ГОСТ 10390-2015 ЭЛЕКТРООБОРУДОВАНИЕ НА НАПРЯЖЕНИЕ СВЫШЕ 3 кВ. МЕТОДЫ ИСПЫТАНИЙ ВНЕШНЕЙ ИЗОЛЯЦИИ В ЗАГРЯЗНЕННОМ СОСТОЯНИИ
Electrical equipment at voltages of 3 kV and above. Test methods of electric strength of external insulation in conditions of contamination
Дата введения - 1 марта 2017 г.
Взамен ГОСТ 10390-86
Предисловие
Цели, основные принципы и основной порядок проведения работ по межгосударственной стандартизации установлены ГОСТ 1.0-2015 "Межгосударственная система стандартизации. Основные положения" и ГОСТ 1.2-2015 "Межгосударственная система стандартизации. Стандарты межгосударственные, правила и рекомендации по межгосударственной стандартизации. Правила разработки, принятия, обновления и отмены"
Сведения о стандарте
1 Разработан ООО "Центр стандартизации и сертификации высоковольтного электрооборудования" (ООО "Ц СВЭП"); ФГУП "Всероссийский электротехнический институт имени В.И. Ленина" (ФГУП ВЭИ)
2 Внесен Федеральным агентством по техническому регулированию и метрологии
3 Принят Межгосударственным советом по стандартизации, метрологии и сертификации (протокол от 27 октября 2015 г. N 81-П)
За принятие проголосовали:
Краткое наименование страны по МК (ИСО 3166) 004-97 |
Код страны по МК (ИСО 3166) 004-97 |
Сокращенное наименование национального органа по стандартизации |
Азербайджан |
AZ |
Азстандарт |
Армения |
AM |
Минэкономики Республики Армения |
Беларусь |
BY |
Госстандарт Республики Беларусь |
Казахстан |
KZ |
Госстандарт Республики Казахстан |
Киргизия |
KG |
Кыргызстандарт |
Молдова |
MD |
Молдова-Стандарт |
Россия |
RU |
Росстандарт |
Таджикистан |
TJ |
Таджикстандарт |
Узбекистан |
UZ |
Узстандарт |
Украина |
UA |
Минэкономразвития Украины |
4 Приказом Федерального агентства по техническому регулированию и метрологии от 23 июня 2016 г. N 675-ст межгосударственный стандарт ГОСТ 10390-2015 введен в действие в качестве национального стандарта Российской Федерации с 1 марта 2017 г.
5 Настоящий стандарт соответствует международному стандарту IEC 60507:1991 "Изоляторы высокого напряжения переменного тока. Методы испытаний в условиях искусственного загрязнения" ("Artificial pollution tests on high-voltage insulators to be used on a.c. systems", NEQ) в части требований к методам солевого тумана.
Международный стандарт разработан Техническим комитетом по стандартизации ТС 36 "Изоляторы" Международной электротехнической комиссии (IEC)
6 Взамен ГОСТ 10390-86
Настоящий стандарт распространяется на электрооборудование, предназначенное для работы в наружных установках переменного тока частоты 50 Гц и постоянного тока классов напряжения 3 кВ и выше: трансформаторы (силовые, тока и напряжения), реакторы, аппараты, конденсаторы, кабельные муфты. Стандарт распространяется на изоляторы и изоляционные конструкции, выполненные из фарфора, стекла и полимерных материалов, в том числе на фарфоровые и стеклянные изоляторы с твердым полимерным покрытием.
Стандарт устанавливает общие методы испытаний внешней изоляции в загрязненном состоянии при длительном воздействии переменного или постоянного напряжения или коммутационных импульсов.
Стандарт не распространяется на изоляторы, поверхность которых покрыта полупроводящей глазурью или гидрофобными пастами, а также на вентильные разрядники и ограничители перенапряжений.
В настоящем стандарте использованы ссылки на следующие межгосударственные стандарты:
ГОСТ 1516.2-97 Электрооборудование и электроустановки переменного тока на напряжение 3 кВ и выше. Общие методы испытаний электрической прочности изоляции
ГОСТ 17512-82 Электрооборудование и электроустановки на напряжение 3 кВ и выше. Методы измерения при испытаниях высоким напряжением
ГОСТ 20419-83 Материалы керамические электротехнические. Классификация и технические требования
ГОСТ 27744-88 Изоляторы. Термины и определения
Примечание - При пользовании настоящим стандартом целесообразно проверить действие ссылочных стандартов в информационной системе общего пользования - на официальном сайте Федерального агентства по техническому регулированию и метрологии в сети Интернет или по ежегодному информационному указателю "Национальные стандарты", который опубликован по состоянию на 1 января текущего года, и по выпускам ежемесячного информационного указателя "Национальные стандарты" за текущий год. Если ссылочный стандарт заменен (изменен), то при пользовании настоящим стандартом следует руководствоваться заменяющим (измененным) стандартом. Если ссылочный стандарт отменен без замены, то положение, в котором дана ссылка на него, применяется в части, не затрагивающей эту ссылку.
В настоящем стандарте применены термины по ГОСТ 27744, а также следующие термины с соответствующими определениями:
3.1 испытательное напряжение: Действующее значение напряжения, длительно приложенное к изолятору при испытании [1].
3.2 ток короткого замыкания испытательной установки Iкз: Действующее значение тока, протекающего от испытательной установки, когда объект испытания закорочен при испытательном напряжении [1].
3.3 нормированная удельная длина пути утечки: Длина пути утечки изолятора, поделенная на максимальное рабочее фазное напряжение, приложенное к изолятору.
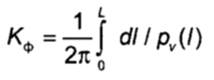
3.4 коэффициент формы изолятора Кф: Безразмерная величина, которая представляет длину пути утечки L, поделенную на интегрированную ширину изолятора р [1].
