Утв. Постановлением государственного комитета ссср по управлению качеством продукции и стандартам от 29 декабря 1990 г. N 3676
Государственный стандарт Союза ССР ГОСТ 15848.21-90 (ИСО 6129-81)
"РУДЫ ХРОМОВЫЕ И КОНЦЕНТРАТЫ. МЕТОД ОПРЕДЕЛЕНИЯ ГИГРОСКОПИЧЕСКОЙ ВЛАГИ"
Chromium ores and concentrates. Method for determination of hygroscopic moisture
Срок действия - с 1 января 1992 г.
до 1 января 2002 г.
Взамен ГОСТ 15848.21-85
Информационные данные
1. Разработан Министерством металлургии СССР
Разработчики
Н.И. Стенина (руководитель темы), Н.А. Забугорная
2. Утвержден и введен в действие Постановлением Государственного комитета СССР по управлению качеством продукции и стандартам от 29.12.90 N 3676
Приложение "Весовой метод определения гигроскопической влаги в аналитических пробах" настоящего стандарта подготовлено на основе международного стандарта ИСО 6129-81
3. Взамен ГОСТ 15848.21-85
4 Ссылочные нормативно-технические документы
|
Обозначение НТД, на который дана ссылка
|
Номер раздела, приложения
|
|
ГОСТ 2823-75
ГОСТ 8984-75
ГОСТ 15848.0-90
ГОСТ 23832-79
ГОСТ 25336-82
ИСО 6629-81
|
2
2
1; приложение
2
3
Приложение
|
Настоящий стандарт распространяется на хромовые руды и концентраты и устанавливает гравиметрический метод определения гигроскопической влаги при массовой доле от 0, 1 до 5, 0%.
Метод определения гигроскопической влаги по международному стандарту ИСО 6129-81 указан в приложении.
Метод основан на высушивании руды или концентрата до постоянной массы при температуре 105 - 110°С.
1 Общие требования
Общие требования к методам определения гигроскопической влаги - по ГОСТ 15848.0.
2. Аппаратура и реактивы
Шкаф сушильный с электрообогревом и терморегулятором.
Термометр ртутный технический стеклянный с ценой деления не более 2°С по ГОСТ 2823.
Стаканчики для взвешивания (бюксы с притертой крышкой) по ГОСТ 25336 и ГОСТ 23932.
Эксикатор по ГОСТ 23932 и ГОСТ 25336.
Кальций хлористый, прокаленный при 700 - 800°С, или плавленый для заполнения эксикатора.
Силикагель-индикатор по ГОСТ 8984 для заполнения эксикатора.
3. Проведение анализа
Навеску воздушно-сухого материала массой 1 - 5 г помещают во взвешенную бюксу с крышкой, предварительно высушенную при температуре 105 - 110°С до постоянной массы. Открытую бюксу с крышкой помещают в сушильный шкаф и высушивают навеску пробы в течение 1 ч при той же температуре.
Бюксу закрывают крышкой, охлаждают в эксикаторе и взвешивают. Перед взвешиванием крышку бюксы приоткрывают и быстро закрывают. Проводят повторные высушивания по 30 мин, охлаждение и взвешивание до тех пор, пока разница между двумя последующими массами не превысит 0, 0005 г.
Если при повторном взвешивании масса навески увеличится, для расчета применяют массу, предшествующую ее увеличению.
4. Обработка результатов
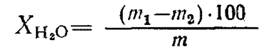
4.1. Массовую долю гигроскопической влаги (Хн2о) в процентах вычисляют по формуле

,
где m1 - масса бюксы с навеской до высушивания, г;
m2 - масса бюксы с навеской после высушивания, г;
m - масса навески хромовой руды душ концентрата, г.
4.2. Нормы точности и нормативы контроля точности при определении массовой доли гигроскопической влаги в процентах приведены в табл. 1.
Таблица 1
|
Массовая доля гигроскопической влаги, %
|
∆
|
dk
|
d2
|
d3
|
δ
|
|
От 0, 1 до 0, 2
|
0, 05
|
0, 06
|
0, 05
|
0, 06
|
0, 03
|
|
Св. 0, 2 " 0, 5
|
0, 07
|
0, 08
|
0, 07
|
0, 08
|
0, 04
|
|
" 0, 5 " 1, 0
|
0, 09
|
0, 11
|
0, 09
|
0, 11
|
0, 06
|
|
" 1, 0 " 2, 0
|
0, 11
|
0, 14
|
0, 12
|
0, 14
|
0, 07
|
|
" 2 " 5, 0
|
0, 20
|
0, 25
|
0, 20
|
0, 24
|
0, 13
|
Приложение
Весовой метод определения гигроскопической влаги в аналитических пробах (ИСО 6129-81)
1. Назначение и область применения
Настоящий международный стандарт устанавливает метод определения содержания гигроскопической влаги в аналитических пробах хромовых руд, который предполагается применять одновременно с определением других компонентов той же аналитической пробы, с тем чтобы содержания других компонентов можно было бы рассчитать на их содержание в абсолютно сухой руде.
Настоящий стандарт должен рассматриваться совместно с ГОСТ 15848.0 (ИСО 6629).
2. Ссылка
ГОСТ 15848.0 (ИСО 6629) Руды хромовые и концентраты Общие требования к методам химического анализа.
3. Сущность метода
Высушивание до постоянной массы в печи при температуре 105 - 110°С навески пробы, предварительно высушенной на воздухе.
4. Аппаратура
Обычное лабораторное оборудование и
4.1 Бюкса с крышкой диаметром не менее 5 см.
4.2 Печь, способная поддерживать температуру 105 - 110°С.
5. Проба
Используют пробу, измельченную до крупности не более 0, 10 мм (контроль ситом с соответствующим размером отверстий) и высушенную на воздухе в лабораторных условиях.
6 Проведение анализа
6.1 Навеска пробы
Отвешивают навески пробы массой 5 г в бюксе (п. 4.1), предварительно высушенной в печи (п. 4.2) при 105 - 110°С и взвешенной вместе с крышкой.
6.2 Определение содержания влаги
Открывают взвешенную - бюксу с навеской, помещают в печь, нагретую до 105 - 110°С.
Через 1 ч бюксу закрывают крышкой и охлаждают в эксикаторе в течение 20 - 30 мин. Бюксу удаляют из эксикатора, слегка открывают крышку и быстро закрывают вновь, затем взвешивают.
Процедуру сушки (в течение 30 мин), охлаждения и взвешивания повторяют до тех пор, пока различие между двумя последовательными массами не превысит 0, 0005 г. Если после повторной сушки масса навески увеличивается, то за окончательную принимают массу, предшествующую этому увеличению.
7 Обработка результатов
7.1 Расчет
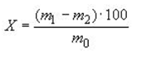
Массовую долю гигроскопической влаги (X) в процентах (m/m) вычисляют по формуле

,
где m1 - масса бюксы с крышкой и содержимым до сушки, г,
m2 - масса бюксы с крышкой и содержимым после сушки, г,
m0 - масса навески, г.
7.2 Допускаемые расхождения результатов параллельных определений не должны превышать значений, указанных в табл. 2.
Таблица 2
|
Содержание влаги, % (m/m)
|
Допускаемое расхождение, % (m/m)
|
|
От 0, 1 до 0, 2
|
0, 02
|
|
" 0, 2 " 0, 4
|
0, 03
|
|
" 0, 4 " 0, 8
|
0, 05
|
|
" 0, 8 " 1, 6
|
0, 08
|
|
" 1, 6 " 3, 2
|
0, 12
|
|
" 3, 2 " 5, 0
|
0, 20
|