ГОСТ Р ИСО 17497-1-2011 АКУСТИКА. ЗВУКОРАССЕИВАЮЩИЕ СВОЙСТВА ПОВЕРХНОСТЕЙ. Часть 1. ИЗМЕРЕНИЕ КОЭФФИЦИЕНТА РАССЕЯНИЯ ПРИ СЛУЧАЙНЫХ УГЛАХ ПАДЕНИЯ ЗВУКОВОЙ ВОЛНЫ В РЕВЕРБЕРАЦИОННОЙ КАМЕРЕ
Acoustics. Sound-scattering properties of surfaces. Part 1. Measurement of the random-incidence scattering coefficient in a reverberation room
Дата введения - 1 декабря 2012 г.
Введен впервые
Предисловие
Цели и принципы стандартизации в Российской Федерации установлены Федеральным законом от 27 декабря 2002 г. N 184-ФЗ "О техническом регулировании", а правила применения национальных стандартов Российской Федерации - ГОСТ Р 1.0-2004 "Стандартизация в Российской Федерации. Основные положения"
Сведения о стандарте
1 Подготовлен Автономной некоммерческой организацией "Научно-исследовательский центр контроля и диагностики технических систем" (АНО "НИЦ КД") на основе собственного аутентичного перевода на русский язык стандарта, указанного в пункте 4
2 Внесен Техническим комитетом по стандартизации ТК 358 "Акустика"
3 Утвержден и введен в действие приказом Федерального агентства по техническому регулированию и метрологии от 24 ноября 2011 г. N 593-ст
4 Настоящий стандарт идентичен международному стандарту ИСО 17497-1:2004 "Акустика. Звукорассеивающие свойства поверхностей. Часть 1. Измерение коэффициента рассеяния при случайных углах падения звуковой волны в реверберационной камере" (ISO 17497-1:2004 "Acoustics - Sound-scattering properties of surfaces - Part 1: Measurement of the random-incidence scattering coefficient in a reverberation room").
При применении настоящего стандарта рекомендуется использовать вместо ссылочных международных стандартов соответствующие им национальные стандарты Российской Федерации и межгосударственные стандарты, сведения о которых приведены в дополнительном приложении ДА
5 Введен впервые
Введение
Интенсивность рассеяния звуковых волн при отражении от поверхностей имеет большое значение во всех областях применения акустики помещений, например в концертных залах, студиях звукозаписи, производственных зданиях и реверберационных камерах. Недостаточное рассеяние может приводить к большому отклонению от экспоненциального закона спада уровня звукового давления. С другой стороны, почти диффузное звуковое поле может быть получено при наличии в помещении сильно рассеивающих поверхностей. Характер рассеяния в помещении является важным фактором акустического качества помещения.
В настоящем стандарте вводится новое понятие коэффициента рассеяния. Вместе с коэффициентом звукопоглощения коэффициент рассеяния может оказаться полезным в расчетах, моделировании и прогнозировании акустики помещений. Известно, что моделирование рассеяния на поверхностях играет важную роль для надежного прогнозирования акустики помещений. В настоящем стандарте представлен метод измерений, позволяющий получить количественную оценку звукорассеивающих свойств поверхности и заменяющий ранее использовавшиеся, но не общепринятые методы оценивания.
Исследования по определению характеристик акустических материалов координировались с рабочей группой AES SC-04-02 общества Audio Engineering Society. Данная группа обратила особое внимание на разработку метода измерений диффузного коэффициента направленности, отличающегося от реверберационного коэффициента рассеяния (но связанного с ним). В то время как коэффициент рассеяния является грубой мерой, описывающей степень рассеяния звука, диффузный коэффициент направленности описывает однородность рассеяния по направлениям, т.е. качество рассеивающей поверхности. Следовательно, оба указанные понятия являются необходимыми и имеют различное назначение.
Настоящий стандарт устанавливает метод измерения коэффициента рассеяния при случайных углах падения звуковых волн на неровную поверхность. Измерения проводят в реверберационной камере в условиях натурных испытаний либо на физической масштабной модели. Результаты измерений показывают, насколько закономерности отражения звука от поверхности отличаются от законов зеркального отражения звука. Результаты измерений могут быть применены для сравнительного анализа при проектировании в области акустики помещений и защиты от шума.
Данный метод не применим для оценки пространственной неоднородности рассеянного поверхностью звука.