Примечание - Коэффициент формы изолятора рассчитывается по формуле

где L - длина пути утечки по поверхности защитной оболочки изолятора, см;
l - расстояние по поверхности до текущей точки, см;
pν (l) - кратчайшее расстояние от оси изолятора до текущей точки его поверхности, см.
3.5 поверхностная плотность загрязнения γ, г/см2: Показатель, который характеризует загрязнение испытуемого изолятора.
3.6 соленость: Концентрация раствора соли в водопроводной воде, выраженная количеством соли, поделенным на объем раствора.
3.7 удельная поверхностная электрическая проводимость слоя загрязнения χ, мкСм: Величина, определяемая делением коэффициента формы изолятора или части его на сопротивление поверхности изолятора или его части при увлажнении слоя загрязнения изолятора до насыщения.
3.8 плотность нерастворимого загрязнения: Количество нерастворимого загрязнения, счищенного с поверхности изолятора, отнесенного к площади этой поверхности.
3.9 эквивалентная поверхностная плотность солевого загрязнения: Количество поваренной соли NaCI или хлористого кальция CaCl2, которое при растворении в деминерализованной воде дает такую же проводимость, как счищенное с заданной поверхности изолятора загрязнение, отнесенное к площади этой поверхности.
3.10 50%-ное разрядное напряжение U50%: Испытательное напряжение, вероятность перекрытия изолятора при котором равна 0, 5.
3.11 выдерживаемое напряжение: Наибольшее значение напряжения, которое испытуемый изолятор выдерживает без перекрытия с заданной вероятностью.
4.1 При испытаниях изоляторов в загрязненном состоянии следует использовать следующие методы загрязнения изоляторов:
ЕЗ - загрязнение в естественных условиях;
ПЗ - метод предварительного (твердого) загрязнения;
СТ - метод солевого тумана.
4.2 Для испытаний методом ПЗ изоляторы искусственно покрывают по возможности равномерным слоем загрязняющего вещества. В качестве загрязняющего вещества следует применять материалы или композиции, имеющие в своем составе вещества, растворимые в воде и образующие электролит, создающий на поверхности слой с заданной проводимостью, а также связующее или цементирующее вещество.
Дополнительные указания к этому методу приведены в приложении А.
4.3 Для испытаний методом ЕЗ используют изоляторы, предварительно находившиеся в эксплуатационных условиях или на специальном стенде.
Срок нахождения изоляторов в эксплуатации или на стенде до испытания определен условиями загрязнения.
Изоляторы следует демонтировать, упаковывать и транспортировать таким образом, чтобы имеющийся на них слой загрязнения не был нарушен.
4.4 Для испытания методом СТ изоляторы устанавливают в специальной камере, которая заполнена солевым туманом, создаваемым путем распыления в воздухе раствора поваренной соли NaCI в воде.
Дополнительные указания к этому методу приведены в приложении Б.
4.5 Испытания следует проводить на полностью собранных объектах, которые устанавливают в положении (горизонтальном, вертикальном, наклонном), соответствующем их рабочему положению. Рабочее положение изолятора должно быть указано в программе испытаний или в технических условиях.
Расстояние от изоляторов до посторонних предметов при испытаниях должно быть не менее 0, 5 м на 100 кВ испытательного напряжения и в любом случае не менее 1, 5 м, чтобы полностью исключить возможность перекрытия на заземленные предметы.
4.6 При испытаниях изоляторов, загрязненных в естественных условиях, допускается определять электрическую прочность тарельчатых изоляторов в гирляндах не менее чем из двух элементов, а опорные изоляторы или покрышки испытывать из одного элемента.
4.7 Допускается проводить испытания внешней изоляции электрооборудования и изоляторов без их внутренней части, а также не макетируя экранную арматуру, ошиновку, заземленные конструкции (траверсы опор, подножники аппаратов, корпуса трансформаторов и т.д.). При испытании без внутренней части должны быть приняты меры, исключающие развитие разряда по внутренней поверхности изолятора.
4.8 Источник напряжения (испытательный трансформатор или выпрямительная установка вместе с питающим их устройствами) следует выбирать таким, чтобы ток утечки по испытуемому изолятору при приложении испытательного напряжения не вызывал снижения приложенного к изолятору напряжения более чем на 10% по сравнению с напряжением холостого хода.
Дополнительные требования к источникам переменного и постоянного напряжения приведены в приложении В.
4.9 В общем случае испытательное напряжение должно совпадать с наибольшим фазным напряжением (фаза-земля), которое изолятор должен выдерживать в нормальных рабочих условиях [1].
Испытательные напряжения следует измерять с помощью устройств, включенных на стороне высокого напряжения параллельно испытуемому объекту. Методы измерения - по ГОСТ 17512.
4.10 Токи утечки и приложенное к изолятору напряжение следует определять осциллографированием, обеспечивающим класс точности не менее 1%. Измерительная схема, состоящая из цифрового запоминающего осциллографа с большим объемом памяти, персонального компьютера, программного обеспечения, должна позволять непрерывно регистрировать испытательное напряжение и ток в течение не менее 3 с. Полоса пропускания осциллографа должна быть не менее 1 кГц.
4.11 Требования к форме кривой переменного напряжения, а также к скорости подъема напряжения при испытаниях должны соответствовать ГОСТ 1516.2. Частота напряжения должна быть в пределах от 48 до 52 Гц.
4.12 При проведении испытаний коммутационными импульсами применяют апериодический коммутационный импульс со следующими параметрами: время подъема при (100±20) мкс, длительность при (5000±1500) мкс или колебательный коммутационный импульс - 4000/7500 по ГОСТ 1516.2.
5.1 Изоляторы, предназначенные для испытаний методами ПЗ и СТ, до нанесения слоя загрязнения должны быть тщательно очищены от грязи и жиров (масел). При очистке должна быть обеспечена неповреждаемость поверхности стекла, фарфора или полимерного материала. После очистки не допускается прикасаться к изоляционной поверхности изолятора.
