ГОСТ 10616-2015 ВЕНТИЛЯТОРЫ РАДИАЛЬНЫЕ И ОСЕВЫЕ. РАЗМЕРЫ И ПАРАМЕТРЫ
Radial and axial fans. Dimensions and parameters
Дата введения - 1 июля 2017 г.
Взамен ГОСТ 10616-90
Предисловие
Цели, основные принципы и основной порядок проведения работ по межгосударственной стандартизации установлены ГОСТ 1.0-92 "Межгосударственная система стандартизации. Основные положения" и ГОСТ 1.2-2009 "Межгосударственная система стандартизации. Стандарты межгосударственные, правила и рекомендации по межгосударственной стандартизации. Правила разработки, принятия, применения, обновления и отмены"
Сведения о стандарте
1 Разработан Техническим комитетом по стандартизации Российской Федерации ТК 061 "Вентиляция и кондиционирование", Федеральным государственным унитарным предприятием "ВНИИНМАШ"
2 Внесен Федеральным агентством по техническому регулированию и метрологии
3 Принят Межгосударственным советом по стандартизации, метрологии и сертификации (протокол от 10 декабря 2015 г. N 48)
За принятие проголосовали:
Краткое наименование страны по МК (ИСО 3166) 004-97 |
Код страны по МК (ИСО 3166) 004-97 |
Сокращенное наименование национального органа по стандартизации |
Армения |
AM |
Минэкономики Республики Армения |
Беларусь |
BY |
Госстандарт Республики Беларусь |
Казахстан |
KZ |
Госстандарт Республики Казахстан |
Киргизия |
KG |
Кыргызстандарт |
Молдова |
MD |
Молдова-Стандарт |
Россия |
RU |
Росстандарт |
Таджикистан |
TJ |
Таджикстандарт |
Узбекистан |
UZ |
Узстандарт |
4 Приказом Федерального агентства по техническому регулированию и метрологии от 25 мая 2016 г. N 406-ст межгосударственный стандарт введен в действие в качестве национального стандарта Российской Федерации с 1 июля 2017 г.
5 Настоящий стандарт разработан с учетом основных нормативных положений международного стандарта ISO 13351:2009 "Вентиляторы. Размеры" ("Fans - Dimensions", NEQ).
Международный стандарт разработан техническим комитетом по стандартизации ISO/TC 117 "Промышленные вентиляторы" Международной организации по стандартизации (ISO).
Официальные экземпляры международного стандарта, на основе которого подготовлен настоящий межгосударственный стандарт, и международные стандарты, на которые даны ссылки, имеются в Федеральном агентстве по техническому регулированию и метрологии
6 Взамен ГОСТ 10616-90
Введение
Настоящий стандарт разработан для установления универсальных размеров и параметров промышленных вентиляторов, используемых в системах вентиляции и кондиционирования жилых, общественных и промышленных зданий, а также в различных производственных установках.
В качестве основного размера вентилятора используется принятый всеми международными стандартами диаметр рабочего колеса, определяемый по внешним концам лопаток. Величина этого диаметра характеризует основные аэродинамические и акустические параметры вентиляторов. Большинство фирм - изготовителей используют величину, характеризующую диаметр рабочего колеса, в названии вентиляторов, что позволяет осуществлять сравнение характеристик аналогичных вентиляторов, изготовленных разными фирмами.
Регламентированы размеры фланцев, устанавливаемых при входе в вентилятор и выходе из него, связанных с размерами его входного и выходного отверстий. Унификация размеров фланцев дает возможность потребителю осуществлять надежное и простое соединение элементов вентиляционной сети с вентиляторами, изготовленными разными фирмами, обеспечивать взаимозаменяемость вентиляторов с аналогичными параметрами, что снижает технические барьеры в торговле.
Размеры диаметров рабочих колес и фланцев выбирают из рядов предпочтительных чисел, соответствующих ГОСТ 8032.
Регламентированы также аэродинамические и акустические параметры вентиляторов. Вводятся обозначения размерных и безразмерных параметров и дается форма представления аэродинамических и акустических характеристик, которые в целом согласуются с аналогичными данными, принятыми в отечественных и международных стандартах, и широко используются в научно-технической литературе.
Стандарт разработан взамен ГОСТ 10616-90 "Вентиляторы радиальные и осевые. Размеры и параметры" и дополнен материалами международного стандарта ISO 13351:2009, в котором, кроме диаметров рабочих колес, регламентированы только размеры входных и выходных фланцев, которые должны быть неотъемлемой частью вентиляторов.
Настоящий стандарт распространяется на вентиляторы радиальные одно- и двустороннего всасывания, на осевые одно- и многоступенчатые*, предназначенные для систем вентиляции и кондиционирования, а также для других производственных целей, создающие полное давление до 30000 Па при плотности перемещаемой среды на входе 1, 2 кг/м3.
Стандарт не распространяется на вентиляторы специального назначения: пылевые, струйные, диаметральные, канальные, прямоточные, взрывозащищенные, предназначенные для систем противодымной вентиляции, встроенные в кондиционеры, а также в агрегаты и машины различного назначения.
Примечание - Предложенные размеры и параметры могут быть применены также к вентиляторам специального назначения и другим видам аналогичного оборудования.