В настоящем стандарте использованы нормативные ссылки на следующие стандарты. Недатированную ссылку относят к последней редакции ссылочного стандарта, включая его изменения.
ИСО 354 Акустика. Измерение звукопоглощения в реверберационной камере (ISO 354, Acoustics - Measurement of sound absorption in a reverberation room)
ИСО 9613-1 Акустика. Затухание звука при распространении на местности. Часть 1. Расчет поглощения звука атмосферой (ISO 9613-1, Acoustics - Attenuation of sound during propagation outdoors - Part 1: Calculation of the absorption of sound by the atmosphere)
В настоящем стандарте применены термины и определения по ИСО 354, а также следующие термины с соответствующими определениями:
3.1 зеркальное отражение (specular reflection): Отражение в соответствии с законом Снеллиуса, согласно которому угол отражения равен углу падения.
Примечание - Зеркальное отражение можно получить от почти плоской жесткой поверхности, размеры которой намного превышают длину падающей звуковой волны.
3.2 диффузное звуковое поле (diffuse sound field): Звуковое поле, интенсивность которого при падении звуковых волн на плоскую поверхность равномерно распределена по всем телесным углам из полусферы, опирающейся на поверхность.
3.3 коэффициент рассеяния sθ (scattering coefficient): Величина, вычисляемая как разность единицы и отношения энергии зеркально отраженного звука к суммарной энергии отраженного звука.
Примечание - Теоретически sθ может принимать значения от 0 до 1, причем 0 соответствует идеальной зеркально отражающей поверхности, 1 - идеальной рассеивающей поверхности. Индекс θ обозначает угол падения звуковой волны относительно нормали к поверхности. В случае отсутствия данного индекса подразумевают падение звуковых волн под случайными углами.
3.4 реверберационный коэффициент рассеяния s (random-incidence scattering coefficient): Величина, вычисляемая как разность единицы и отношения энергии зеркально отраженного звука к суммарной энергии отраженного звука в диффузном звуковом поле.
3.5 реверберационный коэффициент звукопоглощения αs (random-incidence absorption coefficient): Величина, вычисляемая как разность единицы и отношения суммарной энергии отраженного звука к энергии падающих на поверхность звуковых волн в диффузном звуковом поле.
3.6 реверберационный коэффициент зеркального звукопоглощения αspec (random-incidence specular absorption coefficient): Величина, вычисляемая как разность единицы и отношения энергии зеркально отраженного звука к энергии падающих на поверхность звуковых волн в диффузном звуковом поле.
Примечание - Если потери включают в себя энергию как рассеянного, так и поглощенного звука, то указанный коэффициент есть кажущийся коэффициент звукопоглощения. Коэффициент αspec может принимать значения от αs до 1.
3.7 масштаб 1:N (physical scale ratio): Отношение какого-либо линейного размера масштабной физической модели к тому же размеру в условиях натурных испытаний.
Примечание - При акустических измерениях длина звуковой волны в физической модели преобразуется в соответствии с ее масштабом. Так, если скорость звука одинакова в модели и в объекте, то частоты, используемые при проведении измерений в модели, будут в N раз больше, чем частоты при натурных испытаниях.
Принцип метода измерения лучше всего может быть пояснен на примере явлений отражения и рассеяния во временной области. На рисунке 1 изображены три узкополосных импульса, отраженных от неровной поверхности при разной ориентации ее в свободном звуковом поле.

Рисунок 1 - Отражения узкополосного импульса, измеренные при трех разных ориентациях отражающей поверхности
Очевидно, что начальные участки отражений сильно коррелированны. Когерентные отражения соответствуют зеркальной компоненте отражения. Но более поздние участки отражений не синфазны и сильно зависят от ориентации поверхности. Энергия в "хвосте" отраженного импульса включает в себя в основном энергию рассеянного излучения.
Метод измерения основан на определении энергии зеркального отражения из отраженных импульсов путем синхронного (фазированного) усреднения импульсных откликов, полученных для разных ориентации поверхности.
Данный принцип может быть применен при измерениях в реверберационной камере. Круглый образец испытуемой поверхности размещают на поворотном столе и в отличие от обычных измерений коэффициента звукопоглощения регистрируют импульсные отклики для различных ориентации образца. При синхронном усреднении импульсных откликов звукового давления зеркально отраженные их компоненты суммируются в фазе, тогда как рассеянные звуковые волны, интерферируя, исчезают.