5.1.1 Используемые для очистки изоляторов посторонние вещества после очистки должны быть тщательно удалены с поверхности изоляторов, с тем чтобы они не могли повлиять на результаты испытаний.
5.1.2 Перед каждым последующим загрязнением, кроме отдельно оговоренных случаев, изолятор должен быть тщательно промыт проточной водой для удаления всех следов предыдущего загрязнения.
5.2 При проведении испытаний методами ПЗ и ЕЗ в качестве меры степени загрязнения следует использовать удельную поверхностную электрическую проводимость, измеряемую на испытуемых или контрольных изоляторах того же типа, находящихся в одинаковых условиях с испытуемыми изоляторами. Удельная поверхностная проводимость должна быть измерена не менее чем на трех изоляторах для определения характеристики загрязнения.
5.2.1 Для изоляторов, загрязненных методом ЕЗ, рекомендуется определять удельную поверхностную проводимость отдельных участков поверхности изолятора, имеющих разную степень загрязнения.
5.2.2 Удельную поверхностную проводимость слоя загрязнения определяют путем умножения измеренного значения поверхностной проводимости увлажненного до состояния насыщения слоя загрязнения испытуемого изолятора на коэффициент формы Кф.
5.2.3 Удельная поверхностная проводимость испытуемых изоляторов считается одинаковой, если на разных изоляторах она отличается не более чем на ±15 % от среднего значения при использовании метода ПЗ или соответствует среднему значению при использовании метода ЕЗ для изоляторов, демонтированных из одного места.
5.3 При испытании изоляторов методами ПЗ и ЕЗ следует также определять поверхностную плотность слоя загрязнения путем взвешивания загрязняющего вещества, отнесенного к единице поверхности, с которой произведена счистка. Общее число измерений должно быть не менее пяти.
5.4 При испытании изоляторов методом ЕЗ следует определять поверхностную плотность загрязнения отдельных участков путем взвешивания количества загрязнения, отнесенного к единице поверхности, а также характеристики загрязняющего вещества (химический состав, содержание растворимых и нерастворимых веществ, содержание углеродистых веществ и т.д.).
5.5 При испытании изоляторов методом СТ в качестве меры степени загрязнения следует использовать соленость раствора, применяемого для создания искусственного тумана. Степень солености раствора может контролироваться как по его удельной плотности, так и по его удельной электрической проводимости, отнесенной к 20°С (см. приложение Б).
6.1 Отобранные для испытаний изоляторы должны быть чистыми, сухими и иметь температуру по возможности близкую к температуре помещения (окружающей среды), в котором проводят испытания (отличаться от нее не более чем на ±2°С). Температура окружающего воздуха при испытаниях должна быть в пределах от 5°С до 30°С.
6.2 Испытания, как правило, должны проводить не менее чем на трех изоляторах или изоляционных конструкциях (гирлянд подвесных изоляторов, колонок опорных изоляторов и др.) При испытании крупногабаритных подстанционных изоляторов классов напряжения 220 кВ и выше число испытуемых объектов может быть сокращено до одного, на котором проводят повторно требуемое количество испытаний.
6.3 При испытании объектов, состоящих из отдельных последовательно соединенных элементов (например, колонок опорных изоляторов, гирлянд подвесных изоляторов, батарей конденсаторов), разрядное напряжение можно определять на одном или нескольких элементах с экстраполяцией полученных результатов на всю конструкцию, при условии обоснования применяемой экстраполяции.
6.4 Испытания изоляторов при загрязнении методом СТ следует проводить в закрытой испытательной камере.
6.5 Испытания изоляторов при загрязнении методами ПЗ и ЕЗ можно проводить как в испытательной камере в атмосфере чистого тумана, так и на открытом воздухе при увлажнении их поверхности мелкодисперсной водой.
6.6 При проведении испытаний методом ПЗ рекомендуется использовать загрязняющее вещество в двух вариантах.
6.6.1 В качестве загрязняющего вещества по первому варианту следует применять суспензию, состоящую из 40 г просеянного алебастра и 200 г каолина на 1000 г водопроводной воды. Проводимость водопроводной воды должна быть не более 200 мкСм см-1.
Порядок подготовки загрязняющей смеси приведен в приложении А.
6.6.1.1 Полученную смесь распыляют пульверизатором, она образует на поверхности изоляции после высыхания достаточно прочный слой загрязнения с практически стабильной поверхностной проводимостью в пределах от 8 до 12 мкСм (при плотности 3 мг/см2).
6.6.1.2 При необходимости получить более высокую поверхностную проводимость в распыляемую пульверизатором водопроводную воду добавляют соответствующее количество концентрированного раствора хлористого кальция CaCl2 или раствора поваренной соли NaCI.
6.6.1.3 Перед нанесением на объект загрязнения необходимо определить поверхностную площадь изолятора и, исходя из плотности загрязнения (рекомендуется 3 мг/см2 сухого вещества), определить количество необходимой для распыления суспензии.
6.6.1.4 Распыление должно быть проведено равномерно по всей поверхности изолятора и проконтролировано путем взвешивания сухого загрязняющего вещества, счищенного с любой части изолятора в трех-пяти местах в зависимости от его высоты. Равномерность запыления изолятора в разных местах не должна отличаться более чем на 0, 5 мг/см2.
6.6.2 По второму варианту в качестве загрязнения используют смесь, которая имеет удельную объемную электрическую проводимость, достаточную для получения нормированной удельной поверхностной проводимости слоя загрязнения. Смесь состоит из 250 г нейтрального вещества (материал керамический электротехнический, подгруппа 110, ГОСТ 20419) на 1000 г водопроводной воды и необходимое количество поваренной соли NaCI промышленной чистоты (от 1 до 25 г).
