Утв. и введен в действие постановлением Государственного комитета стандартов Совета Министров СССР от 15 мая 1978 г. N 1295
Межгосударственный стандарт ГОСТ 13979.7-78
"ЖМЫХИ, ШРОТЫ И ГОРЧИЧНЫЙ ПОРОШОК. МЕТОД ОПРЕДЕЛЕНИЯ АЛЛИЛИЗОТИОЦИАНАТОВ (АЛЛИЛОВОГО МАСЛА)"
Oucakes, oilmeals and pondered mustardseed cake. Determination of isothiocyanates
ОКСТУ 9146
Группа Н69
Дата введения - 1 июля 1979 г.
Введен взамен ГОСТ 13979.7-69
Информационные данные
1. Разработан и внесен Министерством пищевой промышленности СССР
Разработчики
А.Б. Белова, канд. техн. наук; Л.М. Заводцова, канд. техн. наук; М.А. Великоростова
2. Утвержден и введен в действие Постановлением Государственного комитета стандартов Совета Министров СССР от 15.05.78 N 1295
3. Введен взамен ГОСТ 13979.7-69
4. Ссылочные нормативно-технические документы
|
Обозначение НТД, на который дана ссылка
|
Номер пункта
|
Обозначение НТД, на который дана ссылка
|
Номер пункта
|
|
ГОСТ 83-79
|
3.1
|
ГОСТ 13979.0-86
|
1.1
|
|
ГОСТ 1770-74
|
3.1
|
ГОСТ 13979.1-68
|
3.2.7
|
|
ГОСТ 3760-79
|
3.1
|
ГОСТ 18300-87
|
3.1
|
|
ГОСТ 4159-79
|
3.1
|
ГОСТ 20490-75
|
3.1
|
|
ГОСТ 4204-77
|
3.1
|
ГОСТ 24104-88
|
3.1
|
|
ГОСТ 4232-74
|
3.1
|
ГОСТ 25336-82
|
3.1
|
|
ГОСТ 4328-77
|
3.1
|
ГОСТ 27068-86
|
3.1
|
|
ГОСТ 4463-76
|
3.1
|
ГОСТ 28498-90
|
3.1
|
|
ГОСТ 5839-77
|
3.1
|
ТУ 6-09-1181-76
|
3.1
|
|
ГОСТ 6709-72
|
3.1
|
ТУ 6-09-1676-77
|
3.1
|
|
ГОСТ 10163-76
|
3.1
|
ТУ 6-09-3467-73
|
3.1
|
|
ГОСТ 12026-76
|
3.1
| | |
5. Ограничение срока действия снято по протоколу N 3-93 Межгосударственного Совета по стандартизации, метрологии и сертификации (ИУС 5-6-93)
6. Издание с Изменениями N 1, 2, утвержденными в декабре 1983 г., декабре 1988 г. (ИУС 3-84, 4-89)
Настоящий стандарт распространяется на жмыхи, шроты и горчичный порошок, получаемые при переработке масличных семян горчицы, и устанавливает метод определения аллилизотиоцианатов (аллилового масла).
Метод основан на ферментативном расщеплении синегрина, отгонке выделившегося аллилизотиоцианата в раствор гидроокиси аммония и титровании образовавшихся производных тиомочевины раствором марганцовокислого калия.
(Измененная редакция, Изм. N 2).
1. Метод отбора проб
1.1. Отбор проб проводят по ГОСТ 13979.0.
Разд. 2. (Исключен, Изм. N 2).
3. Ускоренный метод определения содержания аллилового масла для оперативного контроля
3.1. Аппаратура, реактивы и материалы
Весы лабораторные по ГОСТ 24104* 2-го класса точности с погрешностью взвешивания 0, 0001 г.
──────────────────────────────
* С 1 июля 2002 г. вводится в действие ГОСТ 24104-2001 (здесь и далее).
Весы лабораторные по ГОСТ 24104 4-го класса точности с погрешностью взвешивания не более 0, 01 г.