Полагая составляющие рассеянного излучения статистически независимыми, можно показать (см. [1]), что после синхронного суммирования n импульсных переходных характеристик помещения начальный спад обусловлен совокупным действием поглощения и кажущейся потерей энергии вследствие рассеяния звука на образце поверхности.
Измерения в условиях натурных испытаний следует выполнять в 1/3-октавных полосах частот со среднегеометрическими частотами в диапазоне от 100 до 5000 Гц. Если измерения проводят в масштабе 1:N, то среднегеометрические частоты должны находиться в диапазоне от N х 100 Гц до N х 5000 Гц.
Примечания
1 Если в масштабной модели применяют газ, скорость звука в котором отличается от скорости звука в атмосфере, то измерительные частоты должны быть выбраны таким образом, чтобы длины волн соответствовали масштабу 1:N.
2 Измерения на самых высоких частотах не выполняют, если затухание в воздухе для них достаточно велико (см. 6.1.3).
6.1 Реверберационная камера
6.1.1 Общие положения
Требования к реверберационной камере установлены в ИСО 354. Рассеивающие элементы должны находиться в фиксированных положениях; т.е. применение диффузоров типа вращающихся лопастей не допускается. Помещение камеры и находящиеся в нем объекты, по возможности, не должны изменять своих свойств и местоположения. Температура и относительная влажность воздуха являются важными параметрами (см. 7.4). Любые устройства подобные системам вентиляции, вызывающие перемещение воздуха в помещении или изменение его состояния, должны быть отключены.
6.1.2 Объем реверберационной камеры
Объем V, м3, реверберационной камеры должен быть не менее V≥200×N-3.
6.1.3 Звукопоглощение пустой камеры
Эквивалентная площадь звукопоглощения пустой камеры A1, включая поглощение звука воздухом, не должна превышать A1≤0, 30×V2/3.
Примечание - Требования, налагаемые на размер образца испытуемой поверхности в соответствии с 6.3.1, приводят к дополнительному ограничению: A1/S<1, где S - площадь испытуемой поверхности.
6.2 Поворотный стол и опорная плита
Для вращения образца поверхности требуется круглый жесткий поворотный стол. Стол должен быть симметричным относительно оси вращения. Его размеры должны соответствовать максимальному размеру образца (см. 6.3).
Ни одна из частей поворотного стола не должна находиться ближе чем N-1×1, 0 м к ограждениям камеры (см. рисунок 2).
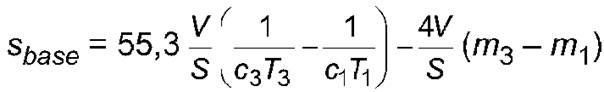
Для проверки качества испытательной установки следует определить реверберационный коэффициент рассеяния поверхности стола (см. 8.1.4). Он не должен превышать значений, указанных в таблице 1.

Рисунок 2 - План реверберационной камеры с поворотным столом для образца испытуемой поверхности
|
Частота f/N, Гц |
100 |
125 |
160 |
200 |
250 |
315 |
400 |
500 |
630 |
|
Коэффициент рассеяния sbase |
0, 05 |
0, 10 | |||||||
|
Частота f/N, Гц |
800 |
1000 |
1250 |
1600 |
2000 |
2500 |
3150 |
4000 |
5000 |
|
Коэффициент рассеяния sbase |
0, 10 |
0, 15 |
0, 20 |
0, 25 | |||||
6.3 Образец испытуемой поверхности
6.3.1 Площадь поверхности
Площадь поверхности должна быть максимально возможной для обеспечения необходимой точности измерений. Образец должен представлять собой диск диаметром не менее N-1 х 3, 0 м.
Допускается образец квадратной формы с размером стороны не менее N-1 х 2, 65 м. В данном случае поворотный стол должен иметь диаметр не менее N-1 х 3, 75 м. Если образец не является диском, то он не должен выступать за пределы поворотного стола.
6.3.2 Высота неровностей образца испытуемой поверхности
Поскольку метод применим к неровным поверхностям, то результаты измерений будут надежными только в случае, когда высота неровностей поверхности существенно меньше размеров образца. Высота неровностей должна быть h≤d/16, где d - диаметр образца, м.