6.6.2.1 В данную смесь окунают испытуемый изолятор или обливают его этой смесью, подсушивают и так несколько раз до получения заданной плотности загрязнения. Плотность загрязнения изолятора контролируют либо счисткой с определенной его поверхности в нескольких местах, либо измерением его удельной поверхностной проводимости. После последнего окунания или обливания подготовленный изолятор устанавливают на испытательном поле, и к нему сразу прикладывают напряжение.
6.6.2.2 Дополнительные указания к методу ПЗ и другие возможные составы загрязняющих веществ, используемых при испытании этим методом, приведены в приложении А.
В приложении Г приведены некоторые особенности искусственного загрязнения полимерных изоляторов.
6.7 При испытании методом СТ следует использовать солевой раствор, приготовленный из хлористого натрия NaCI коммерческой степени чистоты и водопроводной проточной воды. В проточной воде не должны содержаться вещества, создающие твердый слой на поверхности изолятора, в противном случае рекомендуется использовать деминерализованную воду.
6.8 Для увлажнения поверхности изоляторов как во время нанесения искусственного загрязнения, так и в процессе всех видов испытаний (измерение удельной поверхностной проводимости, приложение испытательного напряжения) следует применять мелкодисперсную воду (распыленная вода, туман). Температура воды должна находиться в пределах от 5°С до 20°С.
6.9 При испытании изоляторов следует использовать один из следующих способов приложения напряжения:
- ПТД - длительное приложение напряжения быстродействующим коммутирующим устройством (толчком) к загрязненному и заранее увлажненному изолятору и выдержка при неизменном напряжении и продолжающемся увлажнении;
- ПД - длительное приложение неизменного напряжения к загрязненному изолятору с последующим его непрерывным увлажнением или к чистому изолятору с последующим осаждением на него солевого тумана;
- ПП - плавный подъем напряжения при предварительном увлажнении загрязненного изолятора;
- ПТ - приложение неизменного напряжения толчком к загрязненному и заранее увлажненному изолятору.
В стандартах или технических условиях на отдельные виды электрооборудования либо изоляторы должен быть указан способ приложения напряжения.
6.10 Испытания изоляции способами ПТД и ПД
6.10.1 При испытании способом ПТД (метод ПЗ и ЕЗ) изоляторы увлажняют в камере тумана до насыщения слоя загрязнения. Состояние насыщения устанавливают при достижении установившегося значения поверхностного сопротивления (измеряемого, например, мегаомметром). После этого к изоляторам, при продолжающемся увлажнении, толчком прикладывают напряжение, значение которого в течение всего времени остается неизменным. Испытание продолжают до тех пор, пока не произойдет перекрытия изоляторов или пока изоляторы не выдержат приложения напряжения в течение не менее 15 мин.
6.10.2 При испытании способом ПД (метод ПЗ, СТ, ЕЗ) к загрязненным изоляторам до начала увлажнения прикладывают напряжение, значение которого в течение всего времени испытания остается неизменным. После этого изоляторы увлажняют в течение всего времени приложения напряжения. Испытания продолжают до тех пор, пока не произойдет перекрытия или пока изоляторы не выдержат приложенное напряжение в течение не менее 15 мин.
6.10.3 Критерием оценки при этих способах испытаний является отсутствие перекрытия в течение трех последовательных испытаний. Если происходит одно перекрытие, должен быть проведен четвертый опыт, если не происходит перекрытия, то изолятор прошел испытания.
6.11 Испытания изоляции способом ПП
6.11.1 При испытании способом ПП (метод ПЗ и ЕЗ) загрязненные поверхности изоляторов предварительно увлажняют мелкокапельной влагой до насыщения слоя загрязнения. После этого должно быть произведено несколько последовательных измерений разрядных напряжений (перекрытий изоляторов) при плавном подъеме напряжения без дополнительного увлажнения поверхности изолятора. Перекрытия следует проводить до тех пор, пока значения разрядных напряжений не будут систематически возрастать вследствие подсыхания поверхности изоляторов.
6.11.2 После этого проводят новое увлажнение и новую серию перекрытий на одном изоляторе без смены загрязнения, если не наблюдается разрушения слоя загрязнения, приводящего к систематическому увеличению разрядных напряжений в повторных сериях.
Таких серий перекрытий проводят 10. За значение разрядного напряжения принимают среднее значение из минимальных, полученных в каждой серии.
6.11.3 Если минимальное значение разрядного напряжения, полученное на одном и том же изоляторе, в одной из серий перекрытий будет превышать более чем на 10% среднее значение из минимальных, полученных в других сериях, то проводят еще одну дополнительную серию перекрытий, а завышенный результат не учитывают.
6.11.4 Интервалы между двумя подъемами напряжения в каждой серии измерений не должны превышать 1 мин.
6.11.5 Скорость подъема напряжения до значения, равного 50% ожидаемого разрядного напряжения произвольная. Сверх этого значения скорость подъема напряжения должна быть от 2 до 10% в секунду. Если во время подъема напряжения будет наблюдаться интенсивная подсушка поверхности изоляторов, то скорость подъема напряжения должна быть увеличена.
6.12 Испытания изоляции способом ПТ
6.12.1 При испытании способом ПТ (методы ПЗ и ЕЗ) поверхность изоляторов перед каждым приложением напряжения предварительно увлажняют до насыщения. После этого к изолятору толчком прикладывают напряжение до тех пор, пока не произойдет перекрытие или поверхность изолятора настолько подсохнет, что перекрытие его станет невозможным.
6.12.2 Если изолятор выдержал приложенное толчком напряжение, он снова увлажняется и к нему прикладывают повышенное на величину от 5 до 7 % напряжение. Если произошло перекрытие, то цикл увлажнения повторяют, а к изолятору прикладывают пониженное на величину от 5 до 7% напряжение (методика "вверх-вниз"). Испытание изоляторов по такой методике увлажнения при загрязнении смесью по первому варианту позволяет провести до 15 и более циклов приложения напряжения при практически стабильной поверхностной проводимости в пределах 10 мкСм.
