Введен в действие постановлением Комитета Российской Федерации по стандартизации, метрологии и сертификации от 10 октября 1995 г. N 534
Межгосударственный стандарт ГОСТ 13979.2-94
"ЖМЫХИ, ШРОТЫ И ГОРЧИЧНЫЙ ПОРОШОК. МЕТОД ОПРЕДЕЛЕНИЯ МАССОВОЙ ДОЛИ ЖИРА И ЭКСТРАКТИВНЫХ ВЕЩЕСТВ"
Oilcakes, oilmeals and powdered mustard seed cake. Method for determination of oil and extractive substances mass fraction
Дата введения - 1 июля 1996 г.
Взамен ГОСТ 13979.2-68,
кроме раздела 1
Информационные данные
Ссылочные нормативно-технические документы
|
Обозначение НТД, на который дана ссылка
|
Номер раздела, пункта
|
|
ГОСТ 5556-81
|
2
|
|
ГОСТ 12026-76
|
2
|
|
ГОСТ 13496.15-97
|
Вводная часть
|
|
ГОСТ 13979.0-86
|
1.1
|
|
ГОСТ 13979.1-68
|
5.2
|
|
ГОСТ 24104-88
|
2
|
|
ГОСТ 25336-82
|
2
|
|
ТУ 6-02-1244-83
|
2
|
|
ТУ 75-06804-97-90
|
2
|
Предисловие
1 Разработан МТК 238
Внесен Госстандартом Российской Федерации
2 Принят Межгосударственным Советом по стандартизации, метрологии и сертификации (протокол N 6-94 от 21 октября 1994 г.)
За принятие проголосовали:
|
Наименование государства
|
Наименование национального органа по стандартизации
|
|
Азербайджанская Республика
|
Азгосстандарт
|
|
Республика Армения
|
Армгосстандарт
|
|
Республика Беларусь
|
Госстандарт Беларуси
|
|
Грузия
|
Грузстандарт
|
|
Республика Казахстан
|
Госстандарт Республики Казахстан
|
|
Киргизская Республика
|
Киргизстандарт
|
|
Республика Молдова
|
Молдовастандарт
|
|
Российская Федерация
|
Госстандарт России
|
|
Республика Узбекистан
|
Узгосстандарт
|
|
Украина
|
Госстандарт Украины
|
3 Постановлением Комитета Российской Федерации по стандартизации, метрологии и сертификации от 10 октября 1995 г. N 534 ГОСТ 13979.2-94 введен в действие непосредственно в качестве государственного стандарта Российской Федерации с 1 июля 1996 г.
4 Взамен ГОСТ 13979.2-68, кроме раздела 1
5 Переиздание
Настоящий стандарт распространяется на жмыхи, шроты и горчичный порошок, получаемые при переработке масличных семян, и устанавливает метод определения массовой доли жира и экстрактивных веществ.
Метод основан на извлечении сырого жира и экстрактивных веществ из измельченного продукта исчерпывающей экстракцией с помощью растворителя при определенных условиях в аппарате Зайченко.
Применение метода предусматривается в стандартах и технических условиях, устанавливающих технические требования на жмыхи, шроты и горчичный порошок.
Наряду с методом, изложенным в настоящем стандарте, для этих же целей применяют метод определения массовой доли жира и экстрактивных веществ в жмыхах, шротах и горчичном порошке, изложенный в ГОСТ 13496.15.
1 Отбор проб
1.1 Отбор проб - по ГОСТ 13979.0.
2 Аппаратура, реактивы и материалы
Аппарат Зайченко по нормативно-технической документации в соответствии с рисунком.
Аппарат Сокслета, состоящий из;
насадки НЭТ-250 ТС по ГОСТ 25336;
холодильника ХШ-1-200-29/32 ХС по ГОСТ 25336;
колбы П-1-250-29/32 по ГОСТ 25336.
Аппарат для отгонки растворителя, состоящий из:
холодильника ХПТ 1(2)-300(400)-14/23(29/32) ХС по ГОСТ 25336;
насадки Н 1-19/26-14/23 ТС по ГОСТ 25336;
алонжа АИ-19/26-60 ТС по ГОСТ 25336;
колбы Кн 1(2)-250-29/32(18) ТС по ГОСТ 25336.
Шкаф сушильный с терморегулятором, обеспечивающий поддержание температуры в интервале 0 - 110°С при отклонениях температуры от номинального значения ±3°С.
Весы лабораторные 2-го класса точности с наибольшим пределом взвешивания 200 г по ГОСТ 24104*.
Эксикатор 2-180(230, 290) по ГОСТ 25336.
Баня водяная с выносным обогревом.
Измельчитель механический или мельница электрическая лабораторная или бытовая с числом оборотов не менее 5000 мин-1, обеспечивающие измельчение зерновых и масличных культур до состояния 80 - 90% прохода частиц через указанное ниже сито.
Сито металлическое из набора лабораторных сит с отверстиями диаметром 0, 25 мм
Колбы Кн 1(2)-250-29/32(18) по ГОСТ 25336.
Воронки В-36(56)-80 ХС или ВФ 1-56(75) ХС по ГОСТ 25336.
Стекло часовое.
Пинцет.
Шпатель.
Болванка деревянная диаметром 25 - 26 мм, высотой 150 мм.
Бумага фильтровальная лабораторная по ГОСТ 12026.
Вата гигроскопическая по ГОСТ 5556.
Эфир петролейный (фракция, выкипающая при температуре 40 - 55°С) по ТУ 6-02-1244.
Эфир диэтиловый, высушенный над свежепрокаленным хлористым кальцием и перегнанный при температуре 34, 5 - 36°С, по ТУ 75-06804-97.