Рисунок 3 - Определение высоты неровностей испытуемой поверхности
Примечание - Из-за изменений высоты на кромке образца могут иметь место краевые эффекты, которые могут приводить к слишком большим значениям коэффициентов рассеяния по сравнению с соответствующими коэффициентами для бесконечной поверхности с такой же высотой неровностей. Вследствие краевого эффекта значения коэффициентов рассеяния иногда могут превышать единицу (s > 1).
6.3.3 Положение образца на поворотном столе
Поверхность образца по его периметру должна быть по возможности ровной и жесткой. Не следует делать по периметру жесткий бордюр постоянной высоты. Отверстия вдоль периметра должны быть герметизированы.
Если образец симметричен относительно оси вращения, то его размещают на поворотном столе со смещением центра симметрии образца от центра поворотного стола на расстояние не менее чем D/8, где D - диаметр поворотного стола.
6.4 Звукопоглощение образца испытуемой поверхности
Реверберационный коэффициент звукопоглощения образца не должен превышать значения αs = 0, 5. Однако, если звукопоглотитель является составной частью звукорассеивающей структуры, он должен быть и на образце.
Примечание - Для образцов с высоким значением коэффициента звукопоглощения неопределенность результатов измерений возрастает (см. приложение А), что может поставить под сомнение надежность результатов, полученных рассматриваемым методом.
7.1 Тестовые сигналы
Тестовые сигналы должны быть детерминированными (не случайными), поскольку при оценке применяют когерентное усреднение. Следует применять метод интегрированной импульсной переходной характеристики.
Для получения импульсной переходной характеристики рекомендуется применять псевдослучайные шумовые сигналы, такие как ПМД (последовательности максимальной длины). Другие требования к тестовому сигналу, например синусоидальная развертка, длина периода, спектральная плотность энергии, фильтрация, должны удовлетворять ИСО 354.
7.2 Источник звука и микрофоны
Требования к размещению источников звука и микрофонов должны удовлетворять ИСО 354.
Размеры, указанные в ИСО 354, следует привести к необходимому масштабу с помощью масштабного множителя N.
7.3 Измерение импульсных переходных характеристик
В соответствии с ИСО 354 измеряют импульсные переходные характеристики при наличии образца испытуемой поверхности и без него, определяя соответственно времена реверберации T1 и T2.
Как минимум, измерения должны проводиться для двух положений источника звука и трех положений микрофона, т.е. общее число измерений должно быть равно шести. Искомое время реверберации является среднеарифметическим значением времен реверберации в каждом положении.
Для каждой комбинации положений источника звука и микрофона при вращении поворотного стола многократно излучается и принимается периодический псевдослучайный сигнал. Общая продолжительность измерений должна быть равна времени одного оборота поворотного стола. Например, при использовании псевдослучайного периодического сигнала с периодом 5 с и частоте вращения 1 мин-1 необходимо непрерывно излучить 12 периодов сигнала.
Альтернативно для каждого положения системы "источник - микрофон" допускается проведение n измерений с образцом, после каждого измерения поворачиваемым на угол Δφ = 360°/n. Число когерентных средних значений n должно быть в интервале 60 ≤ n ≤ 120. Рекомендуется n = 72, соответствующее приращению угла Δφ = 5°.
Тестовый сигнал должен быть стабильным. Для получения инвариантного во времени отклика требуется синфазное усреднение n результатов измерений. Это выполняют либо усреднением импульсных переходных характеристик звукового давления, либо усреднением принимаемого сигнала до вычисления импульсной переходной характеристики помещения.
Результатом измерений при пошаговом или непрерывном вращении поворотного стола без образца испытуемой поверхности является время реверберации T3. Результатом измерений с вращающимся образцом испытуемой поверхности является время реверберации T4. Условия для измерений времен реверберации указаны в таблице 2.
|
Время реверберации |
Образец испытуемой поверхности |
Поворотный стол |
|
T1 |
Отсутствует |
Не вращается |
|
T2 |
Присутствует |
Не вращается |
|
T3 |
Отсутствует |
Вращается |
|
T4 |
Присутствует |
Вращается |
Во избежание ошибок измерений вследствие перемещений воздуха или других нестабильных условий в реверберационной камере измерения должны начинаться не ранее чем через 15/N минут после выхода из камеры персонала и закрытия ее двери. Для сведения к минимуму влияния изменения температуры и других параметров измерения должны выполняться по возможности быстро.