Шкаф сушильный лабораторный с терморегулятором, обеспечивающим погрешность температуры не более 3 °С.
Мельница лабораторная.
Плитка электрическая.
Сито с отверстиями диаметром 0, 25 мм.
Термометр лабораторный 1-А(Б) 2 по ГОСТ 28498.
Термометр контактный.
Реле.
Колбы конические КН-1-500-29/32 ТХС по ГОСТ 25336.
Колбы мерные 2-500-2; 2-1000-2 по ГОСТ 1770.
Бюретка 6-1(2)-5 по НТД.
Бюретка 1(2)-1(2)-25(50) по НТД.
Пипетки 1-1-2; 6(7)-1(2)-5; 2-1-50 по НТД.
Цилиндры 1(3)-2(50, 100) по ГОСТ 1770.
Воронки B-36(56)-80 ХС по ГОСТ 25336.
Ступка фарфоровая с пестиком.
Фильтр ФКП-40 пор 100 ХС по ГОСТ 25336.
Шарики стеклянные диаметром 5 мм или фарфоровые осколочки.
Стаканчики СВ-14/8, 19/9 по ГОСТ 25336.
Вата стеклянная.
Установка для определения, состоящая из:
колбонагревателя с закрытым обогревом;
колбы круглодонной К-1-500-29/32 ТХС по ГОСТ 25336;
переходной трубки;
холодильника ХПТ-1-300(400)-14/23 ХС по ГОСТ 25336;
насадки;
колб конических КН-1-250-29/32 ТХС по ГОСТ 25336.
Аммиак водный по ГОСТ 3760, раствор с массовой долей 15 %.
Кислота серная, х.ч. или ч.д.а. по ГОСТ 4204.
Калий марганцовокислый по ГОСТ 20490, раствор с (KMnO4) = 0, 1 моль/дм3.
Натрий фтористый по ГОСТ 4463.
Калий йодистый по ГОСТ 4232.
Натрий серноватистокислый (тиосульфат натрия) х.ч., ч.д.а. по ГОСТ 27068, раствор с (Na2S2O3) = 0, 1 моль/дм3.
Иод по ГОСТ 4159.
Крахмал растворимый по ГОСТ 10163, растворы с массовой долей 0, 5, 1 %.
Натрий углекислый по ГОСТ 83.
Натрия гидроокись по ГОСТ 4328, раствор с массовой долей 40 %.
Натрий щавелевокислый, х.ч. по ГОСТ 5839, перекристаллизованный.
РН-бумага универсальная индикаторная по ТУ 6-09-1181.
Спирт этиловый, ректификованный, технический по ГОСТ 18300.
Спирт амиловый по ТУ 6-09-3467.
Асбест.
Бумага фильтровальная по ГОСТ 12026.
Фильтры бумажные с красной полосой по ТУ 6-09-1676.
Вода дистиллированная по ГОСТ 6709.
3.2. Подготовка к анализу
3.2.1. Для приготовления водного раствора марганцовокислого калия с (KMnO4) = 0, 1 моль/дм3, 3, 16 г KMnO4, взвешенного на весах 2-го класса точности, растворяют в 1000 см3 дистиллированной воды, доводят раствор до кипения и оставляют на 1 ч при температуре, близкой к кипению, закрыв горло колбы конической воронкой.
При выпадении осадка MnO2, его отделяют фильтрованием через пористый фильтр или стеклянную вату и устанавливают массовую концентрацию раствора по щавелевокислому натрию или по тиосульфату натрия, как описано ниже.
3.2.2. Для перекристаллизации щавелевокислого натрия навеску массой 15 г, взвешенную на весах 4-го класса точности, растворяют в 500 см3 дистиллированной воды, затем подщелачивают (доводя до рН 9-10) 100 см3 раствора гидроокиси натрия и дают осесть не растворимым в воде веществам. Затем раствор фильтруют и выпаривают до 1/10 первоначального объема; при этом выпадают кристаллы оксалата натрия. Осадок отделяют фильтрацией через бумажный фильтр, помещают в ступку и, растерев в порошок, промывают прямо в ступке два раза дистиллированной водой. Осадок щавелевокислого натрия подсушивают между листами фильтровальной бумаги и высушивают при температуре 240-250 °С в сушильном шкафу.