6.12.3 Сопротивление изолятора определяют с помощью высоковольтного мегаомметра после каждого цикла увлажнения и в момент включения напряжения по результатам осциллографирования тока и напряжения в первые два-три полупериода, когда еще не наблюдаются изменения их величины и формы.
Время между измерением сопротивления мегаомметром и осциллографированием тока и напряжения не должно превышать 1 мин. Результаты измерения сопротивления фиксируют по осциллограммам, а по мегаомметру - для контроля. Как правило, эти результаты совпадают и должны быть в пределах погрешности измерений.
6.12.4 Для получения более высокой проводимости (от 15 до 60 мкСм) в распыляемую воду добавляют соответствующее количество концентрированного раствора хлористого кальция CaCl2 или раствора поваренной соли NaCI на литр водопроводной воды (на каждые 10 - 15 мкСм примерно от 8 до 10 мл раствора солей) и проводят испытания по вышеприведенной методике. Количество приложений напряжения при этом должно быть не менее 10.
6.13 50%-ное разрядное напряжение U50% определяют способом "вверх-вниз".
6.13.1 По этому способу испытательное напряжение изменяют от опыта к опыту на постоянное значение, составляющее от 5 до 7% от ожидаемого 50%-ного разрядного напряжения. Порядок изменения напряжения следующий: если на данной ступени произошло перекрытие изолятора, то переходят на ступень ниже, если перекрытия не было - на ступень выше.
6.13.2 По результатам измерений определяют 50%-ное разрядное напряжение по следующей формуле:

(1)
где k - число зачетных ступеней;
Ui - напряжение ступени, В;
ni - число воздействий напряжения;
N - общее число зачетных воздействий напряжения, которое должно быть не менее 10.
6.13.3 Зачетными являются ступени от наибольшей, при которой не было перекрытия, до наименьшей, при которой было перекрытие.
Пример определения 50%-ного разрядного напряжения приведен в приложении Д.
6.14 50%-ное напряжение при испытании способом ПТД, ПД и ПТ можно определить путем повышения-понижения равными ступенями (от 5 до 7% от опыта к опыту) длительно приложенного напряжения. Если перекрытия изолятора не наблюдается, переходят на более высокую ступень напряжения. После достижения перекрытия приложенное напряжение на ступень снижается. Изоляторы считаются выдержавшими испытания, если значение 50%-ного разрядного напряжения не менее нормированного значения.
6.15 В качестве загрязняющего вещества следует применять один из двух вариантов загрязнения по 6.6.1 и 6.6.2. Поверхностная плотность загрязнения γ должна составлять (3, 0±0, 5) мг/см2. При этом следует предусмотреть возможность изменения эквивалентной поверхности плотности солевого отложения в пределах от 0, 01 до 1, 00 мг/см2.
При этих испытаниях загрязнение нормируется либо по удельной поверхностной проводимости (основной вариант), либо по эквивалентной поверхностной плотности солевых отложений.
Рекомендуется при испытаниях применять значения удельной поверхностной проводимости из ряда: 5; 10; 15; 20; 30; 40 и 60 мкСм. Максимальное отклонение от выбранного значения не должно превышать ±15%.
6.16 Для более точного определения 50%-ного разрядного напряжения удобно определить зависимость 50%-ных разрядных напряжений при разных загрязнениях (разных значениях удельной поверхностной проводимости) и по полученной зависимости определить U50% для нормированного значения загрязнения.
6.17 Испытания можно проводить способом ПТ при загрязнении методом ПЗ. Испытания также проводят не менее чем десятью приложениями нормированного напряжения, указанного в нормативно-технической документации, при загрязнении не ниже нормированного значения. Изоляторы считают выдержавшими испытание, если не произошло ни одного перекрытия. В случае одного перекрытия допускается провести повторные испытания также при 10 приложениях напряжения. Изоляторы считаются выдержавшими испытание, если при повторном испытании не произошло ни одного перекрытия.
6.18 Проверка электрической прочности изоляторов при нормированном загрязнении и заданном испытательном напряжении (метод СТ)
6.18.1 В качестве загрязняющего и увлажняющего вещества применяют мелкодисперсную проводящую воду (солевой туман). В качестве степени загрязненности изоляторов рекомендуется применение следующего ряда солености (концентрации соли): 2, 5; 3, 5; 5; 7; 10; 14; 20; 28; 40; 56; 80; 112; 160 и 224 г/л. Максимальное отклонение от номинального значения не должно превышать ±5%.
6.18.2 При этом испытании к чистым изоляторам прикладывают напряжение, после чего включают туманообразующие сопла (см. приложение Б), и это напряжение держат неизменным до перекрытия изолятора или в течение заданного времени (не менее 30 мин).
6.18.3 Испытание проводят не менее чем десятью приложениями заданного напряжения, указанного в нормативно-технической документации, при загрязнении не ниже заданного значения. Изоляторы считаются выдержавшими испытание, если не произошло ни одного перекрытия. В случае одного перекрытия допускается провести повторные испытания также при 10 приложениях заданного напряжения. Изоляторы считаются выдержавшими испытание, если при повторном испытании не произошло ни одного перекрытия.
6.18.4 По этой методике испытания могут проводить также путем определения 50%-ного разрядного напряжения методом "вверх-вниз", которое определяют так же, как указано в 6.13. Время выдержки на каждой ступени напряжения должно быть не менее 30 мин.
6.18.5 Изоляторы считаются выдержавшими испытание, если при заданной солености 50%-ное разрядное напряжение не меньше значения, заданного в нормативно-технической документации. Ступень при изменении напряжения должна составлять от 5 до 7% от приложенного значения.
6.19 Определение наибольшей загрязненности, при которой изоляторы выдерживают нормированное напряжение (методы ПЗ и СТ).