В настоящем стандарте использованы ссылки на следующие стандарты:
ГОСТ 8032-84 Предпочтительные числа и ряды предпочтительных чисел
ГОСТ 10921-90 Вентиляторы радиальные и осевые. Методы аэродинамических испытаний
ГОСТ 22270-76 Оборудование для кондиционирования воздуха, вентиляции и отопления. Термины и определения
ГОСТ 31353.1-2007 (ИСО 13347-1:2004) Шум машин. Промышленные вентиляторы. Определение уровней звуковой мощности в лабораторных условиях. Часть 1. Общая характеристика методов
ГОСТ 31353.2-2007 (ИСО 13347-2:2004) Шум машин. Вентиляторы промышленные. Определение уровней звуковой мощности в лабораторных условиях. Часть 2. Реверберационный метод
ГОСТ 31353.3-2007 (ИСО 13347-3:2004) Шум машин. Вентиляторы промышленные. Определение уровней звуковой мощности в лабораторных условиях. Часть 3. Метод охватывающей поверхности
ГОСТ 31353.4-2007 (ИСО 13347-4:2004) Шум машин. Вентиляторы промышленные. Определение уровней звуковой мощности в лабораторных условиях. Часть 4. Метод звуковой интенсиметрии
Примечание - При пользовании настоящим стандартом целесообразно проверить действие ссылочных стандартов в информационной системе общего пользования - на официальном сайте Федерального агентства по техническому регулированию и метрологии в сети Интернет или по ежегодному информационному указателю "Национальные стандарты", который опубликован по состоянию на 1 января текущего года, и по выпускам ежемесячного информационного указателя "Национальные стандарты" за текущий год. Если ссылочный стандарт заменен (изменен), то при пользовании настоящим стандартом следует руководствоваться заменяющим (измененным) стандартом. Если ссылочный стандарт отменен без замены, то положение, в котором дана ссылка на него, применяется в части, не затрагивающей эту ссылку.
В настоящем стандарте применены термины по ГОСТ 22270, а также следующие термины с соответствующими определениями:
3.1 конструктивные параметры
3.1.1 слабонагруженный вентилятор: Вентилятор, который создает полное давление не более 2 кПа (см. также [1], 3.1).
3.1.2 средненагруженный вентилятор: Вентилятор, который создает полное давление не более 10 кПа (см. также [1], 3.2).
3.1.3 сильнонагруженный вентилятор: Вентилятор, который создает полное давление не более 30 кПа (см. также [1], 3.3).
3.1.4 размер вентилятора, мм: Диаметр рабочего колеса** по внешним концам лопаток.
3.1.5 номер вентилятора: Диаметр рабочего колеса по внешним концам лопаток, выраженный в дециметрах.
Пример - Вентилятор с диаметром рабочего колеса 500 мм имеет обозначение "N 5".
3.1.6 аэродинамическая схема: Схема всех элементов проточной части вентилятора с размерами, выраженными в процентах от диаметра рабочего колеса, которая содержит все исходные данные для разработки конструкций серии геометрически подобных вентиляторов разных размеров.
3.1.7 тип вентилятора: Вентиляторы разных номеров и конструктивных исполнений, выполненные по одной аэродинамической схеме, относятся к одному типу.
3.1.8 фланцы: Детали для присоединения к воздуховоду.
3.1.9 круглые фланцы: Фланцы, которые имеют внутреннее поперечное сечение в виде круга.
3.1.10 прямоугольные фланцы: Фланцы, которые имеют внутреннее поперечное сечение в виде прямоугольника.
3.2 аэродинамические параметры
3.2.1 стандартный воздух: Воздух с нормальной плотностью 1, 2 кг/м3.
3.2.2 производительность (объемный расход) вентилятора: Объемное количество газа, поступающего в вентилятор в единицу времени, отнесенное к условиям входа в вентилятор.
3.2.3 давление, создаваемое вентилятором
3.2.3.1 давление динамическое: Динамическое давление потока при выходе из вентилятора, рассчитанное по величине объемной производительности, средней плотности газа на выходе и площади нагнетательного отверстия вентилятора.
3.2.3.2 давление полное: Давление, равное разности давлений торможения на выходе из вентилятора и на входе в него при определенной плотности газа.
3.2.3.3 давление статическое: Давление, равное разности между полным и динамическим давлением вентилятора.
3.2.3.4 давление торможения: Давление, измеренное в определенной точке движущегося газа в предположении адиабатического процесса сжатия.
3.2.4 мощность вентилятора
3.2.4.1 полезная мощность вентилятора с учетом полного давления: Мощность, равная произведению полного давления вентилятора и его производительности.
3.2.4.2 полезная мощность вентилятора с учетом статического давления: Мощность, равная произведению статического давления вентилятора и его производительности.
3.2.4.3 мощность, потребляемая вентилятором: Мощность на свободном валу рабочего колеса без учета потерь в приводе и подшипниках.
3.2.5 КПД вентилятора
3.2.5.1 полный КПД вентилятора: Отношение полезной мощности вентилятора с учетом полного давления к потребляемой мощности.
3.2.5.2 статический КПД вентилятора: Отношение полезной мощности вентилятора с учетом статического давления к потребляемой мощности.
3.3 акустические параметры
3.3.1 уровень звуковой мощности на входе: Уровень звуковой мощности, излучаемой входом вентилятора и определенной при компоновке вентилятора типа А, В, С или D.
