спирта.
После каждого промывания ацетон или спирт сливают на фильтр и удаляют остатки ацетона или спирта, как указано в 6.2.1.
После охлаждения сосуда и воронки с фильтром пробу стекла переносят в предварительно прокаленный и взвешенный фарфоровый тигель. Тигель закрывают крышкой. Тигель с крышкой прокаливают в муфельной печи при температуре (450 ± 2) °С, охлаждают в эксикаторе и взвешивают.
После каждого определения водостойкости реакционный сосуд и холодильник многократно промывают разбавленной соляной кислотой и дистиллированной водой.
Допускается вместо реакционного сосуда прибора использовать коническую колбу вместимостью 250 см3 с обратным холодильником.
8 Обработка результатов
8.1 Метод А для стекла, содержащего оксиды щелочных металлов
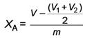
8.1.1 Водостойкость стекла ХА, см3/г, при температуре 98 °С вычисляют по формуле

,
(1)
где V - объем раствора соляной кислоты молярной концентрации, равной с (HCl) = 0, 01 моль/дм3, израсходованный на титрование 25 см3 анализируемого раствора, см3;
V1 - объем раствора соляной кислоты молярной концентрации, равной с (HCl) = 0, 01 моль/дм3, израсходованный на титрование 25 см3 первого контрольного раствора, см3;
V2 - объем раствора соляной кислоты молярной концентрации, равной с (HCl) = 0, 01 моль/дм3, израсходованный на титрование 25 см3 второго контрольного раствора, см3;
m - масса навески измельченного стекла, г.
За окончательный результат испытания принимают среднее арифметическое результатов трех параллельных определений.
Класс водостойкости стекла при температуре 98 °С устанавливают в соответствии с таблицей 1.
Таблица 1
|
Расход раствора соляной кислоты молярной концентрации, равной с (HCl) = 0, 01 моль/дм3 при титровании, см3
|
Класс водостойкости
|
|
До 0, 10 включ.
|
1/98
|
|
Св. 0, 10 до 0, 20 включ.
|
2/98
|
|
Св. 0, 20 до 0, 85 включ.
|
3/98
|
|
Св. 0, 85 до 2, 00 включ.
|
4/98
|
|
Св. 2, 00 до 3, 50 включ.
|
5/98
|
Допускаемые расхождения между результатами каждого из трех параллельных измерений и средним арифметическим значением не должны превышать:
± 15 % - для класса 1/98;
± 10 % - для класса 2/98;
± 5 % - для классов 3/98, 4/98, 5/98.
Если расхождения превышают приведенные значения, испытания повторяют.
8.2 Метод Б для стекла, не содержащего оксиды щелочных металлов
8.2.1 Водостойкость стекла ХБ, %, при температуре 98 °С вычисляют по формуле

,
(2)
где m - масса навески до испытания, г;
m1 - масса навески после испытания, г.
Расхождение между параллельными определениями не должно превышать 10 % от найденного среднеарифметического значения.
Если расхождение превышает 10 %, испытание повторяют.
9 Оформление результатов испытаний
9.1 Результаты испытания стекла, в том числе промежуточные, записывают в журнал. При необходимости результаты оформляют протоколом, который содержит:
- наименование документа ("Протокол испытаний") и его идентификацию (например, номер и дату оформления), а также идентификацию каждой страницы, обеспечивающую признание страницы как части данного документа, четкую идентификацию конца документа и общее количество страниц;
- наименование, адрес и номер аттестата аккредитации испытательной (аналитической) лаборатории (при его наличии);
- наименование испытанного стекла;
- наименование, адрес предъявителя/заказчика (при его наличии);
- идентификацию используемого метода;
- обозначение нормативного документа на продукцию;
- сведения об отборе образцов стекла;
- количество испытанных образцов;
- дату проведения испытания;
- обозначение настоящего стандарта;
- результаты испытаний;
- сведения о фактической толщине стекла и его плотности,
- фамилии, инициалы, должности и подписи руководителя испытательной (аналитической) лаборатории и сотрудников, проводивших испытания.
Протокол испытаний может содержать дополнительную информацию, необходимую для однозначного понимания и правильного применения результатов испытания.