6.19.1 При этих испытаниях нормированное испытательное напряжение принимают близким по значению к наибольшему рабочему напряжению, при котором изоляторы должны работать в эксплуатации, и указывают в нормативно-технической документации.
6.19.2 При использовании метода ПЗ в качестве наибольшей степени загрязнения принимается степень загрязнения, при которой нормированное испытательное напряжение изолятор выдерживает с вероятностью 50%.
6.19.3 При использовании метода СТ для определения максимальной выдерживаемой солености испытания начинают с туманом большой солености, при которой происходит перекрытие изолятора. Последующие испытания проводят при уменьшающихся степенях солености тумана до тех пор, пока изолятор не выдержит приложенного напряжения в течение 30 мин без перекрытия, после чего опыты на данной степени солености повторяют. Если изолятор выдержит четыре таких приложения напряжения, то это значение принимают за выдерживаемую соленость.
6.20 Определение разрядных напряжений изоляторов при естественном загрязнении (метод ЕЗ, послеэксплуатационные испытания)
Основной способ приложения напряжения - ПП. При наличии достаточного количества демонтированных изоляторов предпочтительно использовать способ ПД. Объем и периодичность испытаний устанавливают по согласованию между заказчиком и исполнителем.
6.21 Определение зависимостей разрядных напряжений изоляторов при их загрязнении методом ПЗ или методом СТ
6.21.1 Разрядные напряжения должны определяться при нескольких степенях загрязнения, обуславливающих изменение разрядных напряжений в пределах от наибольшего фазного напряжения изолятора (или приходящейся на него доли этого напряжения) до напряжения, превышающего фазное приблизительно в два раза.
6.21.2 Разрядные напряжения должны определять при удельной поверхностной проводимости от 1 до 15 мкСм для чистых и слабозагрязненных условий работы изоляторов, и от 8 до 45 мкСм - для средне и сильно загрязненных условий.
В стандартах или технических условиях на отдельные типы изоляторов должны быть указаны конкретные значения удельной поверхностной проводимости и солености, соответствующие указанным условиям.
6.22 При испытании коммутационными импульсами к изолятору, загрязненному методом ПЗ, прикладывают предварительное напряжение способом ПТ или ПД. Значение предварительного напряжения должно быть равно наибольшему рабочему напряжению, деленному на . Изолятор выдерживают под предварительным напряжением до тех пор, пока не произойдет стабилизация процессов в поверхностном слое.
Длительность воздействия предварительного напряжения устанавливают на основании предварительных опытов по стабилизации предразрядных процессов на изоляторе, которая может быть определена как визуально, так и путем регистрации токов по поверхности, однако длительность предварительного воздействия напряжения должна быть не менее 5 мин. После этого предварительное напряжение и увлажнение отключают и к изолятору прикладывают коммутационный испытательный импульс. Интервал между отключением длительного напряжения и включением импульса не должен превышать 30 с.
6.23 При испытании определяют 50%-ное разрядное напряжение способом "вверх-вниз". Перед каждым новым приложением напряжения проводят увлажнение.
Приложение А
(обязательное)
А.1 В качестве загрязняющих веществ рекомендуется применять суспензии, содержащие в своем составе инертное связующее вещество и вещество, обеспечивающее суспензии электролитические свойства с определенной проводимостью. Для получения необходимой проводимости суспензии могут быть использованы поваренная соль NaCI или хлористый кальций. CaCl2
А.2 При проведении испытаний методом ПЗ рекомендуется использовать загрязняющее вещество в двух вариантах.
А.2.1 По первому варианту в качестве загрязняющего вещества следует применять суспензию, состоящую из 40 г просеянного алебастра и 200 г каолина на 1000 г водопроводной воды.
При приготовлении суспензии вначале высыпают в воду каолин, размешивают, а затем небольшими порциями засыпают отмеренный алебастр при непрерывном помешивании полученной суспензии. Перемешивание необходимо проводить непрерывно в течение часа, для того чтобы исключить слипание алебастра.
Каолин в смеси присутствует в качестве нейтрального вещества, а алебастр - как слабосвязующее и солесодержащее вещество. Сульфаты, которые имеются в алебастре, CaSO4*0, 5H2O, растворяются постепенно от увлажнения к увлажнению, поэтому они обеспечивают практически стабильную поверхностную проводимость в пределах от 8 до 12 мкСм (при плотности 3 мг/см2).
А.2.2 Второй вариант состава загрязняющей смеси в основном применяют при загрязнении изоляторов методом окунания.
Для этого используют смесь, которая имеет удельную объемную электрическую проводимость, достаточную для получения нормированной удельной поверхностной проводимости слоя загрязнения. Смесь состоит из 250 г нейтрального вещества (материал керамический электротехнический, подгруппа 110, ГОСТ 20419) на 1000 г водопроводной воды и необходимое количество поваренной соли NaCI промышленной чистоты (от 1 до 25 г).
А.3 В качестве дополнительных вариантов могут быть применены, например, следующие суспензии:
1) 40 г каолина или аналогичного инертного связующего, 1000 г воды, необходимое количество соли NaCI в зависимости от требуемой степени загрязнения;
2) 100 г кизельгура, 10 г высокодисперсной двуокиси кремния, 1000 г воды, необходимое количество соли NaCI в зависимости от требуемой степени загрязнения;
3) 200 г нейтрального вещества (каолина, кизельгура), 50 г алебастра, 1000 г проточной воды;
4) содержащие влагу (на основе аэросила, метилцеллюлозы и др.).
А.4 Изоляторы можно покрывать слоем искусственного загрязнения любым способом, например:
1) разбрызгиванием (напылением) водной суспензии загрязняющего вещества на поверхность изолятора;
2) погружением (окунанием) изолятора в водную суспензию загрязняющего вещества.
При этом равномерность слоя загрязнения в любых точках поверхности изолятора должна удовлетворять требованиям А.8. Время нанесения загрязнения может быть сокращено предварительным нагревом изолятора.