3.3.2 уровень звуковой мощности на выходе: Уровень звуковой мощности, излучаемой выходом вентилятора и определенной при компоновке вентилятора типа А, В, С или D.
3.3.3 уровень звуковой мощности корпуса: Уровень звуковой мощности, излучаемой корпусом вентилятора.
3.3.4 спектр шума: Уровни звуковой мощности выраженные в дБ в октавных или третьоктавных полосах со среднегеометрическими частотами в диапазоне от 63 до 8000 Гц.
3.3.5 корректированный уровень звуковой мощности: Уровень звуковой мощности излучаемого шума, выраженный в дБА.
В настоящем стандарте применены следующие обозначения:
D |
- Паспортный диаметр рабочего колеса по внешним концам лопаток, мм (см. рисунки 1 - 3); |
DR |
- Фактический диаметр рабочего колеса по внешним концам лопаток, мм (см. рисунки 1 - 3); |
d0 |
- Внутренний диаметр круглого фланца, мм; |
d1 |
- Диаметр окружности с расположением центров отверстий во фланце, мм; |
d2 |
- Диаметр отверстий во фланце, мм; |
d3 |
- Диаметр болта, мм; |
d4 |
- Диаметр шайбы, мм; |
e |
- Толщина стенок корпуса, мм; |
f |
- Частота звука, Гц; |
g |
- Расстояние от внутренней стенки до центров отверстий прямоугольного фланца, мм; |
kp |
- Отношение длин короткой и длинной сторон прямоугольного фланца; |
kg |
- Отношение длин длинной и короткой сторон прямоугольного фланца; |
Lw |
- Уровень звуковой мощности, излучаемой входом, выходом или корпусом вентилятора, дБ; |
LwA |
- Корректированный уровень звуковой мощности, дБА; |
Lwi |
- Уровень звуковой мощности в полосах частот, дБ, дБА; |
l |
- Длина дуги между двумя соседними отверстиями в круглом фланце, мм; |
m |
- Число отверстий во фланце; |
N |
- Мощность, потребляемая вентилятором, Вт; |
Nν |
- Полезная мощность вентилятора с учетом полного давления, Вт; |
Nsν |
- Полезная мощность вентилятора с учетом статического давления, Вт; |
n |
- Частота вращения рабочего колеса, мин-1; |
p |
- Расстояние между соседними отверстиями в прямоугольном фланце, мм; |
pν |
- Полное давление, создаваемое вентилятором, Па; |
pdv |
- Динамическое давление, создаваемое вентилятором, Па; |
psν |
- Статическое давление, создаваемое вентилятором, Па; |
Q |
- Производительность вентилятора, м3/с;; |
α |
- Угловое расстояние между центрами двух соседних отверстий в круглом фланце, градус; |
η |
- Полный КПД вентилятора; |
ηs |
- Статический КПД вентилятора; |
θк |
- Угол установки лопаток рабочего колеса, градус; |
λ |
- Коэффициент потребляемой мощности; |
ρ |
- Нормальная плотность воздуха, кг/м3; |
φ |
- Коэффициент производительности; |
ψ |
- Коэффициент создаваемого полного давления; |
ψs |
- Коэффициент создаваемого статического давления; |
ψd |
- Коэффициент создаваемого динамического давления; |
u |
- Окружная скорость, м/с; |
5.1 Вентиляторы
5.1.1 Размеры вентиляторов
Диаметры, D, рабочих колес радиальных, осевых и диагональных вентиляторов (рисунки 1 - 3) в диапазоне значений от 100 мм до 2000 мм следует выбирать из ряда значений, соответствующих ряду предпочтительных чисел R20 по ГОСТ 8032. Значения диаметров рабочих колес и соответствующие номера вентиляторов указаны в таблице 1. Для вентиляторов с диаметрами рабочих колес больше 2000 мм диаметры D могут быть выбраны из ряда значений R20, а также из более густых рядов предпочтительных чисел R40 и R80.
Примечание - Выделенные полужирным шрифтом значения диаметров D в таблице 1 соответствуют ряду предпочтительных чисел R10.
Номер вентилятора |
D, мм |
Номер вентилятора |
D, мм |
Номер вентилятора |
D, мм |
1 |
100 |
2, 8 |
280 |
8 |
800 |
1, 12 |
112 |
3, 15 |
315 |
9 |
900 |
1, 25 |
125 |
3, 55 |
355 |
10 |
1000 |
1, 4 |
140 |
4 |
400 |
11, 2 |
1120 |
1, 5 |
150 |
4, 5 |
450 |
12, 5 |
1250 |
1, 8 |
180 |
5 |
500 |
14 |
1400 |
2 |
200 |
5, 6 |
560 |
16 |
1600 |
2, 24 |
224 |
6, 3 |
630 |
18 |
1800 |
2, 5 |
250 |
7, 1 |
710 |
20 |
2000 |
Рисунок 1 - Рабочее колесо радиального вентилятора
Рисунок 2 - Рабочее колесо осевого вентилятора
Рисунок 3 - Рабочее колесо диагонального вентилятора
5.2 Фланцы
5.2.1 Общие данные
Внутренние диаметры круглых фланцев и внутренние длины сторон прямоугольных фланцев должны иметь размеры, соответствующие ряду предпочтительных чисел R20 по ГОСТ 8032. Следует также учитывать толщину корпуса и допустимые погрешности, принятые в инженерной практике.
Примечание - Для вентиляторов малых номеров (меньше 200 мм) размеры фланцев могут выбираться с учетом требований покупателя.
5.2.2 Круглые фланцы
Различные варианты исполнения круглых фланцев приведены на рисунке 4.
Рисунок 4 - Размеры круглых фланцев
Минимальный диаметр круглого фланца зависит от размера входного и выходного отверстий корпуса, толщины корпуса, размера сварного шва, радиуса закругления в месте перехода от стенки корпуса к фланцу и от стандартного диаметра шайб. Отверстия во фланце должны располагаться равномерно по окружности. Число отверстий должно быть кратно четырем, чтобы обеспечить возможность поворота корпуса на 90°. Размеры круглых фланцев для слабо-, средне- и сильно нагруженных вентиляторов приведены в таблицах 2 - 4 (см. также ISO 13351 [1]).