3.2.3. Для определения массовой концентрации марганцовокислого калия по щавелевокислому натрию на весах 2-го класса точности взвешивают навеску перекристаллизованного щавелевокислого натрия массой 0, 2-0, 25 г в коническую колбу вместимостью 250 см3. Навеску растворяют в 100 см3 дистиллированной воды, нагретой до 80-90 °С, добавляют 10 см3 раствора серной кислоты (H2O+H2SO4) 1:1 и медленно титруют раствором марганцовокислого калия с (KMnO4) = 0, 1 моль/дм3 до слабо-розового окрашивания, не исчезающего в течение 1 мин.
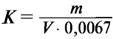
Поправку к массовой концентрации раствора KMnO4 K вычисляют по формуле

,
где m - масса щавелевокислого натрия, г;
V - объем раствора с (KMnO4) = 0, 1 моль/дм3, израсходованный на титрование щавелевокислого натрия, см3;
0, 0067 - масса щавелевокислого натрия, эквивалентная 1 см3 раствора с (KMnO4) = 0, 1 моль/дм3, г.
3.2.4. Для приготовления раствора тиосульфата натрия концентрацией с (Na2S2O3) = 0, 1 моль/дм3 на весах 2-го класса точности берут навеску тиосульфата натрия массой 25 г и растворяют при комнатной температуре в 1000 см3 свежепрокипяченной и охлажденной дистиллированной воды. К полученному раствору добавляют 0, 2 г углекислого натрия (соды), взвешенного на весах 4-го класса точности, и оставляют стоять 10-15 дней, после чего определяют его массовую концентрацию.
3.2.5. Для определения массовой концентрации тиосульфата натрия на весах 2-го класса точности берут навеску йодистого калия (не содержащего иодата) массой 2-2, 5 г в маленькую стеклянную бюксу с пришлифованной пробкой. К навеске приливают 0, 5 см3 дистиллированной воды. Так как растворение йодистого калия в воде сопровождается сильным понижением температуры, то перед взвешиванием бюксу выдерживают 15 мин в весовом шкафу. Если снаружи бюкса покроется влагой, влагу снимают фильтровальной бумагой и затем взвешивают. Отдельно на весах 4-го класса точности взвешивают около 0, 4-0, 5 г йода и осторожно переносят его во взвешенную бюксу с раствором йодистого калия. Бюксу закрывают крышкой и снова взвешивают. Массу внесенного йода рассчитывают по разнице между массой бюксы с раствором йодистого калия и йода и массой бюксы с раствором йодистого калия. Взвешенную бюксу переносят в коническую колбу вместимостью 500 см3 с пришлифованной пробкой. Для этого закрытую бюксу вводят в горло наклоненной колбы, содержащей 200 см3 дистиллированной воды и около 1 г йодистого калия, взвешенного на весах 4-го класса точности. В момент опускания бюксы на дно колбы снимают крышку с бюксы, которую также опускают в колбу. Полученный таким образом раствор йода титруют раствором тиосульфата натрия с (Na2S2O3) = 0, 1 моль/дм3 до соломенно-желтой окраски. Затем добавляют 1, 5-2, 0 см3 раствора крахмала с массовой долей 1 % и титруют до полного обесцвечивания раствора.
Коэффициент поправки (K1) раствора тиосульфата натрия вычисляют по формуле

,
где m - масса навески йода, г;
V - объем раствора тиосульфата натрия с (Na2S2O3) = 0, 1 моль/дм3, см3;
0, 01269 - масса йода, соответствующая 1 см3 раствора тиосульфата натрия с (Na2S2O3) = 0, 1 моль/дм3, г.