7.4 Температура и относительная влажность воздуха
Изменения температуры и относительной влажности воздуха могут оказывать значительное влияние на результаты измерений, особенно в области высоких частот. Уменьшение затухания звука в воздухе повышает точность измерений. Температура и относительная влажность в камере должны измеряться до и после каждого из четырех измерений (см. 7.3). Средние значения каждого из этих параметров используют в расчетах согласно разделу 8.
7.5 Оценивание кривых затухания
Определение импульсных переходных характеристик производят методом интегрированного импульсного отклика в соответствии с ИСО 354. В частности, обратное интегрирование следует ограничивать областью линейного наклона уровня импульсной переходной характеристики. Спад отклика для времен реверберации T1, T2 и T3 должен быть линейным до уровня фонового шума. Кривая спада для времени реверберации T4 состоит из суперпозиции двух кривых спада, и следует определять первый спад, относящийся только к образцу испытуемой поверхности.
Устанавливают предел интегрирования минус 30 дБ и оценивают время реверберации в диапазоне от минус 5 до минус 20 дБ, обеспечивая нахождение первого спада в данном диапазоне.
Выполняют пространственное усреднение времени реверберации в соответствии с ИСО 354.
8.1 Метод вычислений
8.1.1 Расчет реверберационного коэффициента звукопоглощения
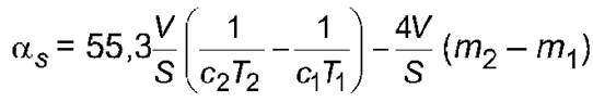
Реверберационный коэффициент звукопоглощения αs вычисляют по формуле
,
(1)
где V - объем реверберационной камеры, м3;
S - площадь образца испытуемой поверхности, м2;
T1 - время реверберации, определенное при отсутствии образца испытуемой поверхности, но с поворотным столом, с;
T2 - время реверберации, определенное в присутствии образца испытуемой поверхности, с;
c1 - скорость звука в воздухе при измерении T1, м/с2;
c2 - скорость звука в воздухе при измерении T2, м/с2;
m1 - постоянная затухания звуковой энергии в воздухе, рассчитанная в соответствии с ИСO 9613-1, при температуре и относительной влажности при измерении T1, м-1;
m2 - постоянная затухания звуковой энергии в воздухе, рассчитанная во время измерения T2, м-1. Времена реверберации T1 и T2 измеряют при неподвижном поворотном столе.
Примечание - В соответствии с ИСО 9613-1 скорость звука в атмосферном воздухе с, м/с, может быть рассчитана по формуле
,
(2)
где t - температура воздуха, °С.
В том же стандарте приведен коэффициент затухания звукового давления α, дБ/м. Постоянную затухания звуковой энергии в воздухе m, м-1, рассчитывают по формуле
.
(3)
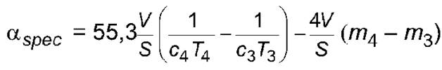
8.1.2 Расчет реверберационного коэффициента зеркального звукопоглощения
Реверберационный коэффициент зеркального звукопоглощения αspec следует рассчитывать по формуле
,
(4)
где T3 - время реверберации, определенное при вращающемся поворотном столе без образца испытуемой поверхности, с;
T4 - время реверберации, определенное для образца испытуемой поверхности на вращающемся поворотном столе, с;
c3 - скорость звука в воздухе при определении T3, м/с2;
c4 - скорость звука в воздухе при определении T4, м/с2;
m3 - постоянная затухания звуковой энергии в воздухе во время измерения T3, м-1;
m4 - постоянная затухания звуковой энергии в воздухе во время измерения T4, м-1.
Другие обозначения соответствуют указанным в 8.1.1.
8.1.3 Расчет реверберационного коэффициента рассеяния
Реверберационный коэффициент рассеяния s следует рассчитывать по формуле
.
(5)
8.1.4 Расчет реверберационного коэффициента рассеяния поверхности поворотного стола
В идеальных условиях времена реверберации T1 и T3 должны быть одинаковыми. Однако при наличии небольшой асимметричности поворотного стола значение времени реверберации T3 получается меньше. Предполагается, что подобная погрешность имеет место также в присутствии образца испытуемой поверхности. Для проверки выполнения требований 6.2 реверберационный коэффициент рассеяния поверхности поворотного стола вычисляют по формуле
,
(6)
где используются ранее введенные обозначения.