d0 |
d1 |
(d1 – d0)/2 |
m |
α |
d2 |
d3 |
d4 | emax |
100 |
120 |
10 |
4 |
90 |
7 |
М6 |
12, 5 |
1, 6 |
112 |
137 |
12, 5 |
4 |
90 |
7 |
М6 |
12, 5 |
2 |
125 |
150 |
12, 5 |
4 |
90 |
7 |
М6 |
12, 5 |
2 |
140 |
165 |
12, 5 |
4 |
90 |
7 |
М6 |
12, 5 |
2 |
160 |
185 |
12, 5 |
4 |
90 |
7 |
М6 |
12, 5 |
2 |
180 |
205 |
12, 5 |
4 |
90 |
7 |
М6 |
12, 5 |
2 |
200 |
225 |
12, 5 |
4 |
90 |
7 |
М6 |
12, 5 |
2 |
224 |
254 |
15 |
4 |
90 |
7 |
М6 |
12, 5 |
2 |
250 |
280 |
15 |
4 |
90 |
10 |
М8 |
17 |
2, 5 |
280 |
320 |
20 |
4 |
90 |
10 |
М8 |
17 |
2, 5 |
315 |
355 |
20 |
8 |
45 |
10 |
М8 |
17 |
3 |
355 |
395 |
20 |
8 |
45 |
10 |
М8 |
17 |
3 |
400 |
450 |
25 |
8 |
45 |
12 |
М10 |
21 |
3 |
450 |
500 |
25 |
8 |
45 |
12 |
М10 |
21 |
3 |
500 |
560 |
30 |
12 |
30 |
12 |
М10 |
21 |
3, 5 |
560 |
620 |
30 |
12 |
30 |
12 |
М10 |
21 |
3, 5 |
630 |
690 |
30 |
12 |
30 |
12 |
М10 |
21 |
5 |
710 |
770 |
30 |
16 |
22, 5 |
12 |
М10 |
21 |
5 |
800 |
860 |
30 |
16 |
22, 5 |
12 |
М10 |
21 |
5 |
900 |
970 |
35 |
16 |
22, 5 |
15 |
М12 |
24 |
6 |
1000 |
1070 |
35 |
16 |
22, 5 |
15 |
М12 |
24 |
6 |
1120 |
1190 |
35 |
20 |
18 |
15 |
М12 |
24 |
6 |
1250 |
1320 |
35 |
20 |
18 |
15 |
М12 |
24 |
6 |
1400 |
1470 |
35 |
20 |
18 |
15 |
М12 |
24 |
6 |
1600 |
1680 |
40 |
24 |
15 |
19 |
М16 |
30 |
8 |
1800 |
1880 |
40 |
24 |
15 |
19 |
М16 |
30 |
8 |
2000 |
2080 |
40 |
24 |
15 |
19 |
М16 |
30 |
8 |
D |
d1 |
(d1 - D)/2 |
m |
α |
l |
d2 |
d3 |
d4 (a) |
e(a) |
100 |
139 |
19, 5 |
4 |
90 |
109 |
9, 5 |
М8 |
17 |
1, 5≤е≤6 |
112 |
151 |
19, 5 |
4 |
90 |
119 |
9, 5 |
М8 |
17 |
1, 5≤е≤6 |
125 |
165 |
20 |
4 |
90 |
130 |
9, 5 |
М8 |
17 |
1, 5≤е≤6 |
140 |
182 |
21 |
8 |
45 |
71 |
11, 5 |
М10 |
21 |
1, 5≤е≤6 |
160 |
200 |
20 |
8 |
45 |
79 |
11, 5 |
М10 |
21 |
1, 5≤е≤6 |
180 |
219 |
19, 5 |
8 |
45 |
86 |
11, 5 |
М10 |
21 |
1, 5≤е≤6 |
200 |
241 |
20, 5 |
8 |
45 |
95 |
11, 5 |
М10 |
21 |
1, 5≤е≤6 |
224 |
265 |
20, 5 |
8 |
45 |
104 |
11, 5 |
М10 |
21 |
1, 5≤е≤6 |
250 |
292 |
21 |
8 |
45 |
115 |
11, 5 |
М10 |
21 |
1, 5≤е≤6 |
280 |
332 |
26 |
8 |
45 |
130 |
11, 5 |
М10 |
21 |
1, 5≤е≤6 |
315 |
366 |
25, 5 |
8 |
45 |
144 |
11, 5 |
М10 |
21 |
1, 5≤е≤6 |
355 |
405 |
25 |
8 |
45 |
159 |
11, 5 |
М10 |
21 |
1, 5≤е≤6 |
400 |
448 |
24 |
12 |
30 |
117 |
11, 5 |
М10 |
21 |
1, 5≤е≤6 |
450 |
497 |
23, 5 |
12 |
30 |
130 |
11, 5 |
М10 |
21 |
1, 5≤е≤6 |
500 |
551 |
25, 5 |
12 |
30 |
144 |
11, 5 |
М10 |
21 |
1, 5≤е≤6 |
560 |
629 |
34, 5 |
16 |
22, 5 |
124 |
14 |
М12 |
24 |
2≤е≤6 |
630 |
698 |
34 |
16 |
22, 5 |
137 |
14 |
М12 |
24 |
2≤е≤6 |
710 |
775 |
32, 5 |
16 |
22, 5 |
152 |
14 |
М12 |
24 |
2, 5≤е≤6 |
800 |
869 |
34, 5 |
24 |
15 |
113 |
14 |
М12 |
24 |
2, 5≤е≤6 |
900 |
958 |
29 |
24 |
15 |
125 |
14 |
М12 |
24 |
3≤е≤6 |
1000 |
1067 |
33, 5 |
24 |
15 |
140 |
14 |
М12 |
24 |
3≤е≤6 |
1120 |
1200 |
40 |
32 |
11, 25 |
118 |
18 |
М16 |
30 |
4≤e≤6 |
1250 |
1337 |
43, 5 |
32 |
11, 25 |
131 |
18 |
М16 |
30 |
4≤e≤6 |
1400 |
1475 |
37, 5 |
32 |
11, 25 |
145 |
18 |
М16 |
30 |
5≤e≤6 |
1600 |
1675 |
37, 5 |
40 |
9 |
132 |
18 |
М16 |
30 |
5≤e≤6 |
1800 |
1875 |
37, 5 |
40 |
9 |
147 |
18 |
М16 |
30 |
6 |
2000 |
2073 |
36, 5 |
40 |
9 |
163 |
18 |
М16 |
30 |
6 |
(а) Даны для информации. |
D |
d1 |
(d1 - D)/2 |
m |
а |
l |
d2 |
d3 |
d4 (a) |
e(a) |
250 |
325 |
37, 5 |
12 |
30 |
85 |
14, 5 |
М12 |
24 |
8≤е≤10 |
280 |
355 |
37, 5 |
12 |
30 |
93 |
14, 5 |
М12 |
24 | |
315 |
390 |
37, 5 |
12 |
30 |
102 |
14, 5 |
М12 |
24 | |
355 |
430 |
37, 5 |
16 |
22, 5 |
84 |
14, 5 |
М12 |
24 | |
400 |
475 |
37, 5 |
16 |
22, 5 |
93 |
14, 5 |
М12 |
24 | |
450 |
525 |
37, 5 |
20 |
18 |
82 |
14, 5 |
М12 |
24 | |
500 |
575 |
37, 5 |
20 |
18 |
90 |
14, 5 |
М12 |
24 | |
560 |
650 |
45 |
20 |
18 |
102 |
18, 5 |
М16 |
30 | |
630 |
720 |
45 |
20 |
18 |
113 |
18, 5 |
М16 |
30 | |
710 |
800 |
45 |
20 |
18 |
126 |
18, 5 |
М16 |
30 | |
800 |
890 |
45 |
24 |
15 |
116 |
18, 5 |
М16 |
30 | |
900 |
990 |
45 |
24 |
15 |
130 |
18, 5 |
М16 |
30 | |
1000 |
1090 |
55 |
28 |
12, 85 |
122 |
18, 5 |
М16 |
30 | |
1120 |
1230 |
55 |
28 |
12, 85 |
138 |
24 |
М20 |
37 | |
1250 |
1360 |
55 |
28 |
12, 85 |
153 |
24 |
М20 |
37 | |
1400 |
1510 |
55 |
32 |
11, 25 |
148 |
24 |
М20 |
37 | |
1600 |
1710 |
55 |
36 |
10 |
149 |
24 |
М20 |
37 | |
1800 |
1910 |
55 |
40 |
9 |
150 |
24 |
М20 |
37 | |
(а) Даны для информации. |
5.2.3 Прямоугольные фланцы
Размеры прямоугольных фланцев зависят от размеров выходного отверстия вентилятора. Различные варианты исполнения и установки прямоугольных фланцев приведены на рисунке 5. Внутренние размеры сторон прямоугольных фланцев должны выбираться из ряда предпочтительных чисел R20 в соответствии с ГОСТ 8032. Размеры прямоугольных фланцев, расположение, размеры и число отверстий, а также диаметры болтов приведены в таблице 5 (см. также ISO 13351 [1]).
В таблицах 6 и 7 даны рекомендованные величины двух различных отношений размеров короткой и длинной сторон прямоугольных сечений, которые также должны соответствовать ряду предпочтительных чисел R20.
Рисунок 4 - Размеры и способы изготовления прямоугольных фланцев