3.2.6. Для определения массовой концентрации марганцовокислого калия по тиосульфату натрия на весах 2-го класса точности берут навеску йодистого калия около 2 г и помещают в коническую колбу вместимостью 500 см3 с пришлифованной пробкой. В колбу добавляют 15 см3 дистиллированной воды, 10 см3 серной кислоты (1:5), из бюретки приливают 25-30 см3 раствора марганцовокислого калия, разбавляют дистиллированной водой до 200 см3 и выделившийся йод титруют тем же раствором тиосульфата натрия до соломенно-желтого окрашивания раствора. Затем добавляют 1 см3 раствора крахмала с массовой долей 1 % и продолжают титрование до обесцвечивания раствора.
Параллельно проводят холостое титрование. Для этого в коническую колбу с притертой пробкой помещают 25-30 см3 дистиллированной воды, 5 см3 раствора серной кислоты (1:5), 2 г йодистого калия, взвешенного на весах 2-го класса точности. Смесь хорошо перемешивают, разбавляют водой до 200 см3 и выделившийся йод титруют раствором тиосульфата натрия в присутствии раствора крахмала с массовой долей 0, 5 % так же, как пробу.
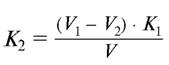
Коэффициент поправки (K2) к массовой концентрации раствора марганцовокислого калия вычисляют по формуле

,
где V1 - объем раствора тиосульфата натрия с (Na2S2O3) = 0, 1 моль/дм3, израсходованный на титрование пробы, см3;
V2 - объем раствора тиосульфата натрия с (Na2S2O3) = 0, 1 моль/дм3, израсходованный на титрование холостой пробы, см3;
K1 - коэффициент поправки раствора тиосульфата натрия;
V - объем раствора марганцовокислого калия, израсходованный на титрование, см3.
3.2.7. Из средней пробы образца на весах 4-го класса точности взвешивают 50-60 г исследуемого продукта, измельчают на лабораторной мельнице и просеивают через сито с диаметром отверстий 0, 25 мм до прохода 80 % от массы пробы. В пробе предварительно определяют массовую долю влаги и летучих веществ по ГОСТ 13979.1.
3.3. Проведение анализа
Установка для определения изотиоцианатов
1 - колбонагреватель; 2 - круглодонная колба; 3 - переходная трубка; 4 - холодильник; 5 - насадка; 6, 7 - приемные колбы
3.3.1. В круглодонную колбу вместимостью 500 см3 помещают навеску измельченного по п. 3.2.6 продукта, массой около 5 г, взвешенную на весах 4-го класса точности. К навеске добавляют 300 см3 дистиллированной воды, 20 см3 этилового спирта и 1 г фтористого натрия, взвешенного на весах 4-го класса точности.
При анализе горчичного порошка или жмыха, прошедших тепловую обработку, этиловый спирт вносят после гидролиза синегрина.
3.3.2. При анализе шрота в колбу к навеске шрота добавляют 300 см3 дистиллированной воды, 1 г фтористого натрия, 20 см3 этилового спирта и 2, 5 г семян горчицы с известным содержанием аллилизотиоцианата.
3.3.3. Горло колбы плотно закрывают пробкой, содержимое колбы перемешивают взбалтыванием и проводят ферментативное расщепление тиоглюкозидов в течение 2, 5-3 ч при температуре 18-22 °С.
По окончании ферментирования колбу 2 ставят на колбонагреватель 1 в соответствии с чертежом, укутывают асбестом и присоединяют к холодильнику 4 установки с помощью переходной трубки 3.
При анализе жмыхов и шротов в колбу, во избежание вспенивания и перебросов, добавляют несколько стеклянных шариков и 0, 5 см3 амилового спирта.
К нижнему концу трубки холодильника через насадку 5 присоединяют последовательно две колбы вместимостью 250 см3, приемную 6, контрольную 7. В приемную колбу приливают 30 см3, а в контрольную 15 см3 водного раствора аммиака плотностью 0, 942 кг/м3.
На приемной колбе делают отметку, соответствующую объему жидкости 200 см3. Концы присоединенных с помощью шлифов к колбам 6 и 7 трубок насадки 5 должны быть погружены в раствор аммиака.