Допускается применение аппаратуры, реактивов и материалов, по качеству и характеристикам не уступающих перечисленным выше.
Экстракционный аппарат Зайченко
3 Подготовка к измерению
3.1 Из средней пробы отбирают около 50 г продукта и измельчают. Измельченный продукт просеивают через сито с отверстиями диаметром 0, 25 мм. Остаток на сите вновь измельчают до прохода через указанное сито. Трудно измельчаемый остаток на сите (лузгу или шелуху) после измельчения всей ядровой части добавляют к проходу через сито.
Примечание. С целью обмасливания измельчителя предварительно измельчают небольшое количество анализируемого продукта, который затем отбрасывают.
3.2 Вату и фильтровальную бумагу предварительно обезжиривают экстракцией в аппарате Сокслета в течение 2 - 3 ч тем же растворителем, который применяют для определения жира в продукте.
Перед обезжириванием в аппарате Сокслета фильтровальную бумагу нарезают размером 185 х 75 мм, свертывают в трубку и перевязывают ниткой. Вату тоже сворачивают в рулон такой же формы и тоже перевязывают ниткой. Затем помещают в отдельные экстракторы. В колбу аппарата заливают растворитель не более 2/3 объема и присоединяют к холодильнику. Экстракцию ведут на водяной или паровой бане. После обезжиривания бумагу и вату пинцетом вынимают из экстрактора, оставляют на чистой бумаге или чашке Петри в вытяжном шкафу для полного удаления растворителя.
3.3 Патрон для экстракции готовят из листа проэкстрагированной по п. 3.2 фильтровальной бумаги следующим образом: на деревянную болванку навертывают фильтровальную бумагу так, чтобы с одной стороны болванки край бумаги выступал на 20 - 25 мм, эту часть загибают пинцетом по мере завертывания ее на болванку. Затем патрон снимают с болванки, на дно патрона кладут кусочек проэкстрагированной ваты.
3.4 Хлопковые жмыхи и шроты экстрагируют только петролейным эфиром. Жмыхи и шроты всех остальных масличных культур, а также горчичный порошок экстрагируют диэтиловым эфиром.
4 Проведение измерения
4.1 В подготовленный по п. 3.3 патрон берут навеску анализируемого продукта массой около 5 г, округляя результат взвешивания до третьего десятичного знака. Поверх навески кладут кусочек обезжиренной ваты и подворачивают складками свободный край бумаги так, чтобы закрыть лежащую в верхней части патрона вату.
На дно экстрактора помещают два кружка фильтровальной бумаги диаметром, равным внутреннему диаметру экстрактора. В экстрактор помещают приготовленный патрон. Патрон должен входить в экстрактор свободно, без трения, так как в противном случае экстракция идет медленно.
4.2 Загруженный экстрактор подвешивают к холодильнику с помощью двух проволочных ушек и присоединяют высушенную и взвешенную приемную колбу, в которую наливают 30 - 40 см3 эфира. Экстрактор подвешивают так, чтобы нижний край его не касался растворителя, в противном случае на стенках экстрактора по окончании экстракции останется часть жира.
Экстракцию ведут на водяной бане в продолжение 4 ч для жмыхов, 3 ч - для шротов, не менее 6 ч - для горчичного порошка.
По истечении указанного срока для проверки полноты экстракции на часовое стекло или шлиф колбы помещают каплю стекающего из экстрактора растворителя. Если после испарения эфира на часовом стекле или шлифе колбы не останется жира, то экстракцию прекращают.
Колбу переносят на другую водяную баню, присоединяют к аппарату для отгонки растворителя, отгоняют эфир, собирая его в приемник.
Если раствор эфира после экстракции окажется мутным, то его необходимо профильтровать и фильтр тщательно промыть свежим растворителем. Фильтрацию проводят в предварительно высушенную и взвешенную колбу.
4.3 По окончании отгонки эфира для удаления следов растворителя колбу выдерживают на водяной бане в наклонном положении 5 - 10 мин, периодически поворачивая ее. Далее колбу с маслом помещают в сушильный шкаф и сушат при 100 - 105°С до постоянной массы.
Первое взвешивание проводят через 1 ч, последующие - через 30 мин.
При определении масличности жмыха и шрота из копры и пальмовых ядер сушку масла проводят при 60 - 70°С. Первое и последующие взвешивания проводят через 1 ч.
5 Обработка результатов
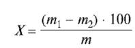
5.1 Массовую долю сырого жира и экстрактивных веществ (X) в процентах вычисляют по формуле

,
где m - масса испытуемого продукта, г;
m1 - масса колбы с маслом, г;
m2 - масса пустой колбы, г.
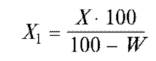
5.2 Массовую долю жира и экстрактивных веществ в пересчете на абсолютно сухое вещество (X1) в процентах вычисляют по формуле

,
где X - массовая доля сырого жира и экстрактивных веществ испытуемого продукта при фактической влажности, %;
W - влажность испытуемого продукта, определенная по ГОСТ 13979.1, п. 3, в навеске измельченного продукта, взятой одновременно с навеской для определения массовой доли сырого жира и экстрактивных веществ, %.
5.3 За окончательный результат измерения принимают среднее арифметическое результатов двух измерений, абсолютные расхождения между которыми не должны превышать 0, 4% при доверительной вероятности 0, 95.
Абсолютные расхождения между результатами измерений, полученными в разных условиях (в разное время, с применением другой аппаратуры, в разных лабораториях) не должны превышать 0, 8% при доверительной вероятности 0, 95.
Результаты вычисляют с точностью до третьего десятичного знака и округляют до второго десятичного знака.
_______________________________
* С 1 июля 2002 г. вводится в действие ГОСТ 24104-2001.