Внутренние размеры выходного отверстия корпуса, А или В |
Шаг, PA или PB |
Число отверстий на стороне, m |
d3 |
d2 |
g |
emax (a) | |
С угловыми отверстиями |
Без угловых отверстий | ||||||
100 |
71 |
4 |
2 |
М6 |
7 |
19 |
2 |
112 |
71 |
4 |
2 |
М6 |
7 |
19 |
2 |
125 |
71 |
4 |
2 |
М6 |
7 |
19 |
2 |
140 |
71 |
4 |
2 |
М6 |
7 |
19 |
2 |
160 |
100 |
4 |
2 |
М6 |
7 |
19 |
2 |
180 |
100 |
4 |
2 |
М6 |
7 |
19 |
2 |
200 |
100 |
4 |
2 |
М6 |
7 |
19 |
2 |
224 |
100 |
4 |
2 |
М6 |
7 |
19 |
2 |
250 |
125 |
4 |
2 |
М8 |
10 |
19 |
3 |
280 |
125 |
4 |
2 |
М8 |
10 |
19 |
3 |
315 |
125 |
5 |
3 |
М8 |
10 |
19 |
3 |
355 |
125 |
5 |
3 |
М8 |
10 |
19 |
3 |
400 |
125 |
5 |
3 |
М8 |
10 |
19 |
3 |
450 |
125 |
6 |
4 |
М10 |
12 |
32 |
5 |
500 |
125 |
6 |
4 |
М10 |
12 |
32 |
5 |
560 |
125 |
7 |
5 |
М10 |
12 |
32 |
5 |
630 |
125 |
7 |
5 |
М10 |
12 |
32 |
5 |
710 |
125 |
8 |
6 |
М10 |
12 |
32 |
5 |
800 |
125 |
9 |
7 |
М10 |
12 |
32 |
5 |
900 |
125 |
9 |
7 |
М10 |
12 |
32 |
5 |
1000 |
125 |
10 |
8 |
М12 |
14 |
32 |
5 |
1120 |
125 |
11 |
9 |
М12 |
14 |
37 |
5 |
1250 |
125 |
12 |
10 |
М12 |
14 |
37 |
5 |
1400 |
125 |
12 |
10 |
М12 |
14 |
37 |
5 |
1600 |
125 |
13 |
11 |
М12 |
14 |
37 |
5 |
1800 |
125 |
15 |
13 |
М12 |
14 |
37 |
5 |
2000 |
125 |
16 |
14 |
М12 |
14 |
37 |
5 |
(а) Даны для информации. |
Таблица 6 - Размеры выходных отверстий прямоугольных фланцев из ряда R20 для отношений kp
Длинная сторона, мм |
Короткая сторона, мм | ||||||||||||
100 |
112 |
125 |
140 |
160 |
180 |
200 |
224 |
250 |
280 |
315 |
355 |
400(а) | |
kp | |||||||||||||
100 |
1 | ||||||||||||
112 |
0, 9 |
1 | |||||||||||
125 |
0, 8 |
0, 9 |
1 | ||||||||||
140 |
0, 71 |
0, 8 |
0, 9 |
1 | |||||||||
160 |
0, 63 |
0, 71 |
0, 8 |
0, 9 |
1 | ||||||||
180 |
0, 56 |
0, 63 |
0, 71 |
0, 8 |
0, 9 |
1 | |||||||
200 |
0, 5 |
0, 56 |
0, 63 |
0, 71 |
0, 8 |
0, 9 |
1 | ||||||
224 |
0, 45 |
0, 5 |
0, 56 |
0, 63 |
0, 71 |
0, 8 |
0, 9 |
1 | |||||
250 |
0, 4 |
0, 45 |
0, 5 |
0, 56 |
0, 63 |
0, 71 |
0, 8 |
0, 9 |
1 | ||||
280 |
0, 4 |
0, 45 |
0, 5 |
0, 56 |
0, 63 |
0, 71 |
0, 8 |
0, 9 |
1 | ||||
315 |
0, 4 |
0, 45 |
0, 5 |
0, 56 |
0, 63 |
0, 71 |
0, 8 |
0, 9 |
1 | ||||
355 |
0, 4 |
0, 45 |
0, 5 |
0, 56 |
0, 63 |
0, 71 |
0, 8 |
0, 9 |
1 | ||||
400 |
0, 4 |
0, 45 |
0, 5 |
0, 56 |
0, 63 |
0, 71 |
0, 8 |
0, 9 |
1 | ||||
450 |
1 |
0, 4 |
0, 45 |
0, 5 |
0, 56 |
0, 63 |
0, 71 |
0, 8 |
0, 9 | ||||
500 |
0, 9 |
1 |
0, 4 |
0, 45 |
0, 5 |
0, 56 |
0, 63 |
0, 71 |
0, 8 | ||||
560 |
0, 8 |
0, 9 |
1 |
0, 4 |
0, 45 |
0, 5 |
0, 56 |
0, 63 |
0, 71 | ||||
630 |
0, 71 |
0, 8 |
0, 9 |
1 |
0, 4 |
0, 45 |
0, 5 |
0, 56 |
0, 63 | ||||
710 |
0, 63 |
0, 71 |
0, 8 |
0, 9 |
1 |
0, 4 |
0, 45 |
0, 5 |
0, 56 | ||||
800 |
0, 56 |
0, 63 |
0, 71 |
0, 8 |
0, 9 |
1 |
0, 4 |
0, 45 |
0, 5 | ||||
900 |
0, 5 |
0, 56 |
0, 63 |
0, 71 |
0, 8 |
0, 9 |
1 |
0, 4 |
0, 45 | ||||
1000 |
0, 45 |
0, 5 |
0, 56 |
0, 63 |
0, 71 |
0, 8 |
0, 9 |
1 |
0, 4 | ||||
1120 |
0, 4 |
0, 45 |
0, 5 |
0, 56 |
0, 63 |
0, 71 |
0, 8 |
0, 9 |
1 | ||||
1250 |
0, 4 |
0, 45 |
0, 5 |
0, 56 |
0, 63 |
0, 71 |
0, 8 |
0, 9 |
1 | ||||
1400 |
0, 4 |
0, 45 |
0, 5 |
0, 56 |
0, 63 |
0, 71 |
0, 8 |
0, 9 |
1 | ||||
1600 |
0, 4 |
0, 45 |
0, 5 |
0, 56 |
0, 63 |
0, 71 |
0, 8 |
0, 9 |
1 | ||||
1800 |
0, 4 |
0, 45 |
0, 5 |
0, 56 |
0, 63 |
0, 71 |
0, 8 |
0, 9 |
1 | ||||
kp | |||||||||||||
450(b) |
500 |
560 |
620 |
710 |
800 |
900 |
1000 |
1120 |
1250 |
1400 |
1600 |
1800 | |
Короткая сторона, мм | |||||||||||||
Аппроксимация выполнена с обычным округлением чисел. | |||||||||||||
(a) Продолжение на нижней линии "Короткая сторона". (b) Продолжение с верхней линии "Короткая сторона". |
Таблица 7 - Размеры выходных отверстий прямоугольных фланцев из ряда R20 для отношений kg
Длинная сторона, мм |
Короткая сторона, мм | |||||||||||||||
100 |
112 |
125 |
140 |
160 |
180 |
200 |
224 |
250 |
280 |
315 |
355 |
400(а) | ||||
kg | ||||||||||||||||
100 |
1 | |||||||||||||||
112 |
1, 12 |
1 | ||||||||||||||
125 |
1, 25 |
1, 12 |
1 | |||||||||||||
140 |
1, 4 |
1, 25 |
1, 12 |
1 | ||||||||||||
160 |
1, 6 |
1, 4 |
1, 25 |
1, 12 |
1 | |||||||||||
180 |
1, 8 |
1, 6 |
1, 4 |
1, 25 |
1, 12 |
1 | ||||||||||
200 |
2 |
1, 8 |
1, 6 |
1, 4 |
1, 25 |
1, 12 |
1 | |||||||||
224 |
2, 24 |
2 |
1, 8 |
1, 6 |
1, 4 |
1, 25 |
1, 12 |
1 | ||||||||
250 |
2, 5 |
2, 24 |
2 |
1, 8 |
1, 6 |
1, 4 |
1, 25 |
1, 12 |
1 | |||||||
280 |
2, 5 |
2, 24 |
2 |
1, 8 |
1, 6 |
1, 4 |
1, 25 |
1, 12 |
1 | |||||||
315 |
2, 5 |
2, 24 |
2 |
1, 8 |
1, 6 |
1, 4 |
1, 25 |
1, 12 |
1 | |||||||
355 |
2, 5 |
2, 24 |
2 |
1, 8 |
1, 6 |
1, 4 |
1, 25 |
1, 12 |
1 | |||||||
400 |
2, 5 |
2, 24 |
2 |
1, 8 |
1, 6 |
1, 4 |
1, 25 |
1, 12 |
1 | |||||||
450 |
1 |
2, 5 |
2, 24 |
2 |
1, 8 |
1, 6 |
1, 4 |
1, 25 |
1, 12 | |||||||
500 |
1, 12 |
1 |
2, 5 |
2, 24 |
2 |
1, 8 |
1, 6 |
1, 4 |
1, 25 | |||||||
560 |
1, 25 |
1, 12 |
1 |
2, 5 |
2, 24 |
2 |
1, 8 |
1, 6 |
1, 4 | |||||||
630 |
1, 4 |
1, 25 |
1, 12 |
1 |
2, 5 |
2, 24 |
2 |
1, 8 |
1, 6 | |||||||
710 |
1, 6 |
1, 4 |
1, 25 |
1, 12 |
1 |
2, 5 |
2, 24 |
2 |
1, 8 | |||||||
800 |
1, 8 |
1, 6 |
1, 4 |
1, 25 |
1, 12 |
1 |
2, 5 |
2, 24 |
2 | |||||||