3.3.4. Включают колбонагреватель и отгоняют около 170 см3 воды вместе с летучими изотиоцианатами в приемную колбу. Затем продолжают отгонку еще 2-3 мин.
Летучие изотиоцианаты в приемной колбе связываются с аммиаком с образованием нелетучих тиопроизводных.
3.3.5. По окончании отгонки отсоединяют вместе с насадкой приемную и контрольную колбы, а затем выключают колбонагреватель. Это необходимо для предотвращения обратного засасывания дистиллята в холодильник и реакционную колбу.
Холодильник промывают 2-3 см3 дистиллированной воды, собирая промывные воды в приемную колбу.
Содержимое приемной и контрольной колб переносят в мерную колбу вместимостью 500 см3, колбы ополаскивают водой и промывные воды приливают в ту же колбу. Доводят объем жидкости в мерной колбе дистиллированной водой до 500 см3, тщательно перемешивают и используют для определения изотиоцианатов.
3.3.6. Из мерной колбы отбирают 50 см3 дистиллята, вносят в коническую колбу вместимостью 250 см3 и добавляют 2, 5 см3 концентрированной серной кислоты. Подготовленную пробу титруют раствором марганцовокислого калия с (KMnO4) = 0, 1 моль/дм3 до появления слабо-розовой, не исчезающей в течение 3-5 с окраски.
3.4. Обработка результатов
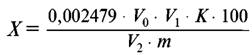
3.4.1. Массовую долю аллилизотиоцианата (АИТЦ) в горчичном порошке в процентах рассчитывают на абсолютно сухое вещество по формуле

,
где 0, 002479 - масса аллилизотиоцианата, эквивалентная 1 см3 раствора с (KMnO4) = 0, 1 моль/дм3, г;
V0 - объем раствора KMnO4, израсходованный на титрование пробы, см3;
V1 - исходный объем дистиллята, см3;
V2 - объем дистиллята, израсходованный на титрование, см3;
K - поправка к концентрации раствора KMnO4;
m - масса анализируемого образца, г;
W - массовая доля влаги и летучих веществ в анализируемом образце, %.
3.4.2. При анализе жмыха или шрота сначала вычисляют массовую долю аллилизотиоцианата, (X) в процентах, содержащегося в семенах, внесенных в жмых и шрот, при фактической масличности и влажности по формуле

.
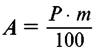
Затем количество аллилизотиоцианата (А) в граммах, внесенное с этими семенами в анализируемую пробу, вычисляют по формуле

,
где P - масса семян, г;
m - массовая доля аллилизотиоцианата в семенах, использованных для анализа, рассчитанная при фактической масличности и влажности, %.
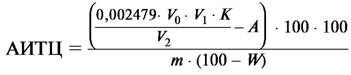
Массовую долю аллилизотиоцианата в жмыхе и шроте (АИТЦ) в процентах рассчитывают на абсолютно сухое вещество по формуле

,
где 0, 002479 - масса аллилизотиоцианата, эквивалентная 1 см3 раствора с (KMnO4) = 0, 1 моль/дм3, г;
V0 - объем раствора KMnO4, израсходованный на титрование пробы, см3;
V1 - исходный объем дистиллята, см3;
V2 - объем дистиллята, израсходованный на титрование, см3;
K - поправки к концентрации раствора KMnO4;
A - масса аллилизотиоцианата, внесенного с семенами в качестве фермента, г;
m - масса анализируемого образца, г;
W - массовая доля влаги и летучих веществ в анализируемом образце, %.
3.4.3. За окончательный результат анализа принимают среднее арифметическое результатов двух параллельных определений.
Расхождение между двумя параллельными определениями не должно превышать 0, 05 %.
Все вычисления проводят с точностью до третьего десятичного знака и округляют до второго десятичного знака.
Разд. 3. (Измененная редакция, Изм. N 2).
Разд. 4. (Исключен, Изм. N 2).