А.5 Рекомендуется применять значения удельной поверхностной проводимости, выбираемые из ряда: 5, 10, 15, 20, 30, 40 и 60 мкСм. Максимальное отклонение от номинального значения не должно превышать ±15 %.
А.6 Удельную поверхностную проводимость определяют путем умножения измеренного значения поверхностной проводимости увлажненного до состояния насыщения слоя загрязнения испытуемого изолятора на коэффициент формы, определяемый из размеров изолятора.
Определение поверхностной проводимости слоя загрязнения следует проводить на изоляторе во время непрерывного увлажнения до состояния насыщения и повторять с целью определения максимального измеренного значения. Измерение поверхностной проводимости слоя загрязнения следует проводить путем осциллографирования тока и напряжения при включении напряжения толчком в течение первых двух - трех полупериодов.
Удельная поверхностная проводимость слоя загрязнения χ, %, мкСм, должна быть приведена к температуре 20°С по формуле
χ20=χt·[1-b·(t-20)],
(A.1)
где χt - удельная поверхностная проводимость, измеренная при температуре 20°С;
b - коэффициент, приведенный в Б.3 приложения Б.
А.7 При испытании изоляторов рекомендуется дополнительно определять поверхностную плотность растворимого и нерастворимого вещества.
А.8 Средняя поверхностная плотность загрязнения, выражаемая в миллиграммах сухого вещества на квадратный сантиметр поверхности, для изоляторов, одновременно проходящих испытание, не должна отличаться от заданной более чем на ±15%.
А.9 Равномерность слоя загрязнения в пределах изолятора должна быть такой, чтобы поверхностная плотность слоя загрязнения в любом месте поверхности не отличалась от среднего значения более чем на ±25%.
А.10 Степень неравномерности загрязнения в пределах изолятора рекомендуется контролировать при помощи поверхностной плотности загрязнения, определяемой счисткой его с различных участков изолятора.
Допускается для этой цели использование специальных зондов или металлических электродов (бандажей), определяющих удельную поверхностную проводимость различных участков поверхности. Плотность загрязнения или проводимость, измеряемая зондом, в любом месте поверхности должна отличаться от среднего значения не более чем на ±30%.
А.11 Поверхностную плотность загрязнения следует определять при помощи взвешивания загрязняющего вещества, счищенного с определенной части поверхности испытуемого или контрольного изолятора. Поверхностную плотность загрязняющего вещества γ определяют по формуле
γ = M/S,
(A.2)
где М - масса счищенного вещества, мг;
S - площадь очищенной поверхности, см2.
Приложение Б
(обязательное)
Б.1 Перед испытанием все металлические части и цемент должны быть окрашены противокоррозионной краской. При очистке следует удалить следы грязи и жиров, после чего изолятор должен быть ополоснут водой с проводимостью не более 500 мСм·см-1.
Б.2 Раствор соли следует приготовлять путем растворения в воде соли NaCI в заданной концентрации, в г/л. Концентрация раствора может быть измерена по плотности (ареометром) или проводимости с поправкой на температуру.
Значения удельной электрической проводимости и плотности раствора, отвечающие рекомендованному ряду солености (концентрации) раствора, указаны в таблице Б.1.
Б.3 Испытания следует проводить в специально оборудованном помещении (камере). При помощи определенного числа распылителей из раствора соли струей сжатого воздуха, проходящей поперек сопла, подающего раствор, создается мелкодисперсная вода (туман). Концы сопел должны быть срезаны перпендикулярно оси и полированы. Пример устройства для создания солевого тумана приведен на рисунке Б.1 [1].
Б.3.1 В период испытания расход воды на каждое сопло должен составлять (0, 50±0, 05) л/мин и допуск на расход воды всеми распылителями - ±5%.
Б.3.2 Распылители следует устанавливать на двух параллельных колоннах, располагаемых с противоположных сторон испытуемого изолятора, параллельных его оси, т.е. для подвесных гирлянд колонны располагают вертикально, для натяжных гирлянд - горизонтально. В случае наклонного расположения изолятора колонны должны также располагаться наклонно. Расстояние между распылителями и осью изолятора - (3, 00±0, 05) м.
Б.3.3 Распылители должны быть установлены на колоннах с интервалом 0, 6 м. Каждый распылитель должен быть установлен перпендикулярно оси колонны по направлению к противоположной колонне в пределах 1° по проекции факела.
Среднюю точку изолятора следует располагать по центру с распылителями. Обе колонны должны с обоих концов выступать за края изолятора на 0, 6 м. При вертикальных изоляторах нижнее сопло должно быть на 0, 6 м выше пола помещения.
Б.3.4 К воздушному соплу должен подводиться отфильтрованный очищенный от масла сжатый воздух при давлении (7, 00±0, 28) кгс/см2.
Соленость раствора при 20°С, г/л |
Плотность раствора при 20°С, кг/л |
Удельная электрическая проводимость раствора при 20°С, мСм·см-1 |
2, 5 |
0, 9999 |
4, 32 |
3, 5 |
1, 0007 |
6, 0 |
5 |
1, 0017 |
8, 33 |
7 |
1, 0031 |
11, 52 |
10 |
1, 0052 |
15, 91 |
14 |
1, 0082 |
21, 59 |
20 |
1, 0124 |
29, 86 |
28 |
1, 0180 |
40, 97 |
40 |
1, 0259 |
55, 94 |
56 |
1, 0373 |
75, 63 |
80 |
1, 0527 |
100, 80 |
112 |
1, 0746 |
130, 10 |
160 |
1, 1045 |
167, 30 |
224 |
1, 1400 |
202, 60 |
Примечание - Если температура раствора отличается от 20°С, значения проводимости должны быть пересчитаны по следующей формуле:
σ20=σt·[1-b·(t-20)],
где t - температура раствора, °С;
σt - проводимость при температуре t°C, мСм·см-1;
σ20 - проводимость при температуре 20°С, мСм·см-1;
b - коэффициент со следующими значениями:
при t = 0°С - 0, 03675;
при t = 10°С - 0, 02817;
при t = 20°С - 0, 02277;
при t = 30°С - 0, 01905.