900 |
2 |
1, 8 |
1, 6 |
1, 4 |
1, 25 |
1, 12 |
1 |
2, 5 |
2, 24 | |||||||
1000 |
2, 24 |
2 |
1, 8 |
1, 6 |
1, 4 |
1, 25 |
1, 12 |
1 |
2, 5 | |||||||
1120 |
2, 5 |
2, 24 |
2 |
1, 8 |
1, 6 |
1, 4 |
1, 25 |
1, 12 |
1 | |||||||
1250 |
2, 5 |
2, 24 |
2 |
1, 8 |
1, 6 |
1, 4 |
1, 25 |
1, 12 |
1 | |||||||
1400 |
2, 5 |
2, 24 |
2 |
1, 8 |
1, 6 |
1, 4 |
1, 25 |
1, 12 |
1 | |||||||
1600 |
2, 5 |
2, 24 |
2 |
1, 8 |
1, 6 |
1, 4 |
1, 25 |
1, 12 |
1 | |||||||
1800 |
2, 5 |
2, 24 |
2 |
1, 8 |
1, 6 |
1, 4 |
1, 25 |
1, 12 |
1 | |||||||
kg | ||||||||||||||||
450(b) |
500 |
560 |
630 |
710 |
800 |
900 |
1000 |
1120 |
1250 |
1400 |
1600 |
1800 | ||||
Короткая сторона, мм | ||||||||||||||||
Аппроксимация выполнена с обычным округлением чисел. | ||||||||||||||||
(а) Продолжение на нижней линии "Короткая сторона". (b) Продолжение с верхней линии "Короткая сторона". | ||||||||||||||||
Вентиляторы могут использоваться в системах с различными условиями установки воздуховодов и элементов перед вентилятором и за ним. При выборе вентилятора для конкретной системы целесообразно использовать характеристики вентилятора, полученные на установке, соответствующей компоновке вентилятора в этой системе.
Согласно стандартам ГОСТ 10921, ISO 5801 [2] и ГОСТ 31353.1 применяют следующие типы стандартизированных установок для проведения аэродинамических и акустических испытаний вентиляторов:
Установка типа А - вентилятор имеет свободный вход и свободный выход.
Установка типа В - вентилятор имеет свободный вход и воздуховод на выходе.
Установка типа С - вентилятор имеет воздуховод на входе и свободный выход.
Установка типа D - вентилятор имеет воздуховоды на входе и на выходе.
Методы испытаний и определение аэродинамических параметров вентиляторов на этих установках даны в стандартах: ГОСТ 10921 или ISO 5801 [2]. При аэродинамических испытаниях вентиляторов на стендах типа А и С определяют непосредственно статическое давление и статический КПД вентилятора. Динамическое, полное давления и полный КПД получают в результате расчета. При испытаниях на стендах типа В и D непосредственно определяют полное давление и полный КПД вентилятора. Динамическое и статическое давления и статический КПД получают в результате расчета.
Методы испытаний и определение акустических параметров вентиляторов на этих установках даны в ГОСТ 31353.1, ГОСТ 31353.2, ГОСТ 31353.3 и ГОСТ 31353.4. Предусмотрены следующие методы акустических испытаний:
- метод измерительного воздуховода;
- реверберационный метод (см. ГОСТ 31353.2);
- метод охватывающей поверхности (см. ГОСТ 31353.3);
- метод звуковой интенсиметрии (см. ГОСТ 31353.4).
7.1 Аэродинамические качества вентилятора должны оцениваться по аэродинамическим характеристикам, определяющим в виде графика зависимости полного pv и статического psv и (или) динамического pdv давлений, развиваемых вентилятором, потребляемой мощности N, полного η и статического ηs КПД от производительности Q при определенной плотности газа ρ перед входом в вентилятор и постоянной частоте вращения n его рабочего колеса. На графиках должны быть указаны размерности аэродинамических параметров. Формулы для расчета аэродинамических параметров приведены в приложении А.
Примечания
1 Допускается построение аэродинамической характеристики при частоте вращения, изменяющейся в зависимости от производительности, с указанием этой зависимости n(Q) на графике. Вместо кривых psv (Q) и ηs (Q) на графике может указываться только кривая динамического давления pdv (Q) вентилятора.
2 Допускается при построении аэродинамической характеристики кривые psν (Q), pdv (Q) и ηs (Q) не указывать.
3 В качестве примера размерная аэродинамическая характеристика вентилятора приведена на рисунке Б.1 в приложении Б.
7.2 Безразмерными параметрами вентиляторов являются коэффициенты производительности φ, полного ψ, статического ψs и динамического ψd давления, а также потребляемой мощности λ. Формулы для расчета безразмерных параметров даны в приложении А.
Примечание - В качестве примера безразмерная аэродинамическая характеристика вентилятора приведена на рисунке Б.2 в приложении Б.
7.3 Аэродинамические характеристики вентилятора должны определяться по данным аэродинамических испытаний, проведенных в соответствии с ГОСТ 10921 или ISO 5801 [2] с указанием одного из четырех типов стандартизированных установок по разделу 6.
7.4 Для вентиляторов, создающих полное давление pv, превышающее 3% от абсолютного полного давления потока p1 перед входом в вентилятор, при расчете параметров аэродинамических характеристик должны вводиться поправки, учитывающие сжимаемость перемещаемого газа согласно ГОСТ 10921 или ISO 5801 [2].
7.5 У вентиляторов, предназначенных для работы с присоединяемой к ним сетью, за рабочий участок характеристики должна приниматься та ее часть, на которой значение полного КПД η≥0, 9 ηmax. На рабочем участке должно обеспечиваться условие устойчивой работы вентилятора.