8.2 Неопределенность результатов измерений
Неопределенность результатов измерений зависит от размеров образца испытуемой поверхности, его коэффициента звукопоглощения и эквивалентной площади звукопоглощения пустой реверберационной камеры. Неопределенность измерений может быть рассчитана по приложению А.
8.3 Представление результатов
Для всех частот следующие результаты измерений должны быть внесены в протокол испытаний и представлены в форме таблиц и графиков:
- реверберационный коэффициент звукопоглощения αs;
- реверберационный коэффициент рассеяния s.
Результаты, представленные в виде таблиц, следует округлять до 0, 01. Значения, меньшие нуля, следует отбрасывать. Значения, превышающие 1, могут встречаться [как, например, вследствие краевых эффектов (см. п. 6.3.2)] и должны вноситься в протокол испытаний.
При графическом представлении точки измерений следует соединять прямыми линиями, при этом по оси абсцисс откладывают частоту в логарифмическом масштабе, а по оси ординат - в линейном масштабе. Оба коэффициента допускается изображать на одном графике, если соответствующие им кривые четко различимы. Допускается указывать частоту в виде эквивалентной частоты f/N, соответствующей условиям натурных испытаний, с указанием, что масштаб равен 1/N.
Отношение длины отрезка по оси ординат от 0 до 1 и длины отрезка по оси абсцисс в пять октавных полос должно быть 2:3.
Протокол испытаний должен содержать ссылку на настоящий стандарт, а также включать следующую информацию:
a) наименование организации, проводившей испытания;
b) дату испытаний;
c) описание образца испытуемой поверхности, ее площадь, высоту неровностей и способ установки образца на поворотном столе (желательно с приложением чертежей);
d) описание формы реверберационной камеры, информацию об акустической обработке ограждающих ее поверхностей и применяемых рассеивателей звука, координаты точек расположения микрофонов и источников звука;
e) размеры реверберационной камеры, ее объем и суммарную площадь ее ограждающих поверхностей;
f) температуру и относительную влажность воздуха для каждого из четырех видов измерений;
g) результаты измерений в соответствии с 8.3;
h) оценку неопределенности измерений*.
_______________________________
* В соответствии с приложением А.
Приложение А
(справочное)
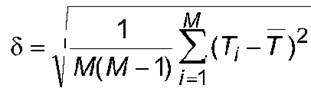
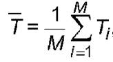
Для каждого времени реверберации T1, T2, T3 и T4 в формулах (1) и (4) стандартное отклонение δ1, δ2, δ3 и δ4 соответственно может быть рассчитано по формуле
,
(A.1)
где М - число положений системы "источник - микрофон";
T̅ - среднее по числу положений системы "источник - микрофон" соответствующее время реверберации рассчитывают по формуле
,
(A.2)
где Ti - соответствующее время реверберации при i-м положении системы "источник - микрофон".
Стандартное отклонение для коэффициентов звукопоглощения в формулах (1) и (4) рассчитывают по формулам:
,
(A.3)
.
(A.4)
Стандартное отклонение реверберационного коэффициента рассеяния равно
.
(A.5)
Доверительный интервал, соответствующий вероятности 0, 95, может быть принят равным удвоенному стандартному отклонению.
Приложение ДА
(справочное)
Таблица ДА.1
|
Обозначение ссылочного международного стандарта |
Степень соответствия |
Обозначение и наименование соответствующего национального стандарта |
|
ИСО 354 |
MOD |
ГОСТ Р 53376-2009 "Материалы звукопоглощающие. Метод измерения звукопоглощения в реверберационной камере" |
|
ИСО 9613-1 |
MOD |
ГОСТ 31295.1-2005 "Шум. Затухание звука при распространении на местности. Часть 1. Расчет поглощения звука атмосферой" |
|
Примечание - В настоящей таблице использовано следующее условное обозначение степени соответствия стандартов: - MOD - модифицированные стандарты. | ||
Библиография
|
[1] |
VORLÄNDER М. and MOMMERTZ E. Definition and measurement of random-incidence scattering coefficients. Applied Acoustics, 60, 2000, pp. 187 - 199 |
|
[2] |
ISO 266, Acoustics - Preferred frequencies |
|
[3] |
IEC 61260, Electroacoustics - Octave-band and fractional-octave-band filters |