Для промежуточных температур значения b могут быть получены интерполяцией.
Рисунок Б.1 - Устройство для создания солевого тумана
Приложение В
(обязательное)
В.1 Источник переменного и постоянного напряжения должен обеспечивать при непрерывном протекании тока утечки и его бросках падение напряжения, приложенного непосредственно к испытуемому изолятору, не более 5 - 10% от значения приложенного напряжения при отсутствии тока утечки.
В.2 Источник переменного напряжения (испытательный трансформатор вместе с питающим устройством) следует выбирать таким образом, чтобы эффективное значение тока короткого замыкания не менее чем в 10 раз превышало наибольшее значение амплитуды импульсов тока утечки по испытуемому изолятору, возникающих в процессе испытаний и не приводящих к перекрытию изолятора.
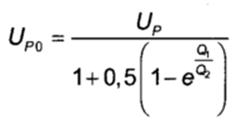
В.3 Источник постоянного напряжения (выпрямительная установка), пригодный для испытаний загрязненных и увлажненных изоляторов без введения поправок в полученные значения разрядных напряжений, должен обеспечивать отношение Q1/Q2<0, 1, где Q1 - заряд, стекающий с поверхности загрязненных изоляторов при протекании тока утечки, Q2 - заряд, накопленный в выходной емкости выпрямительной установки. Испытания загрязненных изоляторов на выпрямительных установках с Q1/Q2 > 1, 0 недопустимы. При использовании выпрямительных установок с 0, 1≤Q1/Q2≤1, 0 в результаты испытаний следует вводить поправки в соответствии с формулой

(В.1)
где Upo - разрядное напряжение загрязненных изоляторов при Q1/Q2 < 0, 1;
Up - разрядное напряжение загрязненных изоляторов, полученное на установке с 0, 1≤Q1/Q2≤1, 0.
Приложение Г
(обязательное)
Г.1 Если после первичного нанесения слоя загрязнения на изоляторе наблюдается пятнистость, поверхность изолятора необходимо обмыть и очистить. Затем необходимо произвести одно или несколько повторных загрязнений, каждое из которых должно быть вновь смыто. Если после такой процедуры на поверхности изолятора будет получен сплошной (равномерный) слой, можно приступить к испытаниям. Как правило, достаточно повторить загрязнение и смыв два - три раза, чтобы получить поверхность изолятора, готовую к практически равномерному загрязнению.
В том случае если после указанных процедур не удается достигнуть равномерного слоя загрязнения, на чистую сухую поверхность изолятора следует нанести порошок, приготовленный из керамической массы. Нанесение должно быть произведено путем протирки изолятора мягкой тканью, на которой находится некоторое количество порошка. Не допускается какая-либо механическая или химическая обработка поверхности изолятора.
Г.2 Затем производят загрязнение изоляторов способом разбрызгивания (распыления) водной суспензии загрязняющего вещества на поверхность изолятора, предварительно подготовленную в соответствии с Г.1.
Направление сопла распылителя должно быть отрегулировано таким образом, чтобы обеспечить достаточно равномерный слой на всей поверхности изолятора. Необходимая плотность загрязнения на изоляторе может быть получена повторяющимися нанесениями.
Средняя поверхностная плотность загрязнения, выражаемая в миллиграммах сухого вещества на квадратный сантиметр поверхности, для изоляторов, одновременно проходящих испытание, должна составлять (3, 0±0, 6) мг/см2.
Поверхностную плотность загрязнения γ определяют путем деления массы загрязняющего вещества, мг, счищенного с определенной части поверхности испытуемого изолятора, на площадь очищенной поверхности, см2. Допускается произвести очистку слоя загрязнения только с верхней поверхности ребер изолятора.
Г.3 Степень загрязнения определяют удельной поверхностной проводимостью χ, измеренной на испытуемом или контрольном изоляторе, находящемся в одинаковых условиях с испытуемым.
При использовании не менее пяти контрольных изоляторов общее число измерений χ должно быть не менее 10, т.е. на каждом контрольном изоляторе допускается проводить не более двух отдельных измерений. Изоляторы считают имеющими одинаковую степень загрязнения, если их удельная поверхностная проводимость составляет (0, 85÷1, 15)·χ.
Приложение Д
(справочное)
Расчет производят на основании результатов испытаний, приведенных в качестве примера в таблице Д.1 (X - перекрытие, О - нет перекрытия).
Таблица Д.1
Номер ступени i |
Воздействующее напряжение Ui, кВ |
Номер воздействия |
Количество воздействий на ступени ni |
Примечание | |||||||||||
1 |
2 |
3 |
4 |
5 |
6 |
7 |
8 |
9 |
10 |
11 |
12 | ||||
- - |
34 32 |
X - |
- X |
- - |
- - |
- - |
- - |
- - |
- - |
- - |
- - |
- - |
- - |
1 1 |
Незачетные точки |
1 2 3 4 |
30 28 26 24 |
- - - - |
- - - - |
X - - - |
- О - - |
X - - - |
- X - - |
- - О - |
- X - - |
- - X - |
- - - O |
- - O - |
- X - - |
2 4 3 1 |
Зачетные точки ∑ni = 10 i = 1 |
Примечание - Зачетными являются точки всех ступеней, на которых как имелись, так и отсутствовали перекрытия, а также точки ближайшей ступени, на которой имелись только перекрытия, и ближайшей ступени, на которой перекрытия отсутствовали.
Библиография
[1] |
IEC 60507:1991 |
Artificial pollution tests on high-voltage insulators to be used on a.c. systems (Изоляторы высокого напряжения переменного тока. Методы испытаний в условиях искусственного загрязнения) |