7.6 Для вентиляторов, работающих при различных частотах вращения, должны приводиться рабочие участки кривых давления pv (Q), построенные в логарифмическом масштабе, на которых должны быть нанесены линии постоянных значений КПД, η, мощности, N, и указаны окружная скорость, u, и частота вращения, n, рабочего колеса.
Примечание - В качестве примера размерные аэродинамические характеристики вентилятора при разной частоте вращения рабочего колеса приведены на рисунке Б.3 в приложении Б.
7.7 Для вентиляторов, имеющих поворотные лопатки рабочего колеса или направляющего аппарата**, должен приводиться сводный график аэродинамических характеристик, соответствующих разным углам установки поворотных лопаток θк, с нанесенными на нем линиями постоянных значений КПД.
Примечание - В качестве примера безразмерные аэродинамические характеристики вентилятора с разными углами установки лопаток рабочего колеса θк приведены на рисунке Б.4 в приложении Б.
7.8 Пересчет аэродинамических параметров геометрически подобных вентиляторов при изменении диаметра и частоты вращения рабочего колеса проводят по формулам, приведенным в приложении А.
8.1 Акустические качества вентилятора должны оцениваться по шумовым характеристикам, определяющим зависимость общего, LW, или корректированного LwA уровня звуковой мощности от производительности, Q, вентилятора на рабочем участке аэродинамической характеристики и спектр шума в виде таблицы октавных или третьоктавных уровней звуковой мощности Lwi на режиме максимального значения КПД при определенной плотности газа ρ перед входом в вентилятор и постоянной частоте вращения n рабочего колеса (см. ГОСТ 31353.1).
Примечания
1 Допускается определять шумовую характеристику на одном режиме работы вентилятора, соответствующем максимальному значению КПД.
2 В качестве примера акустическая характеристика вентилятора приведена в виде таблицы Б.1 приложения Б.
8.2 Акустические характеристики вентилятора при разной частоте вращения рабочего колеса могут приводиться в виде линий постоянных значений уровня звуковой мощности совместно с аэродинамическими характеристиками вентилятора.
Примечание - В качестве примера акустические характеристики вентилятора при разной частоте вращения рабочего колеса приведены на рисунке Б.3 приложения Б.
8.3 Акустические характеристики должны определяться по данным акустических испытаний, проведенных в соответствии с ГОСТ 31353.1, ГОСТ 31353.2, ГОСТ 31353.3, ГОСТ 31353.4 с указанием одного из четырех типов стандартизированных установок (см. раздел 6).
8.4 При испытаниях определяют отдельно шум на входе в вентилятор (in), на выходе из вентилятора (out) и шум, излучаемый корпусом вентилятора (cas). Используют следующую систему обозначений 12 уровней звуковой мощности LW для различных компоновок вентиляторов, которая приведена в таблице 8 (см. также ГОСТ 31353.1).
8.5 Для вентиляторов, имеющих поворотные лопатки рабочего колеса или направляющего аппарата, шумовые характеристики должны определяться при всех углах установки лопаток и приводиться в виде сводного графика и таблиц.
8.6 Пересчет акустических параметров геометрически подобных вентиляторов при изменении диаметра и частоты вращения рабочего колеса проводят по формулам, приведенным в приложении А.
Номер |
Обозначение |
Наименование уровня звуковой мощности |
1 |
LW (A, in) |
Уровень звуковой мощности на свободном входе при компоновке типа А |
2 |
LW (A, out) |
Уровень звуковой мощности на свободном выходе при компоновке типа А |
3 |
LW (A, tot) |
Общий уровень звуковой мощности при компоновке типа А (включая шум входа, выхода, корпуса вентилятора и привода) |
4 |
LW (В, in) |
Уровень звуковой мощности на свободном входе при компоновке типа В |
5 |
LW (B, in+cas) |
Уровень звуковой мощности на свободном входе плюс уровень звуковой мощности при компоновке типа В |
6 |
LW (В, out) |
Уровень звуковой мощности, излучаемой из нагнетательного воздуховода при компоновке типа В |
7 |
LW (C, in) |
Уровень звуковой мощности, излучаемой из всасывающего воздуховода при компоновке типа С |
8 |
LW (C, out) |
Уровень звуковой мощности на свободном выходе при компоновке типа С |
9 |
LW (C, out+cas) |
Уровень звуковой мощности на свободном выходе плюс уровень звуковой мощности корпуса вентилятора при компоновке типа С |
10 |
LW (D, in) |
Уровень звуковой мощности, излучаемой из всасывающего воздуховода при компоновке типа D |
11 |
LW (D, out) |
Уровень звуковой мощности, излучаемой из нагнетательного воздуховода при компоновке типа D |
12 |
LW (D, cas) |
Уровень звуковой мощности, излучаемой корпусом вентилятора при компоновке типа D |
Примечание - Для обозначения уровней звуковой мощности в третьоктавных или октавных полосах в дБ или дБА используют соответствующие подстрочные индексы.
_______________________________
* Определения к этим терминам установлены ГОСТ 22270.
** Определение к этому термину установлено в ГОСТ 22270.
Приложение А
(справочное)
А.1 Полное давление вентилятора pv, Па, определяют по формуле
pv=p02-p01,
(А.1)
где p02 - полное абсолютное давление при выходе из вентилятора, Па;
p01 - полное абсолютное давление при входе в вентилятор, Па.
А.2 Динамическое давление вентилятора pdν, Па, определяют по формуле

(А.2)
где ρ - плотность газа, кг/м3;
cB - среднерасходная скорость потока при выходе из вентилятора, м/с, определяют по формуле
cB=Q/FB,
(А.3)
где Q - производительность вентилятора, м3/с;
FB - площадь выходного отверстия вентилятора, м2.
При скорости cB более 50 м/с следует вводить поправки, учитывающие сжимаемость газа в соответствии с ГОСТ 10921.
А.3 Статическое давление определяют по формуле
psv=pv-pdv.
(А.4)
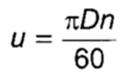
А.4 Окружную скорость определяют по формуле

(А.5)
где D - диаметр рабочего колеса, м;
n - частота вращения рабочего колеса, мин-1.
А.5 Коэффициент производительности вентилятора определяют по формуле

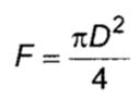
(А.6)
где F - площадь круга диаметром D, м2, определяют по формуле

(А.7)
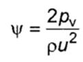
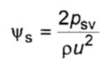
А.6 Коэффициенты полного ψ, статического ψs, динамического ψd давлений вентилятора без учета влияния сжимаемости определяют по формулам

(А.8)

(А.9)

(А.10)
А.7 Коэффициент мощности, потребляемой вентилятором, определяют по формуле

(А.11)
где N - мощность, потребляемая вентилятором, Вт.
А.8 Полный КПД вентилятора определяют по формуле

(А.12)
А.9 Статический КПД вентилятора определяют по формуле

(А.13)
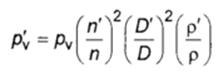
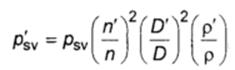
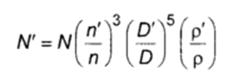
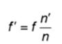
А.10 Пересчет аэродинамических характеристик геометрически подобных вентиляторов на другие частоты вращения n', диаметры рабочих колес и плотности перемещаемого газа ρ без поправок, учитывающих изменение числа Рейнольдса и влияния сжимаемости, проводят по формулам:

(А.14)

(А.15)

(А.16)

(А.17)

(А.18)
η'=η,
(А.19)
η's=ηs.
(А.20)
А.11 При полных давлениях pV, превышающих 3% значения абсолютного полного давления потока p01 перед входом в вентилятор, в формулах (А.6) - (А.18) вводятся поправки, учитывающие влияние сжимаемости согласно ГОСТ 10921.
А.12 Пересчет акустических характеристик геометрически подобных вентиляторов без поправок, учитывающих изменение числа Рейнольдса и влияние сжимаемости, проводят по формулам:

(А.21)

(А.22)

(А.23)
Приложение Б
(рекомендуемое)
В настоящем приложении приведены в качестве примера различные возможные варианты представления аэродинамических и акустических характеристик вентиляторов (рисунки 5.1 - 5.4).
Рисунок Б.1 - Размерная аэродинамическая характеристика вентилятора при постоянной частоте вращения и нормальной плотности перемещаемой среды с выделенным полужирным шрифтом рабочим участком с высоким КПД
Рисунок Б.2 - Безразмерная аэродинамическая характеристика вентилятора с выделенным полужирным шрифтом рабочим участком с высоким КПД
Рисунок Б.3 - Размерные аэродинамические и акустические характеристики вентилятора при разной частоте вращения рабочего колеса при нормальной плотности перемещаемой среды
Рисунок Б.4 - Безразмерные аэродинамические характеристики осевого вентилятора при разных углах θк установки лопаток рабочего колеса
Акустическая характеристика малогабаритного радиального вентилятора при частоте вращения 870 мин-1 приведена в таблице Б.1. Испытания проводились на установке типа А методом охватывающей поверхности по ГОСТ 31353.3. В таблице Б.1 приведены корректированные уровни звуковой мощности LWiA в октавных полосах частот, а также корректированный общий уровень звуковой мощности LWA на режиме, соответствующем максимальному значению КПД вентилятора. Уровни шума определялись на входе в вентилятор LW (A, in), на выходе из вентилятора LW (A, out) и излучаемый корпусом вентилятора LW (A, cas).
Обозначения |
LWA, дБА |
Уровень звуковой мощности LWiA в октавных полосах частот, Гц | |||||||
63 |
125 |
250 |
500 |
1000 |
2000 |
4000 |
8000 | ||
LW (A, in) |
77 |
66 |
68 |
67 |
67 |
70 |
72 |
66 |
58 |
LW (A, out) |
83 |
69 |
71 |
72 |
76 |
77 |
78 |
73 |
63 |
LW (A, cas) |
69 |
55 |
59 |
59 |
65 |
63 |
61 |
56 |
49 |
Библиография
[1] |
ISO 13351:2009 Fans - Dimensions |
[2] |
ISO 5801:2007 Industrial fans - Performance testing using standardized airways |